MEDICAL CONNECTIONS | CONEXIUNI MEDICALE®
EDITOR IN CHIEF
ASSISTANT EDITORS
Rumelia Koren
Vasile Blaga (electronic version)
ASSISTANT EDITOR IN CHIEF
Ottó Andó (print version)
Călin Bumbuluţ
Cristian Sever Oană (editorialist)
EDITOR (Methodology of the Scientific Research)
Tudor Stăncioiu (Dental Medicine)
Tudor Cătălin Drugan
EDITORIAL BOARD
Adalbert Bauer (SCM Satu Mare, România)
Liliana Lup (Synevo Satu Mare, România)
Nicolae Bidilean (Emergency County Hospital,
Gavriel Kesler (Israel)
Satu Mare, România)
Ladislau Kiss (Emergency County Hospital,
Melinda Boros (Bucureşti, România)
Satu Mare, România)
Gheorghe Borcean (Caransebeş Hospital, România)
Sorina Mihalca Man (Emergency County Hospital,
Ioan Brândeu (Emergency County Hospital,
Satu Mare, România)
Satu Mare, România)
Gad Neumann (Hasharon Hospital, Tel Aviv, Israel)
Constantin Cârstea (CMI Braşov, România)
Alina Negru (SCM Satu Mare, România)
Manole Cojocaru (Titu Maiorescu University,
Lea Rath-Wolfson (Hasharon Hospital, Tel Aviv, Israel)
Bucureşti, România)
Viorel Rădulescu (CMI Olt, România)
Raluca Monica Comăneanu (Titu Maiorescu University,
Marius Dinu Roatiş (Emergency County Hospital,
Bucureşti, România)
Satu Mare, România)
Corina Cornean-Santa (Emergency County Hospital,
Cristian Bogdan Rusu (Emergency County Hospital,
Satu Mare, România)
Satu Mare, România)
Bogdan Feciche (Emergency County Hospital,
Dana Shvero Kesler (Hadassa University, Jerusalem, Israel)
Satu Mare, România)
Gheorghe Trip (Emergency County Hospital,
Gyula Grosz (SCM West Satu Mare, România)
Satu Mare, România)
Carlos Gruzman (Hasharon Hospital, Tel Aviv, Israel)
Karoly Zilahi (SCM Praxis, Bixad, România)
Orsolya Horber (SCM Praxis Bixad, România)
Aliza Zeidman (Hasharon Hospital, Tel Aviv, Israel)
EDITOR
ASSOCIATED EDITOR
College of Physicians Satu Mare
Satu Mare Association of Family Physicians
Satu Mare, 23 Eroilor Revoluţiei Pl.
Affiliated with National Society of Family Medicine/
www.colmedsm.ro
General Medicine
email: colmedsm@gmail.com
Satu Mare, UK 30 Bobocului St.
www.amfsm.ro, email: birou@amfsm.ro
PARTNERSHIP
EXTERNAL PARTNERSHIP
Titu Maiorescu University, Bucharest
Vasile Goldiş
Hasharon Hospital,
Faculty of Medicine and Dental Medicine
Western University of Arad
Rabin Medical Center
67A Gheorghe Petraşcu St.
94 Revolutiei Blvd., Arad, Romania
Affiliated with Sackler School of Medicine,
www.utm.ro www.uvvg.ro/en/, email: rectorat@uvvg.ro Tel Aviv University, 7 Keren Kayemet St.,
Petah Tikva 49372, Israel
www.clalit.org.il
EDITORIAL OFFICE
23 Eroilor Revoluţiei Pl., 440055, Satu Mare, Romania, Tel/Fax: 0040261-710456, 0040361-408164
http://www.conexiunimedicale.ro/
ISSN online 2068 - 8369
ISSN 1843 - 9306
Journal included in Te Schedule of Medical Publications of CMR, 10 credits CMR for subscribers
Indexed in Index Copernicus®, CNCS B+ Category, Code 944
Medical Connections/Conexiuni Medicale® is a trademark of College of Physicians Satu Mare and Satu Mare Association of Family Physicians
Printed at TIPOOFFSET, Fabricii st, No. 93-103, Cluj Napoca, Tel.: 0040264-456071, Fax: 0040264-595711
SCIENTIFIC AND PEER REVIEW BOARD | COLECTIV ŞTIINŢIFIC ŞI DE RECENZIE
Acad. Prof. Univ. as. Dr. Virgil Enătescu
Prof. Univ. Dr. Tuvia Hadar
(Emergency County Hospital, Satu Mare,
(Beilinson Hospital, Rabin Medical Center, Sackler
Romania)
Faculty of Medicine, Tel Aviv University, Israel)
Acad. Prof. Univ. Dr. Doina Onicescu
Prof. Univ. Dr. Gheorghe Manole
(Titu Maiorescu University, Faculty of Medicine
(Titu Maiorescu University, Faculty of Medicine
and Dental Medicine, Bucharest, Romania)
and Dental Medicine, Bucharest, Romania)
Acad. Senior Scientific Researcher Dr. Sorin Riga
Prof. Univ. Dr. Dorel Augustin Manu
(Prof. Dr. Al. Obregia Clinic Hospital of Psychiatry,
(Titu Maiorescu University, Faculty of Medicine
Bucharest, Romania)
and Dental Medicine, Bucharest, Romania)
Acad. Senior Scientific Researcher Dr. Dan Riga
Prof. Univ. Dr. Dan Mănăstireanu
(Prof. Dr. Al. Obregia Clinic Hospital of Psychiatry,
(Titu Maiorescu University, Faculty of Medicine
Bucharest, Romania)
and Dental Medicine, Bucharest, Romania)
Prof. Univ. Dr. Rumelia Koren
Prof. Univ. Dr. Elena Moldoveanu
(Hasharon Hospital, Rabin Medical Center, Sackler
(Titu Maiorescu University, Faculty of Medicine
School of Medicine, Tel Aviv University, Israel)
and Dental Medicine, Bucharest, Romania)
Prof. Univ. Dr. Mircea Cinteză
Prof. Univ. Dr. Adriana Stănilă
(Carol Davila University of Medicine and
(Victor Papilian Faculty of Medicine, Sibiu,
Pharmacy, Bucharest, Romania)
Romania)
Prof. Univ. Dr. Vasile Astărăstoae
Prof. Univ. Dr. Maria Lidia Nica Udangiu
(Gr. T. Popa University of Medicine and Pharmacy,
(Titu Maiorescu University, Faculty of Medicine
Iaşi, Romania)
and Dental Medicine, Bucharest, Romania)
Prof. Univ. Dr. Petru Armeanu
Prof. Univ. Dr. Dan Florin Ungureanu
(Titu Maiorescu University, Faculty of Medicine
(Titu Maiorescu University, Faculty of Medicine
and Dental Medicine, Bucharest, Romania)
and Dental Medicine, Bucharest, Romania)
Prof. Univ. Dr. Ilie Constantin
Conf. Univ. Dr. Tudor Cătălin Drugan
(Victor Babeş University, Faculty of Medicine,
(Iuliu Haţieganu University, Faculty of Medicine,
Timişoara, Romania)
Cluj Napoca, Romania)
Prof. Univ. Dr. Gheorghe Ionel Comşa
Conf. Univ. Dr. Ghinescu Minerva
(Ovidius University, Constanţa, Romania)
(Titu Maiorescu University, Bucureşti, România)
Prof. Univ. Dr. Constantin Dumitru
Conf. Univ. Dr. Mircea Sorin Sabău
(Titu Maiorescu University, Faculty of Medicine
(University of Medicine and Pharmacy Târgu
and Dental Medicine, Bucharest, Romania)
Mureş, Romania)
Prof. Univ. Dr. Rivka Gal
Ş. L. Dr. Anca Ciurea
(Hasharon Hospital, Rabin Medical Center, Sackler
(Iuliu Haţieganu University, Faculty of Medicine,
School of Medicine, Tel Aviv University, Israel)
Cluj Napoca, Romania)
Prof. Univ. Dr. Doina Lucia Ghergic
Ş.L. Dr. Virgil Radu Enătescu
(Titu Maiorescu University, Faculty of Medicine
(Eduard Pamfil Universitary Clinic of Psychiatry,
and Dental Medicine, Bucharest, Romania)
Timişoara, Romania)
Te Medical Connections/Conexiuni Medicale® is indexed in Journals Master List of Index Copernicus®
CNCS B+ Category, Code 944
© Copyright Medical Connections/Conexiuni Medicale, Satu Mare, 2015
No part of this publication may be reproduced, stored in a retrieval system or transmitted in any form or by any
means without prior permission in writing of Medical Connections/Conexiuni Medicale®. Permission is not
however required to copy abstracts of papers or of articles on condition that a full reference to the source is
shown. Correspondence regarding permission to reprint all or part of any article published in this journal
should be addressed to the Editor, e-mail: colmedsm@gmail.com
MEDICAL CONNECTIONS | CONEXIUNI MEDICALE®
EDITOR ŞEF
EDITORI ADJUNCŢI
Rumelia Koren
Vasile Blaga (versiunea electronică)
EDITOR ŞEF ADJUNCT
Ottó Andó (versiunea tipărită)
Călin Bumbuluţ
Cristian Sever Oană (editorialist)
EDITOR (metodologia cercetării științifice)
Tudor Stăncioiu (Medicina Dentară)
Tudor Cătălin Drugan
COMITET EDITORIAL
Adalbert Bauer (SCM West Satu Mare, România)
Liliana Lup (Synevo Satu Mare, România)
Nicolae Bidilean (Spital Judeţean de Urgenţă,
Gavriel Kesler (Israel)
Satu Mare, România)
Ladislau Kiss (Spital Judeţean de Urgenţă,
Melinda Boros (Bucureşti, România)
Satu Mare, România)
Gheorghe Borcean (Spital Municipal Caransebeş,
Sorina Mihalca Man (Spital Judeţean de Urgenţă,
România)
Satu Mare, România)
Ioan (Brândeu Spital Judeţean de Urgenţă,
Gad Neumann (Spital Hasharon, Tel Aviv, Israel)
Satu Mare, România)
Alina Negru (SCM Satu Mare, România)
Constantin Cârstea (CMI Braşov, România)
Lea Rath-Wolfson (Spital Hasharon, Tel Aviv, Israel)
Manole Cojocaru (Universitatea Titu Maiorescu,
Viorel Rădulescu (CMI Olt, România)
Bucureşti, România)
Marius Dinu Roatiş (Spital Judeţean de Urgenţă,
Raluca Monica Comăneanu (Universitatea Titu Maiorescu,
Satu Mare, România)
Bucureşti, România)
Cristian Bogdan Rusu (Spital Judeţean de Urgenţă,
Corina Cornean-Santa (Spital Judeţean de Urgenţă,
Satu Mare, România)
Satu Mare, România)
Dana Shvero Kesler (Universitatea Hadassa,
Bogdan Feciche (Spital Judeţean de Urgenţă,
Ierusalim, Israel)
Satu Mare, România)
Gheorghe Trip (Spital Judeţean de Urgenţă,
Gyula Grosz (SCM West Satu Mare, România)
Satu Mare, România)
Carlos Gruzman (Hasharon Hospital, Tel Aviv, Israel)
Karoly Zilahi (SCM Praxis, Bixad, România)
Orsolya Horber (SCM Praxis Bixad, România)
Aliza Zeidman (Spital Hasharon, Tel Aviv, Israel)
EDITOR
EDITOR ASOCIAT
Colegiul Medicilor Satu Mare
Asociaţia Medicilor de Familie Satu Mare
Satu Mare, P-ţa Eroilor Revoluţiei nr.23
Afiliată la Societatea Naţională de Medicina Familiei/
www.colmedsm.ro
Medicină Generală
email: colmedsm@gmail.com
Satu Mare, str. Bobocului UK 30
www.amfsm.ro, email: birou@amfsm.ro
PARTENER
PARTENER EXTERN
Universitatea Titu Maiorescu Bucureşti
Universitatea de Vest Vasile Goldiş
Hasharon Hospital, Rabin Medical Center
Facultatea de Medicină şi Medicină Dentară
din Arad
Afiliat la Sackler School of Medicine,
str. Gheorghe Petraşcu 67A
94 Revoluţiei Blvd., Arad, România
Universitatea Tel Aviv
www.utm.ro www.uvvg.ro/en/, email: rectorat@uvvg.ro
7 Keren Kayemet St.,
Petah Tikva 49372, Israel
www.clalit.org.il
REDACŢIA
P-ţa Eroilor Revoluţiei nr 23, 440055, Satu Mare, Romania, Tel/Fax: 0261-710456, 0361-408164
http://www.conexiunimedicale.ro/
ISSN online 2068 - 8369
ISSN 1843 - 9306
Revistă inclusă în Nomenclatorul Publicaţiilor Medicale ale CMR, 10 credite CMR pentru abonaţi
Indexare în Index Copernicus®, CNCS categoria B+, cod 944
Medical Connections/Conexiuni Medicale® este marcă înregistrată a Colegiului Medicilor Satu Mare şi a Asociaţiei Medicilor de Familie Satu Mare
Tipărit la TIPOOFFSET, str. Fabricii, Nr. 93-103, Cluj Napoca, Tel.: 0040264-456071, Fax: 0040264-595711
Contents
Editorial
7
Original Articles
Osteosinthesys in Subtrochanteric Pathologic Bone Fractures. Clinical Challenges
Mihai Lazăr Mioc, Radu Prejbeanu, Dinu Vermesan, Horia Haragus
9
Blood Assessment of some Anti-inflamatory Cytokines in Psoriatic Arthritis
Camelia Ciacli, Maria Puschita, Camelia Vidita Gurban
17
Clinical Significance of Ferritin Measurement in Patients with Different Stages of Rheumatoid
Arthritis
Manole Cojocaru, Elena Rusu, Inimioara Mihaela Cojocaru, Bogdan Chicoş, Isabela Siloşi
23
Causes of Death in Chronic Lymphocytic Leukemia
Gabriela Ariadna Gavrilă, Romeo Gabriel Mihăilă
27
Te Modification of Gastric Acid Secretion Produced by the Activation of Carbonic Anhydrase II
and IV Isoenzyme
Andreea Vlad, Marcela Coltau, Ioan Pușcaș
31
Study of the Electro-Physiological Parameters in Cervical Spondylosis
Cecilia Avram, Alexandru Pop, Daniela Motoc, Daniel Raducan, Irina Alic Orasan, Ramona Burlacu
39
General Review
Drug Repurposing: Some Examples for New Applications of Known Drugs
Golan Bubis, Carmen Neagu, Edward Ram, Lea Rath Wolfson
45
Genetic Modulation of TGF-β in Osteoarthritis
Claudiu Ilea, Dan Lucaciu
49
Prevalence of Oral Mucosal Lesions in Children. Review of Literature
Filip-George Boeru, Ioanina Părlătescu, Lelia Mihai, Carmen Gheorghe, Şerban Ţovaru
53
Case Presentation
Ocular Tuberculosis Suspicion Accompanying Positive Osteoarticular Tuberculosis in a Young
Patient. Case Report
Șerban Dragosloveanu, Christiana Celea, Cristian Celea
57
History of Medicine
Medical Histories Found in Memoirs of Queen Mary of Romania (second part)
Călin Bumbuluţ, Andrei Bumbuluţ, Alina Daniela Negru, Rumelia Koren
61
Guidance for Authors
67
Cuprins
Editorial
71
Articole originale
Osteosinteza în fracturile subtrohanteriene pe os patologic. Aspecte clinice
Mihai Lazăr Mioc, Radu Prejbeanu, Dinu Vermesan, Horia Haragus
73
Evaluarea sangvină a unor citokine antiinflamatorii în artrita psoriazică
Camelia Ciacli, Maria Puschita, Camelia Vidita Gurban
81
Semnificația clinică a determinării feritinei la pacienți cu stadii diferite de poliartrită reumatoidă
Manole Cojocaru, Elena Rusu, Inimioara Mihaela Cojocaru, Bogdan Chicoş, Isabela Siloşi
87
Cauze de deces în leucemia limfatică cronică
Gabriela Ariadna Gavrilă, Romeo Gabriel Mihăilă
91
Modificarea secreției gastrice acide produse de activarea izoenzimelor anhidrazei
carbonice II și IV
Andreea Vlad, Marcela Coltau, Ioan Pușcaș
95
Studiul parametrilor electofiziologici în spondiloza cervicală
Cecilia Avram, Alexandru Pop, Daniela Motoc, Daniel Raducan, Irina Alic Orasan, Ramona Burlacu
103
Revistă generală
Repoziționarea utilizării medicamentelor: câteva exemple pentru noi aplicații ale unor
medicamente cunoscute
Golan Bubis, Carmen Neagu, Edward Ram, Lea Rath Wolfson
109
Modularea genetică a TGF-β în boala artrozică
Claudiu Ilea, Dan Lucaciu
113
Prevalența leziunilor mucoasei orale la copii. Trecere în revistă a datelor din literatură
Filip-George Boeru, Ioanina Părlătescu, Lelia Mihai, Carmen Gheorghe, Şerban Ţovaru
117
Prezentare de caz
Suspiciune de tuberculoză oculară concomitentă tuberculozei articulației pumnului drept.
Prezentare de caz
Șerban Dragosloveanu, Christiana Celea, Cristian Celea
121
Istoria medicinei
Istorii medicale în memoriile Reginei Maria a României (partea a doua)
Călin Bumbuluţ, Andrei Bumbuluţ, Alina Daniela Negru, Rumelia Koren
125
Standarde de publicare
131
www.colmedsm.ro
Colegiul Medicilor
Satu Mare
Colegiul Medicilor Satu Mare este o persoană juridică autonomă, neguvernamentală,
apolitică şi fără scop patrimonial. Este într-o largă accepţiune o organizaţie profesională
liberală şi reuneşte peste 626 de medici.
Colegiul Medicilor Satu Mare crede că poate reuşi urmând trei principii: să vorbească doar
când are ceva important de spus, să nu critice până când nu are soluţii şi să nu propună decât
soluţii rezultate din sfatul colectiv. Forţa Colegiului Medicilor constă în prezentarea în faţa
societăţii ca o voce autentică, permanent validată, a tuturor membrilor săi.
Satu Mare College of Physicians is an autonomous legal entity, non-governamental, apolitical
and non-profit. In a widley acception it is a liberal professional organization and brings
together over 626 doctors.
Satu Mare College of Physicians believes it can succeed by following three principles: to
speak only when he has something important to say, to make no critics until he has solutions
and to propose only solutions resulted from a of collective advice. Te force of Physicians
College consist in showing in front of the society an authentic voice, always validated, from
all its members.
Eroilor Revoluţiei Pl. no.23, 440055 Satu Mare, Romania.
Tel./Fax: +40-261-710456, +40-361-408164, e-mail: colmedsm@gmail.com
EDITORIAL
Prague Declaration
By signing this declaration, we, the presidents of the
With this in mind, we greatly value the activities of the
National Medical Chambers and Associations, meeting
international doctors’ organisations which operate in
in Prague on 12 June 2015, express our will to strengthen
Europe and to which our organisations and associations
our collaborative efforts and to provide mutual assistance
belong.
and support in the interests of all members of the
At the same time, we also appeal to international
organisations and associations we represent.
health organisations on behalf of our members to
improve the division of labour and thus take steps to
Our common goals, both in Europe as a whole
encourage more effective cooperation. We are committed
and in our individual states, are:
to the reorganization and concentration of the European
1) Supporting democracy and respect for
physician organizations, so that European physicians
fundamental human rights and civil liberties;
can become better and strongly represented at European
2) Supporting and facilitating development in the
level with less cost.
field of medical science;
We will promote direct cooperation and exchange
3) Removing inequality and injustice with regards
of information in order to maximise the effectiveness of
to access to healthcare and medical treatment; with
available financial and human resources. To achieve
special emphasis on countries in economic and
these goals European medical organisations should use
humanitarian crisis;
the opportunity to work together in Brussels.
4) Emphasising the importance of professional
In any case where the autonomy of one or more of
ethics in medicine;
our member organisations is threatened, we declare to
5) Upholding the principle of professional
provide assistance and support to our colleagues. We
autonomy for clinical decisions as a safeguard of high
will also respect the principle of reciprocal solidarity in
quality patient care;
cases where the professional self-governance of
6) Improving working and economic conditions
physicians is undermined.
for physicians;
Prague, 12 June 2015
7) Monitoring any European or national policy in
preparation, on any impact on health and healthcare,
Albania - Dr. Fatmir Brahimaj, President of Order
with the aim on „health in all policies“.
of Physicians of Albania
Some of our organisations and associations unite
Austria - Dr. Harald Mayer, Vice-President of
physicians on the basis of voluntary membership.
Austrian Medical Chamber
Others are self-governed and appointed by law and have
Belgium - Dr. Roland Lemye, Vice-President of
the authority both to regulate admission to the medical
Belgian Association of Medical Unions
profession and to take disciplinary action against their
Bulgaria - Dr. Galinka Pavlova, Vice-President of
own members. As a result, these organisations may be
Bulgarian Medical Association
different as regards their impact on the future of
Croatia - Dr. Hrvoje Šobat, President of the
medicine and all the medical profession. Despite this,
Committee for International Cooperation, Croatian
we consider all national medical organisations and
Medical Chamber
associations, regardless of their formal status, equal.
Czech Republic - Dr. Milan Kubek, President of
Cooperation among physicians and their
Czech Medical Chamber
organisations is essential to the future development of
Estonia - Dr. Lembi Aug, President of Estonian
medicine, healthcare and for patient safety in Europe.
Medical Association
7
EDITORIAL
MEDICAL CONNECTIONS • NUMBER 2 (38) • JUNE 2015
Finland - Dr. Tuula Rajaniemi, President of
Poland - Dr. Maciej Hamankiewicz, President of
Finnish Medical Association
the Polish Chamber of Physicians and Dentists
France - Dr. Patrick Bouet, President of the French
Portugal - Prof. Dr. José Manuel Silva, President
Medical Council
of Portuguese Medical Association
Germany - Prof. Dr. Frank Ulrich Montgomery,
Romania - Dr. Călin Bumbuluţ, Vice-President of
President of German Medical Association
the Romanian College of Physicians
Greece - Dr. Michail Vlastarakos, President of
Slovak Republic - Dr. Marian Kollár, President of
Panhellenic Medical Association
Slovak Medical Chamber
Hungary - Dr. István Éger, President of Hungarian
Slovenia - Brane Dobnikar, Secretary General of
Medical Chamber
Medical Chamber of Slovenia
Israel - Dr. Efraim Zohav, Vice-President of Israel
Spain - Dr. Juan José Rodríguez Sendín, President
Medical Association
of General Council of Medical Colleges of Spain
Italy - Dr. Roberta Chersevani, President of
Sweden - Dr. Heidi Stensmyren, President of
FNOMCeO
Swedish Medical Association
Netherland - Prof. Dr. Rutger Jan van der Gaag,
Turkey - Dr. Bayazit Ilhan, President of Turkish
President of the Royal Dutch Medical Association
Medical Association
8
Original articles
OSTEOSINTHESYS IN SUBTROCHANTERIC PATHOLOGIC BONE
FRACTURES. CLINICAL CHALLENGES
Mihai Lazăr Mioc1, Radu Prejbeanu2, Dinu Vermesan2, Horia Haragus2
11st Clinic of Orthopedic and Traumatology, Timișoara Clinical Emergency County Hospital, 2University of Medicine and
Pharmacy “Victor Babeș” Timișoara
Address for correspondence:
Mihai Lazăr Mioc
Email: mihaillazarmioc@gmail.com
Received: 05.05.2015
Accepted: 06.06.2015
Med Con June 2015 Vol 10, No 2, 9-15
Abstract
Keywords: Subtrochanteric pathologic fracture,
bone healing, intramedullary implant
Pathologic bone fractures are and have always been
a delicate subject. Tese patients require thorough
Introduction
preoperative
investigations
and an adequate
multidisciplinary approach. Te difficulty in treating
Pathologic bone fractures are and have always been
these patients arises from the multitude of complications
a delicate subject in matter. Tey are one of the leading
they can develop during and after surgery. Tey are
morbidity causes in patients with skeletal metastases
really tied together to the type of implant, fracture
[1]. Tese types of patients require thorough
pattern and the biologic state of the patient.
preoperative investigations and an adequate
Subtrochanteric fractures naturally require a dyaphiseal
multidisciplinary approach. Te difficulty in treating
intramedullary implant that extends proximally up until
these cases arises from the multitude of complications
the neck and head of the femur. Tis type of implant
they can develop during and after surgery. Tese can
forms a bridge from the femoral neck region until the
be directly linked either to the tumor process or to the
medial dyaphiseal portion. Te long gamma nail has
treatment it involves
(radiotherapy, chemotherapy).
been found suitable for the treatment of impending
Pathologic fractures have been considered a poor
pathologic bone fractures also. Te surgical options
prognostic factor in patients with osteosarcoma. Scully
must be weighed carefully as there can be situations
et al. carried out a study which assessed if a pathologic
when surgery, if performed, may cause a decline in the
fracture is indeed a negative prognostic factor in these
patient’s current state. We describe
6 patients with
patients, and if they can perform limb salvage
pathologic fractures each of them was treated according
procedures without putting a stress on the outcome of
to the nature of the fracture and the patient’s general
the patient. Tey came to the conclusion that the risk
health. Te key to a successful management of cancer
of local recurrence and death is not significantly
patients with fractures is a strong interdisciplinary
increased by performing limb salvage procedures in
collaboration between the orthopedic surgeon, the
carefully selected patients. Every clinician should take
oncologist and the radiologist.
into account positive prediction factors such as fracture
Osteosinthesys in Subtrochanteric Pathologic Bone Fractures. Clinical Challenges
9
Original articles
MEDICAL CONNECTIONS • NUMBER 2 (38) • JUNE 2015
union and response to chemotherapy when this
admitted that the pain started suddenly when
treatment is considered [2].
descending some stairs. At the X-ray that was performed
Te main problems with pathologic bone fractures
9 days ago, at his first hospital presentation, the fracture
are the rates of implant failure. A study conducted by
was still incomplete and it could be barely seen. Te
Sternheim et al. showed that internal fixation of
patient could have been diagnosed earlier with the aid of
pathologic fractures caused by radiotherapy has an
a CT scan if the pain and the functional deficit would
extremely high rate of complication, on 22 radiation-
have been correlated with the patient’s decrease in
induced femur fracture patients (7 men, 15 women).
weight and his history of a chronic smoker. When
Tey found 82% nonunion rate (18) and 59% revision
assessing these types of patients, the X-ray findings must
surgery rate (13) [3]. Te obvious facts state that the risk
be perceived in a clinical context and the patient should
of nonunion, delayed union or implant failure is greatly
be treated as a whole. Te surgery consisted was of a
increased for patients that have undergone radiotherapy.
total hip arthroplasty with hip revision prosthesis
So with this in mind we have to ask ourselves if there
(Revitan). Once the excised specimen (femoral head,
really is a strong indication for osteosinthesys in patients
trochanteric and sub trochanteric region) was sent for
with pathologic bone fractures.
histopathological examination, it revealed to be a
Fractures around the hip are a big handicap factor,
pulmonary carcinoma metastasis
(Figure
1). After
especially when they occur in cancer patients that are
surgery the patient stayed in our clinic for 10 more days,
already undergoing multiple changes in their lifestyle.
and then he was reffered to an oncology department for
Our goal is to present different types of treatment and
appropriate therapy.
outcomes in order to better understand the evolution of
Case No 2. Tis 50 years old female patient had a
these patients and to determine which types of surgical
history of mammary neoplasm
(mastectomy,
techniques provide the best functional outcome while
radiotherapy) as well as pelvic and spinal metastases.
keeping costs low and complications at a minimum
Axial CT images obtained after admittance reveal the
level.
lytic bone area from within the femoral neck as well as
the zone of the pathologic fracture. Coronal CT
Material and Methods
reconstruction shows the tumor mass that expands the
muscles surrounding the proximal femoral area. CT
We performed a search in the County Hospital’s
reconstruction meant to carefully show if there are any
electronic database searching for patients admitted with
other fractures that expand distally. AP X-ray of the
the Subtrochanteric fracture diagnosis over the last five
right coxo-femural joint (Figure 2). Te patient refused
years. We then included for analysis only the patients
the surgical intervention and was discharged from the
with pathologic fracture - malignant affection in the
hospital with conservative treatment.
past or diagnosed for the first time. We carefully
Case No 3. A 62 years old female came to our clinic
reviewed our patients’ charts and performed a
with increased pain over the last month located in her
comparative analysis with the existing literature.
left proximal thigh and her left groin. Her history
Case No 1. Male, 61 years, was brought to our
revealed a subtrochanteric pathologic fracture that was
emergency department with pain at the level of his right
stabilized with a long gamma nail almost 11 months
hip and groin, lasting for approximately 10 days. He
before. Her current x-rays show deterioration of the
had no record of trauma in these past days, and he
implant, caused mainly by the lack of consolidation.
A
B
C
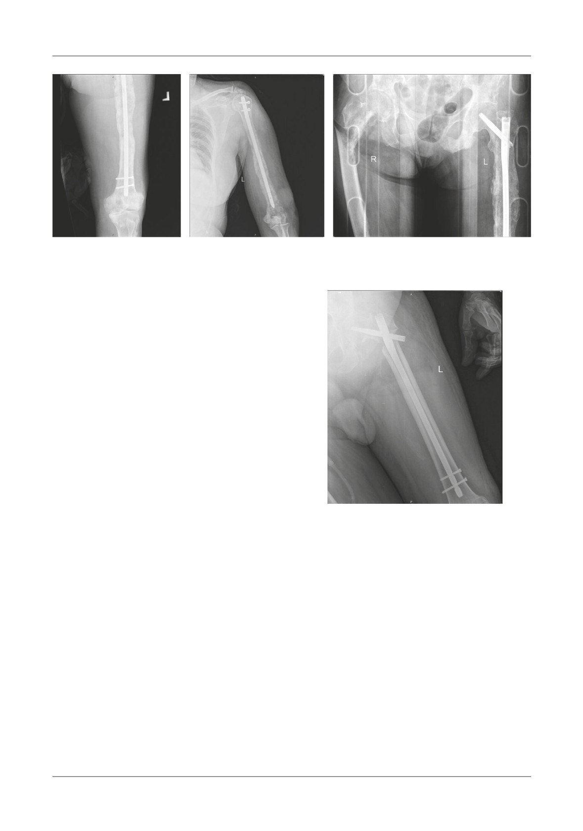
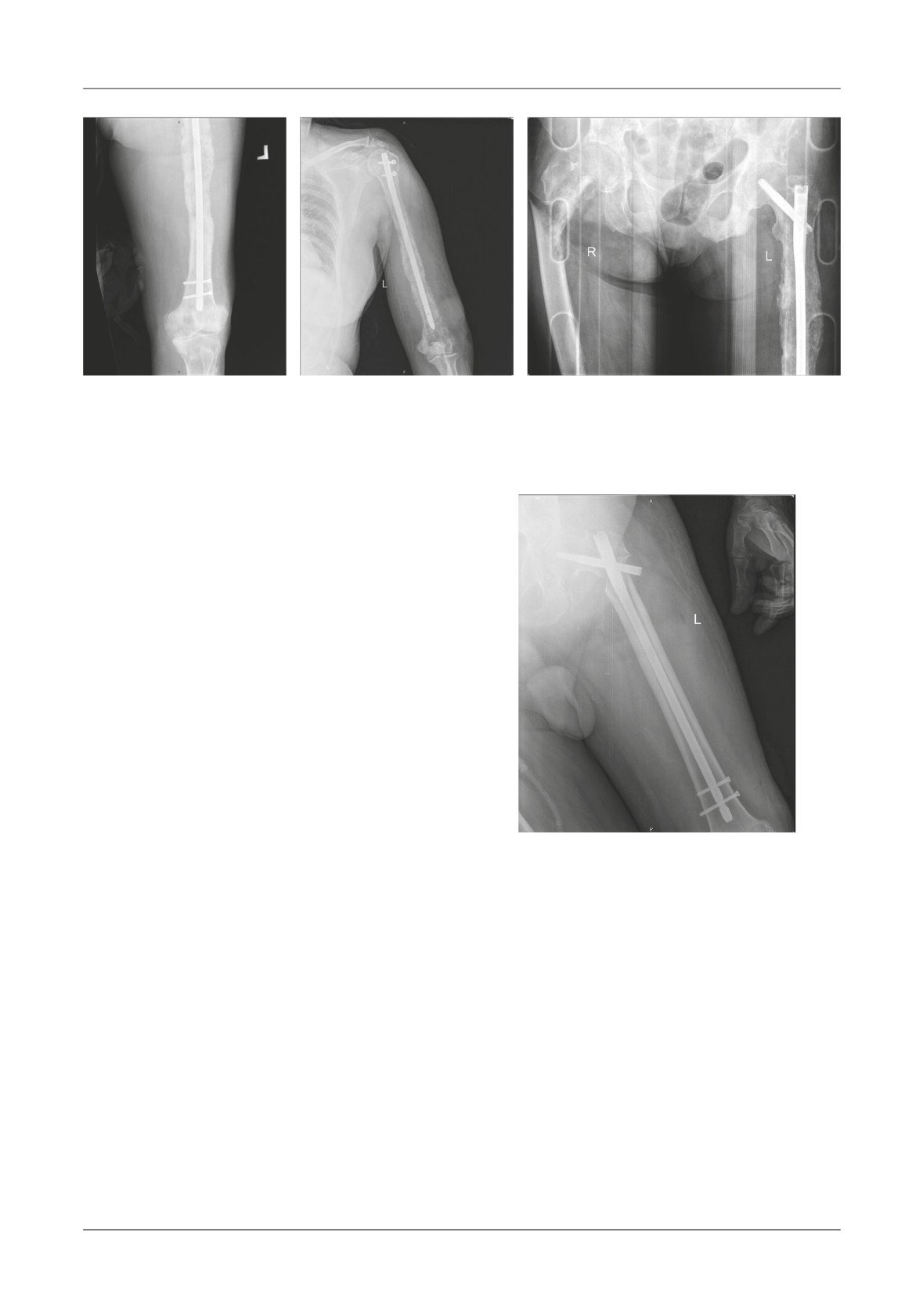
Figure 1. A. Anteroposterior pelvic X-ray of our patient where we can notice the sub trochanteric fracture and the lack of bone
density in that certain area. B. Intra operatory picture taken after the revision prosthesis has been placed.
C. Picture of the tumor mass that has been removed. Te only thing missing is the femoral head.
10
Mioc et al
MEDICAL CONNECTIONS • NUMBER 2 (38) • JUNE 2015
Original articles
A
B
C
D
E
Figure 2. A,B. Axial CT images that reveal the lytic bone area from within the femoral neck as well as the zone
of the pathologic fracture. C. Coronal CT reconstruction shows the tumor mass that expands the muscles
surrounding the proximal femoral area. D. 3D CT reconstruction meant to carefully show if there are any
other fractures that expand distally. E. AP X-ray of the right coxo-femural joint
A
B
Figure 3. A. AP X-ray of the coxo-femural joint which shows loosening of the cervico-cephalic
nail. B. AP X-ray of the distal femur that shows both of the distal screws being broken.
Te cervico-cephalic nail is loosened, causing pain and
prosthesis will benefit the patient. After further
also the failure of both distal screws that are broken. Te
investigation it was decided that her current overall
problem now arises if extraction of the fixation and
status can’t allow for a surgery of such major impact. A
performing a total hip arthroplasty with a long stem
good assessment of the patient’s biological status must
Osteosinthesys in Subtrochanteric Pathologic Bone Fractures. Clinical Challenges
11
Original articles
MEDICAL CONNECTIONS • NUMBER 2 (38) • JUNE 2015
A
B
C
Figure 4. A. Te first pathologic fracture occurred in the sub trochanteric area and it was stabilized with a long gamma nail.
B. After 8 months the patient presents at the hospital with pain in the left arm - a humeral shaft fracture is depicted on x-rays
and intramedullary nailing is done to the humerus. C. After another 10 months the patients suffers a sub trochanteric fracture
to the contralateral femur
be performed, as more complications may appear if the
bone stock is of extremely low quality.
Revision surgery was not a good choice as the
patient’s biological state was altered at the time of the
complication. Te surgical options must be weighed
carefully as there can be situations when surgery, if
performed, may cause a decline in the patient’s current
state.
Case No 4. Tis 63 years old female is one of our
most special cases
- 3 consecutive pathologic bone
fractures in a patient with metastatic bone disease. Te
patient suffered from mammary neoplasm
(radical
mastectomy), with pelvic and spinal metastatases.
Te first pathologic fracture occurred in the sub
trochanteric area and it was stabilized with a long
gamma nail. After 8 months the patient presents at the
hospital with pain in the left arm - a humeral shaft
Figure 5. Te result of our surgery can be seen
fracture is depicted on x-rays and intramedullary nailing
on this AP X-ray of the patient’s left hip
is done to the humerus. After another 10 months the
patients suffers a sub trochanteric fracture to the
contralateral femur. Tere were no signs of implant
patient will undergo surgery, despite all the associated
failure of the first two implants which allowed the
risks. Closed reduction and internal fixation (Figure 5)
patient to be able to ambulate by herself.
was chosen for this patient, as the surgery is minimally
Tere was a time span of 18 months from the first
invasive and the implant allows for early patient
fracture fixation until the occurrence of the third
mobilization. Te patient was discharged after 7 days
fracture.
with the indications of undergoing strict physical
Case No 5. An 85 years male was addressed to our
therapy until he is able to walk without the aid of
clinic through the emergency department after he had
another person
(with auxiliary support). Closed
suffered a fall from his own height. He was known to
reduction and internal fixation with the aid of
suffer from pulmonary metastases from an operated
intramedullary implants was and will always be a very
urinary bladder tumor. He also had numerous other
good treatment option for patients that can’t undergo
subsequent medical events such as an aortic bypass
extensive surgery with large approaches and important
surgery, respiratory, cardiac and renal insufficiency and
quantities of blood loss. Te implant is very sturdy, and
Alzheimer’s disease. Te family’s desire was that the
given that the fracture will consolidate, the failure risk is
12
Mioc et al
MEDICAL CONNECTIONS • NUMBER 2 (38) • JUNE 2015
Original articles
A
B
C
Figure 6. A. Initial AP X-ray of the pelvis which reveals the un displaced fracture. B. 2 weeks later the fracture has become displaced
and requires surgical care. C. Te postoperative X-ray reveals proper fixation of the implant and early mobilization is indicated
small. Te functional results are also satisfactory and the
carcinoma, one prostatic adenocarcinoma and one
patient regained painless motion of his lower limb.
urinary bladder carcinoma.
Case No 6. A 78 years old patient had pain in his
left thigh the first time he came to our clinic. He was
Discussions
known to have operated brain metastases (4 years ago),
the original tumor being a prostatic adenocarcinoma.
Tere is a multitude of complications known to
Since the fracture was not displaced on the first X-ray
appear in the treatment of pathologic bone fractures,
(Figure 6A) we opted for conservatory treatment and we
and they are really tied together to the type of implant,
told the patient to come for a re-evaluation in 2 weeks.
fracture pattern and the biologic state of the patient
His follow-up was not as expected, as the fracture had
[4,5]. As seen above, implant failure in these type of
displaced
(Figure
6B). Surgical treatment was then
patients is a known fact, described to occur often. When
advised in order to maintain patient’s mobility and
properly assessing a patient for implant choice, one
quality of life. Te postoperative X-ray (Figure 6C) had
must take into consideration every aspect that my lead
a good aspect, thus the patient was allowed to perform
to failure. Insufficient bone stock, patient comorbidities,
usual movements and to walk as soon as possible.
radiotherapy and chemotherapy are all factors that can
Surgery and osteosinthesys is a strong indication in
negatively influence the patient’s local healing process.
these patients because it allows them to preserve their
Te main goal of performing surgery on a metastatic
quality of life despite of the terminal illness that affects
fractured bone is to allow for fast mobilization, a cleaner
them. Palliation has become a very important aspect in
rehabilitation and proper social re-integration.
the treatment of cancer patients, when radical resection
Te proper implant for our second case would have
is no longer a viable alternative.
been a long stem hip prosthesis due to the malignant
involvement of the femoral neck that had indications for
Results
resection as well. Subtrochanteric fractures naturally
require a dyaphiseal intramedullary implant that extends
Out of 108 patients admitted in our clinic with the
proximally up until the neck and head of the femur. Tis
sub trochanteric fracture diagnosis, 6 had pathologic
type of implant forms a bridge from the femoral neck
fractures, having additional pre-diagnosed malignancies
region until the medial dyaphiseal portion. In order to
or were diagnosed with one at admittance. Tere were 3
ensure proper stability, the implant needs to have strong
females and 3 male at which we encountered a number
bone support at its fixation points. By the nature of the
of 7 fractures (one bilateral) with the mean age being
disease, some cancer patients with pathologic fractures
68.5 years old (50-86). One patient was treated with a
may lack that proper bone density or they may present
revision hip prosthesis (Revitan), 4 with long gamma
with multiple bone lytic lesions. In order to make such an
nails (Stryker) and 2 were treated conservatively due to
assessment, one would need at least a simple CT scan of
different causes. Tere was one superficial wound
the lesion in cause. Prejbeanu et al. suggested using
infection and one implant failure (gamma nail) at 8
polymethylmetacrylate cement spacers to fill long bone
months after surgery. Histopathological examinations
defects such as lytic lesions or post-resection gaps. Tey
revealed
3 mammary neoplasms, one pulmonary
found no immediate complications and no implant
Osteosinthesys in Subtrochanteric Pathologic Bone Fractures. Clinical Challenges
13
Original articles
MEDICAL CONNECTIONS • NUMBER 2 (38) • JUNE 2015
failures, while allowing the patient to bear weight right
Conclusion
after the surgery
[6]. Furthermore, a formation of a
“healing membrane” has been described after PMMA
Subtrochanteric pathologic fractures are often a
spacer usage. Tis membrane acts as a nurturing
very difficult to stabilize. Cancer patients can have
environment for the bone, stimulating consolidation and
besides the obvious fracture, other associated pathologies
promoting revascularization for the future bone graft if
due to the tumor process or the treatment they are
one is needed [7].
receiving. Implant failure occurs due to the lack of
Long stem hip prosthesis reconstruction is a viable
healthy bone, segmental defects and alterations in the
solution for sub trochanteric pathologic bone fractures.
bone healing mechanism. Even so, most postoperative
Tey are strongly indicated especially for patients with
complications are not related to implant failure, but
fracture displacement, a higher life expectancy, and they
instead are based on the weakened patient status. Tere
are the treatment of choice especially for surgeons with
are options for aiding the internal fixation such as
an experience greater than 10 years. Te same authors
PMMA spacers, vascularized bone auto grafts and bone
performed a peer-review on the current literature in
substituents that are currently in development by the
matter and they came to the conclusion that most
pharmaceutical industry. We believe that the long
authors reported a lower rate of complication when
gamma nail is an implant that handles biomechanical
performing a reconstruction with an endoprosthesis.
forces very well given that proper investigations are
Also, the implant failure and re-intervention rates were
performed before surgery and preoperative planning is
lower regarding the prosthesis technique requiring a
done with care. Tis type of fixation allows the patient
much more experienced surgeon [8].
to have no restrictions regarding movement
Samsani et al conducted a study on 36 patients with
postoperatively and hastens the rehabilitation process.
sub trochanteric metastatic bone disease treated with
Te key to a successful management of cancer patients
long gamma nail fixation. From a number of
39
with fractures is a good interdisciplinary collaboration
implants they had a number of 14 various complications
between the orthopedic surgeon, the oncologist and the
such as renal and cardiac failure, chest infection, broken
radiologist.
distal screws, distal migration of the nail and cephalic
screw cut-out [9]. Implant failure in sub trochanteric
pathologic fractures is a known fact that is often induced
References
by the lack of fracture consolidation. Even if most of the
times the fixation is very good, hardware exchange is
1.
Swanson KC, Pritchard DJ, Sim FH. Surgical
recommended if there are no signs of fracture healing
treatment of metastatic disease of the femur. J Am Acad
within six months postoperatively [10].
Orthop Surg 2000;8:56-65.
Te association of 3 pathologic bone fractures (as
2.
Scully SP, Ghert MA, Zurakowski D, Tompson RC,
seen in case no. 4) makes this case extremely interesting,
Gebhardt MC. Pathologic fracture in osteosarcoma:
especially that we managed to have a favorable outcome
prognostic importance and treatment implications. J
and no implant failures up until now We can safely
Bone Joint Surg Am 2002;84-A (1):49-57.
conclude that the choice of treatment achieved its goal
3.
Sternheim A, Saidi K, Lochab J, O’Donnell PW,
of giving the patient mobility without implant failure
Eward WC, Griffin A, Wunder JS, Ferguson P.
during the process of tumor treatment (chemotherapy,
Internal fixation of radiation-induced pathological
radiotherapy). It is also very important that the
fractures of the femur has a high rate of failure. Bone
orthopedic surgeon has a very good relation with the
Joint J 2013;95-B(8):1144-8.
oncology department and that both of the treatments
4.
Kerr PS, Jackson M, Atkins RM. Cardiac arrest during
are conducted with ease.
intramedullary nailing for femoral metastasis. J Bone
Despite the obvious rate of implant failure,
Joint Surg 1993;75:972-3.
intramedullary implants represent a good treatment for
5.
Weikert DR, Schwartz HS. Intramedullary nailing for
such complicated cases. Te incision is small, bleeding is
impending pathological subtrochanteric fractures. J
minimal, infection rates are not higher than plating and
Bone Joint Surg 1991;73:668-70.
the design of the implants allows for early mobilization.
6.
Prejbeanu R, Daliborca VD, Dumitrascu V, Vermesan
Te long gamma nail has been found suitable for the
D, Mioc ML, Abbinante A, Cagiano R. Application of
treatment of impending pathologic bone fractures also.
acrylic spacers for long bone defects after tumoral
Good results have been published by many authors over
resections.
Eur Rev Med Pharmacol Sci
the last years [11,12,13].
2013;17(17):2366-71.
14
Mioc et al
MEDICAL CONNECTIONS • NUMBER 2 (38) • JUNE 2015
Original articles
7. Biau DJ, Pannier S, Masquelet AC, Glorion C. Case
metastatic
fractures.
Acta
Orthop Belg
report: reconstruction of a 16-cm diaphyseal defect after
2012;78(4):552-7.
Ewing’s resection in a child. Clin Orthop Relat Res
11. van Doorn R, Stapert JW. Treatment of impending and
2009;467:572-7.
actual pathological femoral fractures with the long
8. Steensma M, Healey JH. Trends in the surgical
Gamma nail in Te Netherlands. Eur J Surg
treatment of pathologic proximal femur fractures among
2000;166(3):247-54.
Musculoskeletal Tumor Society members. Clin Orthop
12. Edwards SA, Pandit HG, Clarke HJ. Te treatment of
Relat Res 2013;471(6):2000-6.
impending and existing pathological femoral fractures
9. Samsani SR, Panikkar V, Georgiannos D,
using the long gamma nail. Injury 2001;32(4):299-
Calthorpe D. Subtrochanteric metastatic lesions
306.
treated with the long gamma nail. Int Orthop
13. Moholkar K, Mohan R, Grigoris P. Te Long Gamma
2003;27(5):298-302.
Nail for stabilization of existing and impending
10. Maes M, Deboer Y, Brabants K. Failure of the
pathological fractures of the femur: an analysis of 48
titanium trochanteric gamma nail in ununited
cases. Acta Orthop Belg 2004;70(5):429-34.
Osteosinthesys in Subtrochanteric Pathologic Bone Fractures. Clinical Challenges
15
Transmittal Letter
In consideration of the Medical Connections/Conexiuni Medicale taking action in reviewing and
editing the above-named Article, effective upon acceptance of the Article by the Medical Connections/
Conexiuni Medicale (hereinafter reffered to as Med Con), the Autor(s) hereby assign(s) to the Med Con,
its legal representatives, successors and assigns, all publishing rights and each and every other right to the
Article throughout the world, in any language and in any medium, whether as an audiovizual work,
collective work, compilation, derivative work, joint work, literary work, phonorecord, pictorial, graphic or
sulptural work, sound recording, work of visual art, computer program, or any other medium now existing
or which hereafter may come into existence, including the copyright and the right to register the copyright
as well as the right to secure any renewals, reissues, and extensions of any such copyrights in Romania or
in any foreign country. Author(s) may request permission to reuse the manuscript or portions thereof.
Such requests must be in writing and permission by the Med Con shall not be unreasonably withheld. Te
Author(s) appoint(s) the Med Con as the Author’s(s’) attorney-in-fact to execute any documents the Med
Con deems necessary to record any of these grants with the Romanian copyright office or elsewhere. Te
Autor(s) also warrant(s) to the Med Con that the Article is original work of the Author(s) except for
material in the public domain and such excerpts from other works as may be included with the prior
written permission of the copyright owners; that the Article has not been previously published, submitted,
or accepted for publication elsewhere; that the Author(s) have no relationship, financial or otherwise, with
any manufacturers or distributors of products evaluated in this paper, or alternatively any such relationship
has been disclosed in a footnote to the paper, or the requirement is irrelevant to this paper.
Manuscript Title: _ __________________________________________________________
Name:
Signature/Date:
_ ___________________________________
_ ___________________________________
_ ___________________________________
_ ___________________________________
_ ___________________________________
_ ___________________________________
_ ___________________________________
_ ___________________________________
_ ___________________________________
_ ___________________________________
_ ___________________________________
_ ___________________________________
_ ___________________________________
_ ___________________________________
Please fax this signed form to the Med Con Editorial Office.
Fax: +40-261-710456
Original articles
BLOOD ASSESSMENT OF SOME ANTI-INFLAMMATORY
CYTOKINES IN PSORIATIC ARTHRITIS
Camelia Ciacli1, Maria Puschita1, CameliaVidita Gurban2
1Department of Immunology, Faculty of General Medicine, Pharmacy and Dental Medicine from „VasileGoldis” Western
University of Arad, Romania, 2Department of Biochemistry, University of Medicine and Pharmacy “Victor Babeș”,
Timișoara, Romania
Address for correspondence:
Camelia Ciacli, MD PhD
Faculty of General Medicine, Pharmacy and Dental Medicine , ”Vasile Goldiș” Western University of Arad
1 Feleacului Street, Arad, Romania
Email: cciacli@yahoo.com
Received: 05.05.2015
Accepted: 30.05.2015
Med Con June 2015 Vol 10, No 2, 17-21
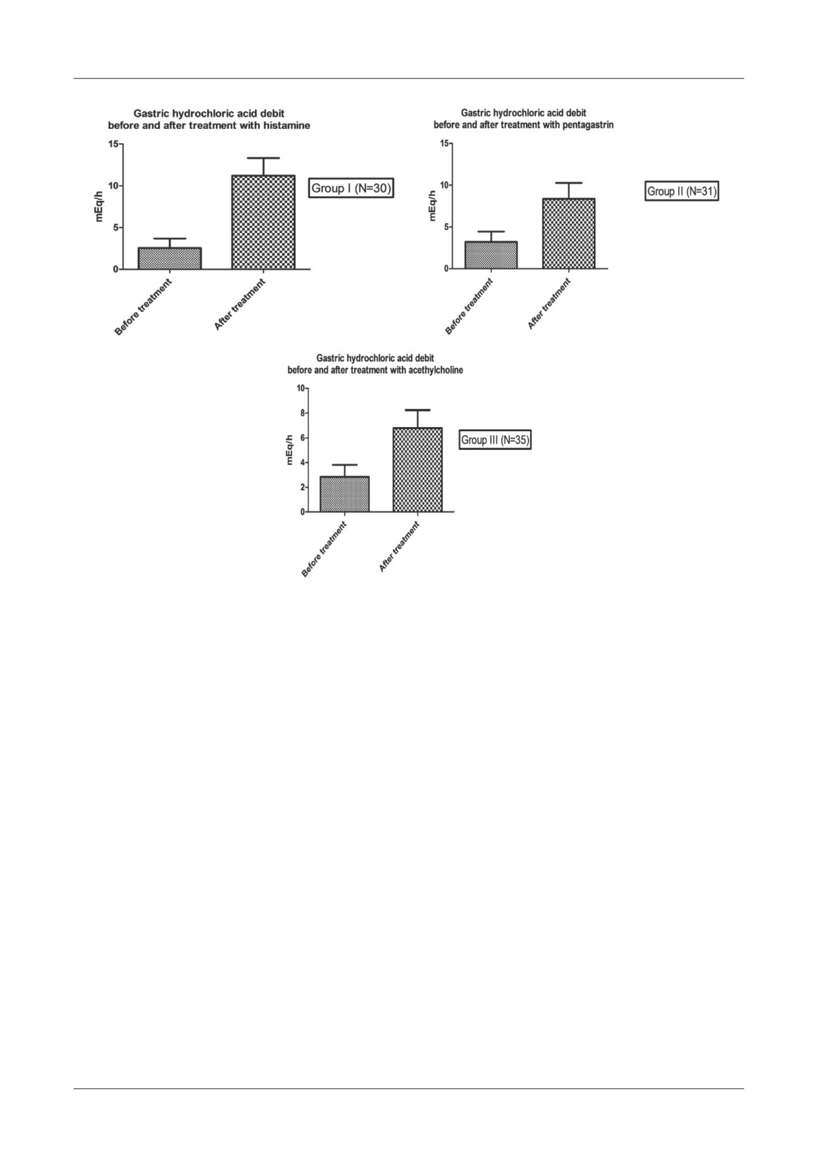
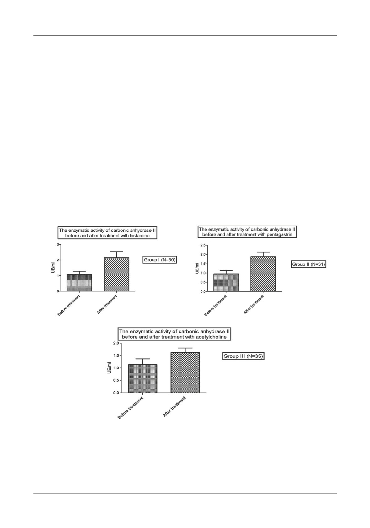
Abstract
Introduction
Aim: Our aim is to assess comparative interleukin 4
Te involvement of numerous cytokines in
and interleukin 13 levels in serum of patients with
inflammatory disorders at blood level for psoriatic
psoriatic and rheumatoid arthritis compared to a control
arthritis generates a permanent antagonism between
group in order to assess aspects of the systemic immune
pro-inflammatory and anti-inflammatorycytokines
response.
[1,2]. Te existing cooperation, in order to naturally
Methods: Te study was performed on three groups:
suppress the pro-inflammatory effect of interleukin 1
group 1 consists of 27 patients with psoriatic arthritis,
(IL-1) and the alpha tumour necrosis factor (TNF-α),
group
2 consists of
21 patients with rheumatoid
determine the increased expression of interleukin-4 (IL-
arthritis, and the control group consists of 20 healthy
4) andinterleukin 13 (IL-13) which have a protective
patients. For each of these groups we have identified the
role in the inflamed synovia [3,4,5,6].
anti-inflammatory cytokines in blood.
Interleukin 4 is a cytokine synthesized by TCD4+
Results: In group 1 serum IL-4 in most patients
lymphocytes of T2 type, being characteristic for this
showed no detectable serum concentration, and IL-13
subset of lymphocytes. In addition to these lymphocytes
values were between 2.67 and 4.99 pg/ml, p1<0.01-ES.
interleukin 4 is also secreted by basophils and mastocytes
In group 2 serum IL-4 in most patients showed no
[7,8,9,10]. Te results of the comparative study on the
detectable serum concentration, and IL-13 values were
role of interleukin
4 in the occurrence of psoriatic
between 2.21 and 13.32 pg/ml, p2<0.002-ES. In the
arthritis and rheumatoid arthritis have shown that this
control group IL-4 was not detected in serum, serum
cytokine causes besides an anti-inflammatory action
IL-13 values were between 2.05 and 3.35 pg/ml.
also an inhibitory action insynovial cells proliferation,
Conclusion: Tere are significant differences
reduction of collagenase synthesis and augmentation of
regarding the profile of antiinflamamtory cytokines in the
IL 1Ra synoviocytessynthesis [4,6].
serum of patients with psoriatic and rheumatoid arthritis.
Interleukin
13 has “IL-4” likefunctions but less
Keywords: psoriatic arthritis, rheumatoid arthritis,
intense. Te source of interleukin-13 is represented by
anti-inflammatory cytokines
LTCD4+
(T0, T1 and T2), and LTCD8+.
Blood Assessment of Some Anti-Inflammatory Cytokines in Psoriatic Arthritis
17
Original articles
MEDICAL CONNECTIONS • NUMBER 2 (38) • JUNE 2015
Interleukin
13 has both inhibitory and stimulating
criteria and with rheumatoid arthritis diagnosed according
activity for themononuclear/macrophage system
to the criteria of the American Association of Rheumatology.
function. Tus, interleukin-13 inhibits the synthesis of
All patients had a mean duration of illness for approximately
pro-inflammatory cytokines: IL-1, IL-1, IL-6, TNF-α,
36 months, were in the acute phase of the diseaseand also
IFN-γ, as well as that of chemokine at this level (IL-8).
not taking NSAIDs at least for one month prior to
Regarding interleukin
13 itsserum concentration in
enrolment. All patients underwent a general clinical
patients with psoriatic arthritis was lower than in
examination supplemented by laboratory investigations to
patients with rheumatoid arthritis. It was also observed
exclude the presence of other associated autoimmune
that all patients with psoriatic arthritis had higher
diseases, neoplastic process or a systemic infection.
concentrations of interleukin-13 in synovial fluid than
Exclusion criteria
in peripheral blood [7].
Given, as we already mentioned, the lack of
Te production and biological action of anti-
universally accepted diagnostic criteria for a particular
inflammatory cytokines in psoriatic arthritis have been
accuracy in positive diagnosis for patients included in
studied in particular for animal models. Extrapolation
the study we had to exclude many diseases that
of the results obtained in these studies to humans is not
sometimes on superficial examination, this disease can
always sufficient and real. Tere are relatively few
be confused with. Tus, we excluded patients
reported studies that evaluatethe blood level ofanti-
with:ankylosing spondylitis, osteoarthritis, seronegative
inflammatory cytokines in vivo.Tese findings formed
entesophatyarthropathy
syndrome,
enteropathic
the basis of our personal interest towards the study of
arthritis in colitis ulcerosa and Crohn’s disease, Behcet’s
anti-inflammatory cytokines in psoriatic arthritis
syndrome, Whipple disease,gout, lupus arthritis, septic
compared to a control group and to rheumatoid
arthritis,
Reiter-Fiessinger-Leroy’s
syndrome,
arthritis, in order to assess aspects of the systemic
degenerative arthritis with Heberden and Bouchard
immune response that exists in these diseases.
nodules, disease of bone metabolism diagnosis based on
a detailed case history, clinical examination and
Aim of the study
laboratory investigation
(Paget’s disease, Cushing’s
syndrome, multiple myeloma, Hodgkin’s lymphoma,
Our aim is to assess comparative interleukin 4 and
etc.), alcohol consumers, syndrome of malnutrition,
interleukin 13 levels in serum of patients with psoriatic
vitamin D deficiency or treatment with impact on bone
and rheumatoid arthritis compared to a control group
metabolism, patients who received treatment in the past
in order to assess aspects of the systemic immune
12 months with corticosteroids or methotrexate, other
response.
conditions requiring glucocorticoid long treatment
(over
6 months), patients who have received a
Materials and methods
supplement of calcium or vitamin D, sustained physical
activity in the past 12 months, women with ages under
Te study was performed on three groups of
40 yearsin early menopause of different etiologies
patients:
(surgical or drug induced).
Group 1 - patients with psoriatic arthritis
Peripheral blood was collected from each patient
diagnosed according to the Classification Criteria for
and stored at -70°C until measurements.
Psoriatic Arthritis
(CASPAR) criteria. Tis group
Interleukin 4 determination
included 27 patients (n=27),15 men and 12 women
Interleukin 4 (IL-4) was determined by sandwich
between the ages of 27-50 years.
enzyme immunoassay technique ELISA
(Enzyme
Group 2 - patients with rheumatoid arthritis
Linked Immuno Assay Sorbate) using ELISA Endogen,
diagnosed according to the criteria of the American
Woburg, MA, USA kit (sensitivity <2 pg / ml, the
Rheumatology Association. It included
21 patients
accuracy of reproducibility between measurements is
(n=21), 13 women and 8 men aged between 25-52 years.
CV<10%). Te standard curve was constructed by
Te control group - healthy subjects with a mean
means of six standards: 0 pg/ml, 10.24 pg/ml, 25.5 pg/
age of 30 years without rheumatic, infectious, neoplastic
ml,
64 pg
/ ml,
160 pg/ml and
400pg/ml. For
or autoimmune diseases is composed of 20 patients
determination we used 50 µg of standard, respective
(n=20), 9 women and 11 men.
samples (serum and synovial fluid) in duplicate.
Inclusion criteria
Interleukin 13 determination
In our study we included patients aged 27-50 years
Interleukin 13 (IL-13) was determined by sandwich
diagnosed with psoriatic arthritis based on CASPAR
enzyme immunoassay technique ELISA
(Enzyme
18
Ciacli et al
MEDICAL CONNECTIONS • NUMBER 2 (38) • JUNE 2015
Original articles
Linked Immuno Assay Sorbate) using ELISA, Bender
Medsystem, Vienna, Austria kit (sensitivity <2 pg/ml,
the accuracy of reproducibility between measurements
is CV=6.9%). Working technique has complied the
manufacturer’s instructions faithfully, on one hand, and
on the other hand all determinations were performed in
parallel samples.
Statistical analysis of the data
Statistical and graphical representations were made
by using the Microsoft Office Excel, with: descriptive
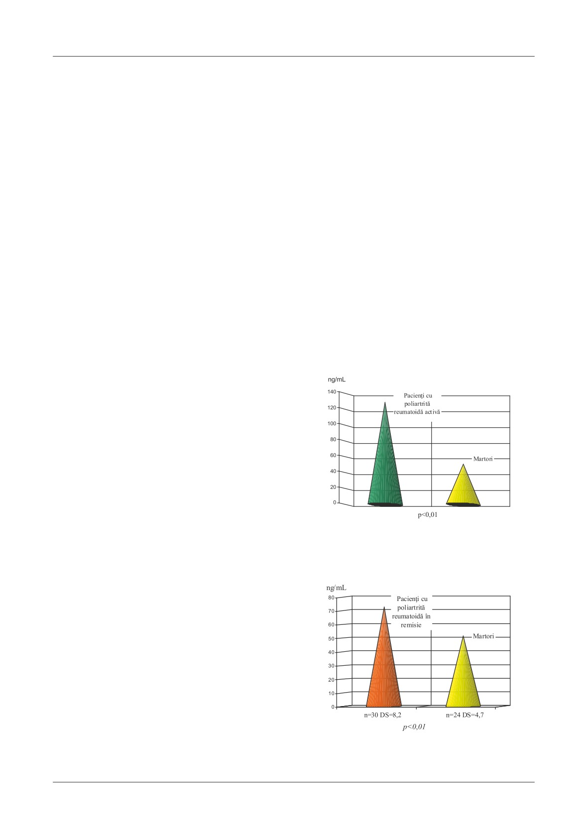
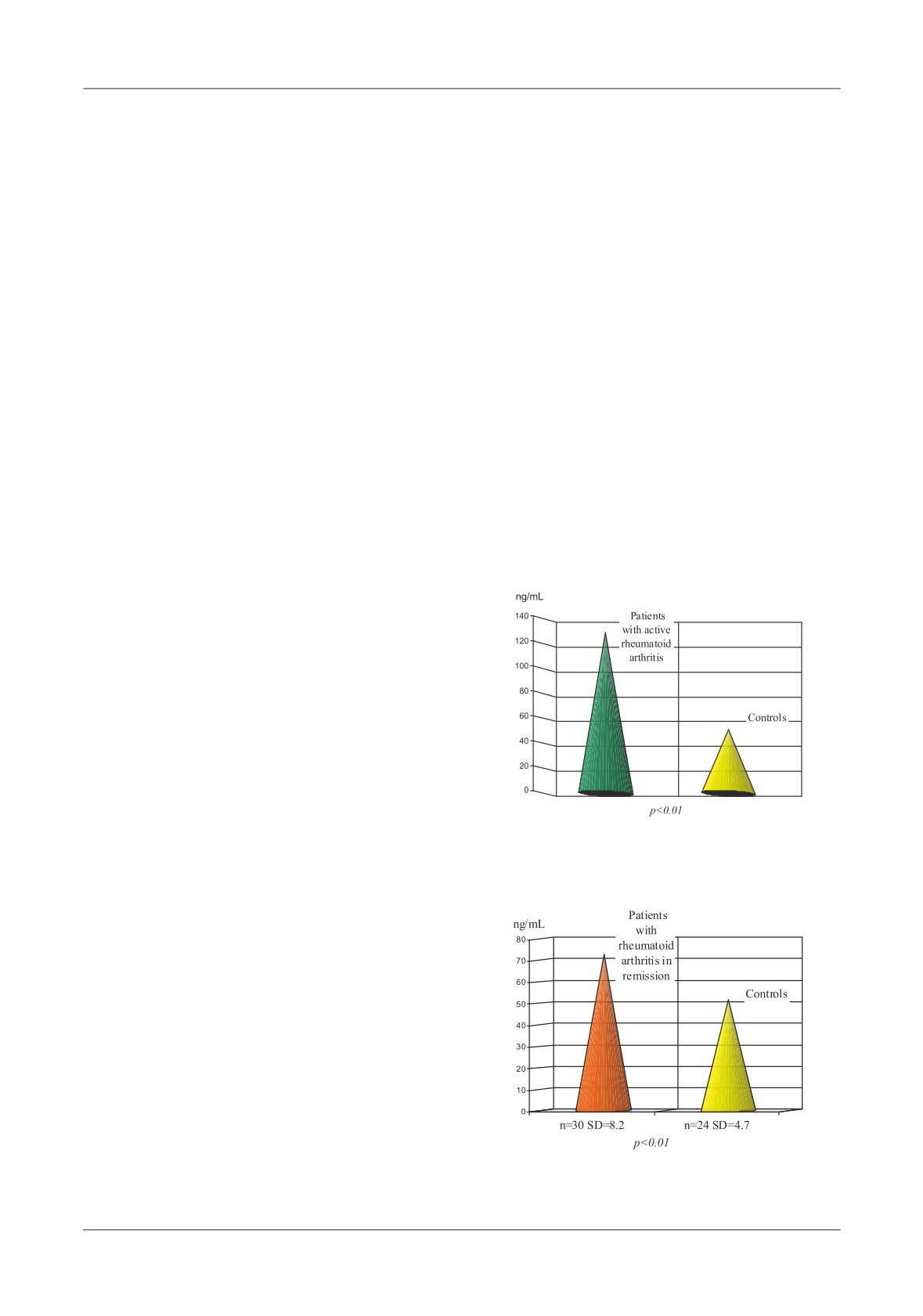
Figure 1. Mean serum levels of interleukin 13
statistical elements: arithmetic mean±standard deviation
for the analysed groups
(mean±SD); inferential statistics elements: t ‘Student
test. StudentT test was used to compare data from the
two groups to control group. Coefficient values were
Control group (healthy volunteers) interleukin-13
calculated: p1 (between group 1 and control group), p2
serum concentration had values between 2.05 and 3.35
(between group 2 and control group); p<0.05 has a
pg/ml (mean 2.12±0.51 pg/ml) (Figure 1).
statistically significant value.
Discussions
Results
Te production and biological action of anti-
Serum levels of interleukin 4 (IL-4)
inflammatory cytokines in psoriatic arthritis have been
Serum levels of interleukin-4 were determined by
studied mainly in animal models. Extrapolation of the
ELISA immunoassay method.
results obtained in these studies to humans is not always
Both in the group with psoriatic arthritis and in the
sufficient and real. Tere are relatively few reported
group with rheumatoid arthritis interleukin
4 serum
studies in humans that evaluate in vivo the blood level
concentration showed no detectablevalues in most
of anti-inflammatory cytokines.
patients (20 cases). In other patients, these values were
Inflammatory cytokines secreted by activated T
very low: 0.2 pg/ml, 0.3 pg/ml, 0.4 pg/ml, 1.1 pg/ml, 1.2
lymphocytes, in particular IL-13 represent the modulator
pg/ml, with a maximum value of 1.4 pg/ml. Tis suggests
factor of inflammation in autoimmune diseases [8].
that T2 lymphocytes, both in psoriatic arthritis as in
Te results of the comparative study made
rheumatoid arthritis are not enabled and do not secrete
regardingthe role that interleukin
13 plays in the
anti-inflammatory cytokines to counterbalance the effects
rheumatoid arthritis and psoriatic arthritis showed that
of pro-inflammatory cytokines secreted by T1.
this cytokine determines besides the inflammatory
For the control group
(healthy volunteers)
action also an inhibitory action for synoviocytes
interleukin-4 was not detected in the serum, since for
proliferation, collagenase synthesis reduction and
them there is no immuno-inflammatory activitythat
augmentation of IL 1Ra synoviocytes synthesis [7].
requires activation of T2 lymphocytes to secrete anti-
In addition, these studies showed that blood levels
inflammatory cytokines and thus to counteract the
of this cytokine arenot significantly higher than in
action of pro-inflammatory cytokines.
healthy subjects for psoriatic arthritis, unlike rheumatoid
Serum levels of interleukin 13 (IL-13)
arthritis where the IL
13 concentration is greatly
Serum levels of interleukin-13 were determined by
increased, and the blood levels of interleukin
13 in
ELISA immunoassay method.
patients with rheumatoid arthritis correlate well with
Group 1 (patients with psoriatic arthritis) serum
synovial fluid levels, correlation that does not exist for
concentration of interleukin-13 had values between
psoriatic arthritis, where blood levels of interleukin 13 is
2.67 and
4.99 pg/ml
(mean
3.22±1.45 pg/ml;
not greatly increased [9].
p1<0.01-S, statistically significant as compared with
Our study results demonstrate that in the peripheral
control group).
blood from healthy individuals no interleukin
4 is
Group
2
(patients with rheumatoid arthritis)
highlighted. It is considered that our results fall within
interleukin-13 serum concentration had values between
the normal serum values of this cytokine, because
2.21 and
13.32 pg/ml
(mean
10.2±1.48 pg/ml;
ELISA kit manufacturer results (Endogen Inc.) also
p2<0.002-ES, highly statistically significant as compared
show undetectable serum levels in healthy individuals
with control group).
investigated, considering them normal values.
Blood Assessment of Some Anti-Inflammatory Cytokines in Psoriatic Arthritis
19
Original articles
MEDICAL CONNECTIONS • NUMBER 2 (38) • JUNE 2015
For groups with psoriatic and rheumatoid arthritis,
cytokines, which makes it impossible to keep T1/T2
serum levels of interleukin-4 are extremely low, at times
balance.
below detection kits used. Tese results demonstrate
By determining blood interleukin
13, our
that T2 lymphocytes are not activated and do not
studyshowed no significant changes between patients
secrete anti-inflammatory cytokines to counterbalance
with psoriatic arthritis
(mean
3.22±1.45 pg/ml,
the effects of pro-inflammatory cytokines secreted by
p1<0.01) and healthy control group (mean 2.12±0.51
T1 lymphocytes.
pg/ml), while for patients with rheumatoid arthritis this
Our research revealed also that blood levels of
cytokine concentration is greatly increased (10.2±1.48,
interleukin-13 are increased both in patients with
p2<0.002) as compared to healthy control group and
rheumatoid arthritis and in those with psoriatic arthritis
patients with psoriatic arthritis.
but for the last ones the difference compared to the
Tus, our study shows that the systemic
control group is nothigh (but still statistically significant).
productionpattern of interleukin-13 may influence the
Corroborating the results of our study on serum
clinical picture of arthritis occurrence with the
inflammatory cytokines profile one can say that T2
appearance of psoriatic respectively rheumatoid arthritis
lymphocytes activation in psoriatic arthritis and
also reflecting the existence of a different pathogenetic
inflammatory cytokine secretion to maintain T1/T2
mechanisms involved in inflammatory joint diseases.
balance is not optimal.
Tese results are not surprising, and our personal
Conclusions
interest to study this anti-inflammatory cytokine started
from a known fact that IL-13 production depends on
Te personal contribution of our study is to
activated T helper lymphocytes, lymphocytes that play
demonstrate that, at blood level for psoriatic arthritis
an important role both in psoriatic arthritis and in
there is not a necessary and sufficient production of
rheumatoid arthritis. In both types of arthritis, psoriatic
inflammatory cytokines (IL-4 was below the detection
and rheumatoid, T helper lymphocyte number is
limit of the kit used, and IL-13 recording results were
increased both in blood and synovial fluid, but there are
close to the healthy control group) so that there is
some differences. Tus, in patients with rheumatoid
noT1/T2 balance. It follows therefore that in psoriatic
arthritis, blood level, there is a surplus of CD4 T helper
arthritis the counteraction of pro-inflammatory
lymphocytes and a deficiency of CD8 T lymphocytes -
cytokines in blood levels is not optimal. In view of these
which is not observed in psoriatic arthritis or healthy
results it can be stated that interleukin 13 may find a
control group [7].
role in the therapeutic arsenal of psoriatic arthritis as
To evaluate the role of T2 lymphocytes in psoriatic
demonstrated in animal models.
arthritis in our study we determined the serum
concentration of the interleukin-4 - prototype of T2
cytokine, and interleukin-13. We have compared the
References
results with those obtained from the serum of healthy
control group and also with the serum of patients with
1. Mosmann TR, Cofmann RL: T1 and T2 cells:
rheumatoid arthritis.
differnt patterns of lymphokine secretion lead to different
In our study we included patients with acute phase
functional properties. Annu Rev Immunol 1989;7:145-
psoriatic arthritis disease because it was assumed that at
73.
this stage cytokine profile changes are most pronounced,
2. Roncarolo MG, Levings MK. Te role of different
being evident not only in the affected joints but also in
subsets of T regulatory cells in controlling autoimmunity.
the serum of patients.
Curr Opin Immunol 2000;12(6):676-83.
Our study showed significant differences in terms of
3. Elkayam O, Yaron I, Shirazi I, Yaron M, Caspi D.
anti-inflammatory cytokine profile forpatients with
Serum level of lL-10,IL-6, IL-1Ra and sIL-2R in
psoriatic arthritis serum compared with healthy subjects
patients with psoriatic arthritis. Rheumatol Int
and patients with rheumatoid arthritis.While at blood
2000;19(3):101-5.
level in health control group interleukin
4 was not
4. Gomi T, Shiohara T, Munakata T, Imanishi K,
detected, for psoriatic and rheumatoid arthritis groups
NagashimaU. Inteleukin 1α, tumor necrosis factor α
its concentration was very low, in some cases even below
and interferon γ in psoriasis. Arch Dermatol
the limit of detection of the kit used. It can be concluded
1991;127(6): 827-30.
therefore, that at blood levels in psoriatic arthritis and in
5. Houssiau FA. Cytokines in psoriatic arthritis. Clin
rheumatoid arthritis there is a lack of anti-inflammatory
Rheumatol 1999;14 Suppl 2:10-3.
20
Ciacli et al
MEDICAL CONNECTIONS • NUMBER 2 (38) • JUNE 2015
Original articles
6. Colota F, Re F, Muzio M et al. Interleukin 1 type II
9. Partech G, Wagner E, Loeb BF, Boll H, Dinky A,
receptor: a decoy target for IL-1 that is regulated by IL-4.
Stolen JS. T cell derived cytokines in psoriatic
Science 1993;261(5120):472-5.
arthritis
synovial fluids. Ann Rheum Dis
7. Nickoloff BJ. Te cytokine network in psoriasis. Arch
1998;57(11):691-3.
Dermatol 1991;127(6):871-84.
10. Nakajima H, Gleich GJ, Kita H. Constitutive
8. Ritchlin C, Haas-Smith SA, Hicks D, Cappuccio J,
production of IL-4 and IL-10 and stimulated production
Osterland CK, Looney RJ. Patterns of cytokine
of IL-8 by normal peripheral blood eosinophils. J
production in psoriatic synovium. J Rheumatol
Immunol 1996;156(12):4859-66.
1998;25(8):1544-52.
Blood Assessment of Some Anti-Inflammatory Cytokines in Psoriatic Arthritis
21
Medical Connections/Conexiuni Medicale
Conflict-of-Interest Statement
Medical Connections/Conexiuni Medicale (Med Con) requires all authors and reviewers to declare any
conflicts of interest that may be inherent in their submissions.
Conflict of interest for a given manuscript exists when a participant in the peer review and publication
process-author, reviewer, or editor - has ties to activities that could inappropriately influence his or her
judgment, whether or not judgment is in fact affected.
Financial relationships with industry, for example, through employment, consultancies, stock
ownership, honoraria, expert testimony, either directly or through immediate family, are usually considered
to be the most important conflicts of interest. However, conflicts can occur for other reasons, such as
personal relationships, academic competition, and intellectual passion.
Public trust in the peer review process and the credibility of published articles depend in part on how
well conflict of interest is handled during writing, peer review, and editorial decision making. Bias can
often be identified and eliminated by careful attention to the scientific methods and conclusions of the
work. Financial relationships and their effects are less easily detected than other conflicts of interest.
Participants in peer review and publication should disclose their conflicting interests, and the information
should be made available so that others can judge their effects for themselves.
Authors: When they submit a manuscript, whether an article or a letter, authors are responsible for
recognizing and disclosing financial and other conflicts of interest that might bias their work. Tey should
acknowledge in the manuscript all financial support for the work and other financial or personal
connections to the work.
Reviewers: External peer reviewers should disclose to editors any conflicts of interest that could bias
their opinions of the manuscript, and they should disqualify themselves from reviewing specific
manuscripts if they believe it appropriate. Te editors must be made aware of reviewers’ conflicts of interest
to interpret the reviews and judge for themselves whether the reviewer should be disqualified. Reviewers
should not use knowledge of the work, before its publication, to further their own interests.
Manuscript Title: _ __________________________________________________________
I declare no conflict of interest
I declare the following potential conflict of interest:
_ _________________________________________________________________________
_ _________________________________________________________________________
_ _________________________________________________________________________
_ _________________________________________________________________________
_ _________________________________
_ _________________________________
Name
Signature/Date
Please fax or mail this signed form to the Med Con Editorial Office.
Fax: +40-261-710456
Mail: colmedsm@gmail.com
Original articles
CLINICAL SIGNIFICANCE OF FERRITIN MEASUREMENT IN PATIENTS
WITH DIFFERENT STAGES OF RHEUMATOID ARTHRITIS
Manole Cojocaru1, Elena Rusu2, Inimioara Mihaela Cojocaru3, Bogdan Chicoş4, Isabela Siloşi5
1Department of Physiology, Faculty of Medicine, “Titu Maiorescu” University, Bucharest, Romania, 2Department of
Biochemistry, Faculty of Dental Medicine, “Titu Maiorescu” University, Bucharest, Romania, 3Department of Neurology,
“Carol Davila” University of Medicine and Pharmacy, Bucharest, Romania, 4Clinical Center for Rheumatic Disease “Dr.
Ion Stoia” Bucharest, 5Department of Immunology, Faculty of Medicine, University of Medicine and Pharmacy, Craiova,
Romania
Address for correspondence:
Cojocaru Manole MD, PhD
5 Tomas Masaryk St., Sector 2, Postal Code 020983, Bucharest, Romania
E-mail: mancojocaru@yahoo.com
Received: 10.05.2015
Accepted: 01.06.2015
Med Con June 2015 Vol 10, No 2, 23-26
Abstract
with different stages of RA, before treatment, the increase
of serum ferritin levels were significant
(ranges from
Background: Serum ferritin is generally considered
57.14 ng/mL-145.17 ng/mL, mean value 129.4±10.5
the best clinical measure of body iron stores. Over the
ng/mL) vs. normal controls’ (ranges from 41.45-55.76
last few years, accumulating data have implicated a role
ng/mL, mean value 51.3±4.7 ng/mL; p<0.01). Seventeen
for ferritin as a signaling molecule and direct mediator
(40%) patients with signs of inflammation (C-reactive
of the immune system. Serum ferritin has recently been
protein 60.16±4.86 mg/L, range 46.14 to 84.18 mg/L)
observed to be elevated in various autoimmune diseases.
had a significantly (p<0.01) higher serum ferritin level.
Objectives: To evaluate serum ferritin in blood
Tis was mainly due to the increased oxidative stress and
samples from patients with different stages of
to the extinction of the inflammatory process. Tree
rheumatoid arthritis
(RA) before treatment and to
(7%) patients with RA had hyperferritinemia that did
investigate the relationship to clinical outcome.
not correlate with elevated titers of rheumatoid factor or
Materials and methods: Te study was carried out
anti-cyclic citrullinated peptide antibodies.
before therapy, in a group of 41 patients with different
Conclusion: In RA, there was a significant correlation
stages of RA, ranging in age between 28-65 years. Te
between serum ferritin, C-reactive protein and erythrocyte
serum values of ferritin were evaluated in a group of 24
sedimentation rate. Serum ferritin is associated with the
controls presenting no signs of rheumatic disease. Te
systemic inflammatory activity of RA. Serum ferritin was
serum ferritin levels were measured by ELISA. Data
the superior indicator for disease status.
were reported as means ±SD with 95% confidence
Keywords: rheumatoid arthritis, ferritin, disease
limits. Te statistical significance of difference was
severity
determined with Student’s t-test. Prevalence was
compared by the χ2 test. Fisher’s exact test and linear
Introduction
regression were used. Correlation analyses were
performed by means of Pearson test.
Rheumatoid arthritis (RA) is a chronic, recurrent
Results: Serum ferritin was significantly higher in
joint disorder, with a poorly understood pathogenesis
RA (levels are age and gender dependent). In patients
[1]. Symptoms and severity of RA vary from person to
Clinical Significance of Ferritin Measurement in Patients with Different Stages of Rheumatoid Arthritis
23
Original articles
MEDICAL CONNECTIONS • NUMBER 2 (38) • JUNE 2015
person and can change from day to day [2]. Rheumatoid
Results
arthritis tends to begin slowly with minor symptoms
that come and go, usually on both sides of the body, and
Disease activity was assessed using the DAS28 score.
progress over a period of weeks or months. Bouts of
Rheumatoid arthritis is a chronic disease, but the disease
disease activity are called flare-ups, while inactive periods
activity is a fluctuating process, showing great variation
are called remission [3,4].
even during the course of one day as well as longer time
Ferritin is known to be a pro-inflammatory
periods.
mediator inducing expression of pro-inflammatory
Serum ferritin levels correlated with conventional
molecules, yet it has opposing actions as a pro-
clinical and laboratory indices of disease activity such as
inflammatory and as an immunosuppressant. Ferritin is
erythrocyte sedimentation rate (ESR) and C-reactive
a serum predictor of iron storage. Serum ferritin appears
protein
(CRP) levels. Significant associations were
to be a particularly sensitive index of iron status when
observed between ferritin and CRP and duration of
stores are low [5].
morning stiffness. No difference was observed between
High levels of serum ferritin have been associated with
men and women.
malignant disease and tissue damage. Hyperferritinemia
In patients with active RA, the serum levels of
has been rarely investigated in autoimmune diseases.
ferritin were significantly higher (129.4±10.5 ng/mL,
Factors that affect prognosis include rheumatoid factor, age
ranges from 57.14-145.17 ng/mL) as compared to those
at time of diagnosis, overall health, and whether
of the control group (51.3±4.7 ng/mL, ranges from
complications have developed [6].
41.45-55.76 ng/mL) (p<0.01) (Figure 1).
At present, no single test of disease activity in RA is
In 30 patients with RA in remission, the serum
effective because RA may cause various kinds of
levels of ferritin were significantly higher (72.7±8.2 ng/
symptoms and signs. Te DAS28 score is used
extensively to evaluate disease activity in patients with
RA. DAS28 is a composite index that provides clinicians
with a simple and objective assessment of the patient’s
level of disease activity and progression [7,8].
Material and Methods
Study group
Tis study involved patients with RA diagnosed
according to the 1987 revised criteria of the American
College of Rheumatology
(formerly, the American
Rheumatism Association). Serum ferritin levels were
Figure 1. Mean value of the serum ferritin concentrations
determined in 41 untreated patients (28 women and 13
in patients with active rheumatoid arthritis,
men), with different stages of RA (aged 53.76±14.2
as compared to controls
years, age range
28-65, mean of arthritis duration
12.4±7.6 years). All patients fulfilled the American
College of Rheumatology criteria for RA. Serum ferritin
levels were measured by ELISA. Te second group was
of 30 patients in remission.
Control group
Serum ferritin levels were determined in 24 healthy
subjects (19 women and 5 men, aged 34.9±7.7 years,
age range 27-54).
Statistical analysis
Data were summarized as mean value (x)±SD. Te
statistical significance of difference was determined with
Student’s t-test. Prevalence was compared by the χ2 test.
Fisher’s exact test and linear regression were used.
Figure 2. Mean value of the serum ferritin concentrations
Correlation analyses were performed by means of
in patients with rheumatoid arthritis in remission
Pearson test.
as compared to controls
24
Cojocaru et al
MEDICAL CONNECTIONS • NUMBER 2 (38) • JUNE 2015
Original articles
mL, ranges 43.35 to 95.27 ng/mL) as compared to
iron is sequestered by ferritin in a nontoxic and readily
those of the control group (51.3±4.7 ng/mL, ranges
available form in a cell. Ferritin is composed of
24
from 41.45-55.76 ng/mL) (p<0.01) (Figure 2).
subunits of different proportions of two functionally
Tere was a significant correlation between ferritin
distinct subunits: ferritin H and L. Serum ferritin
(129.4±10.5 ng/mL, range 57.14 ng/mL to 145.17 ng/
concentration as an index of storage iron in RA. Any
mL), and morning stiffness duration
(r=0.478;
inflammatory disorder can raise the ferritin level [15].
p=0.026). Serum ferritin levels also correlated positively
Serum ferritin level is a marker of body iron stores
with that of CRP (60.16±4.86 mg/L, range 46.14 to
and may be an indicator of iron deficiency in patients
84.18 mg/L) (r=0.613, p<0.01).
with chronic inflammation such as RA [13]. Te present
Ferritin was found to be higher in serum of patients
findings agree with a previous report of high serum
with RA and the level correlated with the disease activity
ferritin levels in RA patients compared to healthy
and joint destruction. No significant correlation was
controls [16]. Tus, serum ferritin is an index of iron
present between ferritin level and disease duration.
stores also in RA. In active disease, higher than expected
Tree (7%) patients with RA had hyperferritinemia
values of serum ferritin are probably due to a shifting of
that did not correlate with elevated titers of rheumatoid
iron from the circulating pool to the reticuloendothelial
factor or anti-cyclic citrullinated peptide antibodies.
cells of the synovial membrane [17].
Hyperferritinemia is associated with inflammation,
Discussion
infections and malignancies [18]. High concentrations
of ferritin are found in the synovial fluid of RA patients,
Rheumatoid arthritis (RA) is a chronic inflammatory
and in patients with juvenile RA correlates with disease
disease that may have a high impact on patients’ quality
activity [19]. Serum ferritin was shown to be a significant
of life as it is associated with disability, (co)morbidity
predictor of disease severity [20, 21].
and an increased mortality rate. Rheumatoid arthritis is
Further investigation into the mechanisms of
a chronic, systemic inflammatory disorder that primarily
ferritin in RA group is warranted.
affects joints [9]. It may result in deformed and painful
joints, which can lead to loss of function. Studies at
Conclusion
molecular/genetic levels continue to explore various
biomolecules as potential markers of the disease [10].
Te serum ferritin concentration may provide a
Ferritin has been implicated in various diseases and
useful indication of reduced body iron stores in patients
may be important in autoimmune conditions. Serum
with RA. Hyperferritinemia in RA correlates with
ferritin levels (acute phase reactant) were measured in
disease activity. Tis study indicates that serum ferritin,
patients with RA and the correlations of these parameters
among the various RA tests, is the most useful
with the disease activity score
(DAS28) were
biochemical marker for evaluating the disease activity of
investigated. Ferritin is a protein in the body that is used
patients with RA. Our study related to severity and
to store iron [11].
prognosis of RA demonstrated that serum ferritin was a
Te ferritin blood test can detect elevated or low
significant predictor of destruction of articular cartilage
levels of ferritin in the body, which may indicate disease
of joints. Further studies with large samples need to be
such as hemochromatosis, RA, certain cancers, anaemia,
done to confirm findings.
or iron deficiency. Te expression of ferritin is under
All authors have read and approved the final
delicate control and is regulated at both the
manuscript.
transcriptional and post-transcriptional levels by iron,
cytokines (tumour necrosis factor-alpha and interleukin-
1a), hormones, and oxidative stress [12].
References
Te immunological actions of ferritin include
binding to T lymphocytes, suppression of the delayed-
1. Scott DL, Wolfe F, Huizinga TW. Rheumatoid
type hypersensitivity, suppression of antibody
arthritis. Lancet 2010;376 (9746):1094-108.
production by B lymphocytes, and decreased
2. Wasserman AM. Diagnosis and Management of
phagocytosis of granulocytes [13].
Rheumatoid Arthritis. American Family Physician
Te ferritin test measures the amount of iron stored
2011;84 (11):1245-52.
in the body. Iron, an essential element for many important
3. Gramling A, O’Dell JR. Initial management of
cellular functions in all living organisms, can catalyse the
rheumatoid arthritis. Rheum Dis Clin North Am
formation of potentially toxic free radicals [14]. Excessive
2012;38(2):311-25.
Clinical Significance of Ferritin Measurement in Patients with Different Stages of Rheumatoid Arthritis
25
Original articles
MEDICAL CONNECTIONS • NUMBER 2 (38) • JUNE 2015
4.
Baynes RD. Assessment of iron status. Clin Biochem
14.
Torti FM, Torti SV. Regulation of ferritin genes and
1996;29:209-15.
protein. Blood 2002;99:3505-16.
5.
Orbach H, Zandman-Goddard G, Amital H, et al.
15.
Palermo C, Bongi SM, Bianucci G. Relationship
Novel biomarkers in autoimmune diseases. Ann NY
between serum ferritin, iron stores and disease activity in
Acad Sci 2007;1109:385-400.
rheumatoid arthritis. Ricerca in clinica e in laboratorio
6.
Knovich MA, Storey JA, Coffman LG, Torti SV, Torti
1986;16:463-9.
FM. Ferritin for the clinician. Blood Reviews
16.
Blake DR, Bacon PA, Eastham EI, Brigham K.
2009;23:95-104.
Synovial fluid ferritin in rheumatoid arthritis. Br Med J
7.
Zandman-Goddart G, Shoenfeld Y. Hyperferritinemia
1980;281:715-6.
in autoimmunity. Isr Med Assoc J 2008;10(1):83-4.
17.
Pelkonen P, Swanjung K, Siimes MA. Ferritinemia as
8.
Zandman-Goddart G, Shoenfeld Y. Ferritin in
a indicator of systemic disease activity in children with
autoimmune diseases. Autoimmun Rev 2007;6:457-63.
systemic juvenile rheumatoid arthritis. Acta Paediatr
9.
Hintze KJ, Teil EC. Cellular regulation and molecular
Scand 1986;75:64-8.
interactions of the ferritins. Cell Mol Life Sci
18.
Lim MK, Lee CK, Ju YS, et al. Serum ferritin as a
2006;63:591-600.
serological marker of activity in systemic lupus
10.
Bentley DP, Williams P. Serum ferritin concentration as
erythematosus. Rheumatol Int 2001;20:89-93.
an index of storage iron in rheumatoid arthritis. J Clin
19.
Beyan E, Beyan C, Demirezer A, Ertugrul E, Uzuner
Pathol 1974;27(10):786-8.
A. Te relationship between serum ferritin levels and
11.
Smith RJ, Davis P, Tomson AB, Wadsworth LD,
disease activity in systemic lupus erythematosus. Scand J
Fackre P. Serum ferritin levels in anemia of rheumatoid
Rheumatol 2003;32:225-8.
arthritis. J Rheumatol 1977;4(4):389-92.
20.
Hesselink DA, Aarden LA, Swak AJG. Profiles of the
12.
Yildirim K, Karatay S, Melikoglu MA, Gureser G, Ugur
acute-phase reactants C-reactive protein and ferritin
M, Senel K. Associations between Acute Phase Reactant
related to the disease course of patients with systemic
Levels and Disease Activity Score (DAS28) in Patients with
lupus erythematosus. Scand J Rheumatol 2003;32:151-
Rheumatoid Arthritis. Ann Clin Lab Sci 2004;34:423-6.
5.
13.
Mainous AG, Wells BJ, Everett CJ, Gill JM, King
21.
You SA, Wang O. Ferritin in atherosclerosis. Clin
DE. Association of ferritin and lipids with C-reactive
Chim Acta 2005;357:1-16.
protein. Am J Cardiol 2004;93:559-62.
26
Cojocaru et al
Original articles
CAUSES OF DEATH IN CHRONIC LYMPHOCYTIC LEUKEMIA
Gabriela Ariadna Gavrilă1, Romeo Gabriel Mihăilă2
1Clinical Analysis Laboratory, Emergency Clinical Hospital of Sibiu County, 2Department of Internal Medicine, “Victor
Papilian” Faculty of Medicine, “Lucian Blaga” University of Sibiu
Address for correspondence
Dr. Gabriela Ariadna Gavrilă
Corneliu Coposu Avenue No. 2-4. 550245, Sibiu, Romania
Email: gabrielagavrilasb@gmail.com
Received: 15.06.2015
Accepted: 30.06.2015
Med Con June 2015 Vol 10, No 2, 27-30
Abstract
spread over a 10-23 years period, with similar survival as
the general population [1]. Tis applies to about 30% of
Chronic lymphocytic leukemia (CLL) is a disease with
all CLL cases. On the other hand some patients die
slow clinical progression, extending between 10-23 years.
rapidly only 2-5 years after diagnosis, due to aggressive
Te potential cause of death may be independent of the
CLL development encumbered by multiple
disease evolution in 30% of cases. Te most common
complications. Most patients, with survival times
causes of death remain systemic infections
(especially
ranging from 5 to 10 years have initially a slowly disease
pneumonia and sepsis), bleeding, inanition and cachexia.
progress, followed by a terminal phase of 1 or 2 years.
Spontaneous clinical regression has been rarely reported.
During this phase there is a considerable morbidity, due
Our study intends to follow up the complications that lead
to the disease itself as well as the therapy complications.
to death in 74 patients with chronic lymphocytic leukemia,
Tis clinical variability is intensely studied.
admitted in the ward of Hematology of Emergency
During the asymptomatic initial phase, patients
Clinical Hospital Sibiu County, between 2008 and 2014.
retain their common life style, but during the terminal
Patients have been divided into two groups: 30 patients in
phase, the performances are modest, requiring recurrent
incipient stages of disease which did not require therapy
hospitalizations.
but only surveillance, and 44 patients with clinical disease
Raising awareness of risk factors like age, male
manifestations which needed chemotherapy. Any newly
gender, increased levels of beta 2-microglobulin, lactate
acquired symptom in patients with chronic lymphocytic
dehydrogenase and creatinine could allow early
leukemia raises suspicion of occurrence of a second primary
detection of the development of new cancer types [2].
neoplasia. Te most common complications which were
Progression rate of CLL is variable, with a phase of
the causes of death are infection and a second neoplasia.
leukemic cells replication, followed by progressive
Keywords: chronic lymphocytic leukemia,
accumulation of immune incompetent lymphocytes with
infections, a second neoplasia, death
long life. All the events that mark the natural history of
the disease, with accumulation of lymphocytes in tissues,
Introduction
are due to imbalance between proliferation and apoptosis.
T lymphocytes and stromal cells are involved in the same
Chronic lymphocytic leukemia (CLL) is a disease
extent to support survival of B leukemic lymphocytes,
that can have an indolent clinical evolution which may
but while T cells have a short-term action, stromal cells
Causes of Death in Chronic Lymphocytic Leukemia
27
Original articles
MEDICAL CONNECTIONS • NUMBER 2 (38) • JUNE 2015
provide the long-term support [3]. Increasing mass of
Table I. associate infections in the group of patients with treated
CLL
leukemia may induce a failure of hematopoiesis with the
following consequences: anemia, thrombocytopenia,
Patients
Infections
neutropenia and their complications. Also, the immunity
Nr
%
decreases gradually, manifested by impaired humoral and
One type of infection**
8
47%
cellular immunity and the beginning of autoimmune
Microbial, viral and fungal infection
3
17.6 %
diseases. In advanced forms of CLL, the mass of leukemic
Microbial and fungal infection
3
17.6 %
cells leads in a direct way to hypersplenism, compressing
vital structures, hypermetabolism and cachexia.
Microbial and viral
2
11.8%
Except for the case of death induced by another
Viral and fungal infection
1
6%
disease, untreated CLL is progressing inexorably towards
**microbial, viral or fungal
exitus, regardless of whether it occurs in 12 months or
20 years.
Objective: to identify the complications which
According to the number of infectious episodes, we
determine the causes of death in patients with CLL
recorded 4 patients with 2 or more successive microbial
admitted in our hospital.
infectious and 13 patients with a single infection.
Te second neoplasia
Materials and Methods
It was noticed that 9 patients (12%) of the total 74
CLL patients studied, developed a second neoplasia
Te study includes 74 patients with mean age of
throughout the disease evolution.
67.15±10.37 years, 40 women and 34 men, admitted in
Patients in the early stages of the disease
the Hematology Department of Emergency Clinical
In this group we have not registered any patient
Hospital Sibiu County, between
2008 and
2014,
with second neoplasia.
diagnosed with CLL. Te patients were monitored up
Previously chemotherapy-treated patients
to the conclusion of the study. Te cases of B cell
In the treated group of
44 patients,
9 cases
monoclonal lymphocytosis or lymphocytic lymphoma
(20.45%), with the mean age of
65.22±5.38 years
were excluded from the study.
developed throughout the evolution a second neoplasia.
Te patients were divided in two groups: 30 patients
Te mean time frame from the chemotherapy
at incipient stages of disease which do not require
administration up to the occurrence of the second
therapy but only surveillance (“watch and wait”), and
neoplasia was 49.33±20.5 months.
44 patients with clinical manifestations which needed
Te second cancer was located on skin in 6 cases (3
chemotherapy.
basal cell carcinomas, 2 squamous cell carcinomas, and
1 malignant melanoma), 2 cases of small cell lung
Results
carcinoma and 1 ovarian adenocarcinoma.
One of the patients also developed a relapse of the
Infectious complications
second cancer (squamous cell skin carcinomas), after 82
Of the 74 patients studied, 21 patients (37.8%) had
months of the first chemotherapy administration.
at least one infectious episode throughout the evolution
Tree patients who developed second neoplasia,
of the disease.
malignant melanoma, squamous cell carcinoma and
Patients in the early stages of the disease
small cell lung cancer, have died. Te presence of the
In this group, 4 patients out of 30 (13.3%) had one
second malignity was not correlated with the survival
infectious complications and no multiple infectious
(p=0.883) or with the stage of the disease (p=0.088).
episodes were registered.
Deaths
Previously chemotherapy-treated patients
From the whole group, 16 patients (21.6%) died
A number of 17 patients out of 44 showed infections
throughout the study, 12 of them (75%) being part of
throughout their disease evolution. Eight patients have
the treated group.
developed only one type of infectious complications
Patients in the early stages of the disease
(microbial, viral or fungal); the other 9 patients had
In this group only 4 deaths were registered (13.3%),
associated 2-3 different types of infection: microbial,
all the deceased patients are women with the mean age
fungal and viral infection
3 patients, microbial and
of 73.25±7.97 years. Te causes of death were: in 2 case
fungal 3 patients, microbial and viral 2 patients, viral
acute pulmonary edema, the third patient had stroke,
and fungal 1 patient (Table I).
and one patient developed sepsis.
28
Gavrilă et al
MEDICAL CONNECTIONS • NUMBER 2 (38) • JUNE 2015
Original articles
Previously chemotherapy-treated patients
Te infectious episodes frequency after
In the group who received chemotherapy,
12
chemotherapy treatment is much larger
(38.6%) in
patients died (27.27%); 7 men (58%) and 5 women
comparison with untreated patient group (13.3%). Half
(42%), the mean age of the group was 68.58±8.71 years;
of those patients who have presented infectious
the causes of death were the following: sepsis in
5
complications had multiple episodes, frequently with
patients, cardiac causes
(acute myocardial infarction,
varied etiology: microbial, fungal or viral. Infectious
arrhythmias, heart failure) in 5 patients, 1 case due to a
complications have imposed the delay of chemotherapy
pulmonary malignant tumor (small cells carcinoma) on
treatment for the patients and finally represented the
the left upper lobe with multiple secondary
cause of death. According to the etiologic spectrum, the
dissemination, and another patient due to blastic
microbial infections predominate, followed by the
transformation of a previously chronic myeloproliferative
fungal and viral.
syndrome.
Te most common causes of death in CLL remain
All those 5 deaths by sepsis, patients with mean age
severe systemic infections (in particular pneumonia and
of
66.8±5.38 years, took a microbial infection as a
sepsis), bleeding, inanition and cachexia. Spontaneous
starting point.
clinical regression has been rarely reported [4]. With all
Te causes of deaths are sown in figure 1. Te
therapeutic progress recorded in the last decade, the
infections plus second neoplasia represents 50% of the
infectious complication has a high rate of incidence and
total causes of death (Figure 1).
represents an important cause of morbidity and
mortality
[5]. Te spectrum of microbial infections
Discussions
depends on the treatment type [6,7].
Patients with CLL have a higher risk of developing
In our study we found that 37.8% of patients had at
a second malignancy, the commonly diagnosed types
least one infectious episode during disease evolution.
include: skin, prostate, breast, melanoma, lymphoma,
Te percentage increases to 38.6% among patients who
gastrointestinal and lung. Terapeutic schemes applied
have received chemotherapy, and is only
13.3% in
to symptomatic patients did not affect the subsequent
patients group without treatment. A substantial
risk of a second malignancy (p=0.49) [2]. Patients with
percentage (23.6%) of treated patients were recorded
CLL are predisposed to the development of a second
during disease evolution with
2 or more infectious
cancer due to the impairment of the immune system,
episodes, but in the untreated patients group no
the chemotherapy or of the genomic instability [8].
multiple infectious episodes are registered. Te most
CLL status is characterized by progressive impairment
frequent infectious complications are the microbial
in both cell-mediated immunity (natural killer defects,
infections, representing almost a half (48%) of the total
B-lymphocyte defects, quantitative and qualitative
infectious complications, then the fungal infections
abnormalities of T cells) as well as humoral-mediated
(28%), and the viral infections (24%).
immunity (low gamma globulin levels) [9]. Especially
It has been found that 9 patients (12%) of the total
nucleoside analog therapy makes the immunosuppression
74 CLL patients studied had developed a second
deeper by affecting all elements of the immune system
neoplasia throughout the evolution. All these patients
and favoring infectious diseases and a second neoplasia.
come from treated patients.
In the majority of cases, the second malignancy develops
During our study 16 patients (21.6%) have died 4
after several years of CLL evolution and it is non
patients in the group without treatment and 12 of those
hematological. Typically there is a period of spontaneous
who receive chemotherapy treatment.
CLL remission that precedes by months or years the
In our patients group, infections and the second
second malignancy occurrence (in as many as 33% of
neoplasia represents 50% of the causes of death.
patients with CLL) [10]. Te frequency of association
with the second neoplasia in CLL is increasing (16%)
and over two thirds of these patients will die of this
cause. In our study, 12% of patients have developed a
second malignancy after an average time of 49 months
and 40% of these were treated with a combination of
anthracyclines and purine nucleoside analogues.
Te most common complications, which shall be
regarded as causes of death in CLL patients, are the
Figure 1. Causes of death in CLL patients
infections and the second primary neoplasia. Te infections
Causes of Death in Chronic Lymphocytic Leukemia
29
Original articles
MEDICAL CONNECTIONS • NUMBER 2 (38) • JUNE 2015
are incriminated as causes of death for 25-50% in patients
lymphocytic lymphoma. J Clin Oncol
2009;
27
with CLL [11]. In our study, the infections have been the
(6):904-10.
cause of death for almost 42% of patients, with mean age
3.
Whitacre DC, Hedjran F, Schmidt-Wolf I, et al.
of 66.8 years. Having regard to immunosuppression with
Highly efficient gene-transfer into chronic lymphocytic
double determination, the illness and the chemotherapy,
leukemia cells using adenovirus type 35 genetic vectors.
even ordinary infections may have a potential risk in those
Blood 2005; 106(11):596a.
patients. Te spectrum of respiratory, skin or urinary tract
4.
Tomas R, Ribeiro I, Shepherd P, et al. Spontaneous
infections in patients with CLL include Streptococcus
clinical regression in chronic lymphocytic leukemia. Br J
pneumonia, Staphylococcus aureus, Staphylococcus
Haematol 2002; 116(2):341-5.
haemolyticus, E. coli and varicella zoster virus. Our patients
5.
Morrison VA. Infectious complications of chronic
had developed infections with Staphylococcus,
lymphocytic leukemia: pathogenesis, spectrum of
Streptococcus or Pseudomonas aeruginosa. Te frequency,
infection, preventive approaches. Best Pract Res Clin
severity and type of infection are determined by the degree
Haematol 2010; 23(1):145-53.
of hypogammaglobulinemia [12]. Te other main cause of
6.
Morrison VA. Infectious complications in patients with
death, related to basic disease, is the occurrence of the
chronic lymphocytic leukemia: pathogenesis, spectrum of
second cancer more frequently upon 4 years from the
infection, and approaches to prophylaxis. Clin
administration of the first chemotherapy. Any newly
Lymphoma Myeloma 2009; 9(5):365-70.
occurring symptom, apparently unrelated to the basic
7.
Stelmach P, Robak T. Pathogenesis, prophylaxis and
disease, has to be carefully investigated, because it raises the
treatment of infections in patients with chronic
suspicion of a second primary neoplasia.
lymphocytic leukemia. Postepy Hig Med Dosw
(Online) 2013; 67:560-8.
Conclusions
8.
Morton LM, Curtis RE, Linet MS, Bluhm EC,
Tucker MA, Caporaso N, et al. Second malignancy
Te most common complications of CLL, which
risks after non-Hodgkin’s lymphoma and chronic
shall be regarded as causes of death, are infection and
lymphocytic leukemia: differences by lymphoma subtype.
second malignancy.
J Clin Oncol 2010; 28(33):4935-44.
All patients with CLL should be counseled to be
9.
Dasanu CA, Alexandrescu DT. Risk for second
careful to any newly appearing symptoms, even
nonlymphoid neoplasms in chronic lymphocytic
unrelated to their illness, because it raises the suspicion
leukemia. MedGenMed 2007; 9(4):35.
of a second primary neoplasia development.
10.
Wiernik PH. Second neoplasms in patients with chronic
lymphocytic leukemia. Curr Treat Options Oncol
References
2004; 5(3):215-23.
11.
Hamblin AD, Hamblin TJ. Te immunodeficiency of
1. Guarini A, Gaidano G, Mauro FR, Capello D, et al.
chronic lymphocytic leukaemia. Br Med Bull 2008;
Chronic lymphocytic leukemia patients with highly
87:49-62.
stable and indolent disease show distinctive phenotypic
12.
Brenner H, Gondos A, Pulte D. Trends in long-term
and genotypic features. Blood 2003; 102(3):1035-41.
survival of patients with chronic lymphocytic leukemia
2. Tsimberidou AM, Wen S, McLaughlin P, et al. Other
from the 1980s to the early 21st century. Blood 2008;
malignancies in chronic lymphocytic leukemia/small
110(10):4916-21.
30
Gavrilă et al
Original articles
THE MODIFICATION OF GASTRIC ACID SECRETION PRODUCED BY
THE ACTIVATION OF CARBONIC ANHYDRASE II AND IV ISOENZYME
Andreea Vlad1, Marcela Coltau2, Ioan Pușcaș
1Faculty of Medicine, University of Oradea, Romania, 2 City Hospital “Prof. Dr. Ioan Pușcaș” Șimleu Silvaniei, Sălaj,
Romania
Address for correspondence:
Vlad Andreea, MD
Medical Disciplines Department, Faculty of Medicine, University of Oradea,
10 no. 1 December St., 410068, Oradea, Romania
Tel. +40-(770)-122-403,
Email: dalvnoi@yahoo.com
Received: 05.05.2015
Accepted: 30.05.2015
Med Con June 2015 Vol 10, No 2, 31-37
Abstract
Introduction
Background: Carbonic anhydrase, (CA), reversibly
Starting in the 1940s when the discovery carbonic
catalyzes one of the simplest chemical reactions, the one
anhydrase,
(CA), inhibition by sulfonamides was
between carbon dioxide and water. Te present study
reported, the interest in the activity of the
14 alfa-
aims to analyze the effect of administration of gastric
isozymes discovered at the human species has been
major secretagogue upon the activity of erythrocyte CA
constant
[1-3]. Attempts by well known authors,
II and also the variation of gastric acid secretion (GAS)
starting with Mann and Keilin (1940), England, who
in this context.
reported on the inhibition of CA isozyme by
Material and Methods: 96 healthy volunteers were
sulfonamides, then Leiner (1940), Germany, about CA
involved in this clinical analyze, divided into three
isozyme activation induced by various classes of
groups. Tey were given histamine, pentagastrin and
compound, were perpetuated and new inhibitory and
acetylcholine. Te activity of erythrocyte CA II and also
activating mechanisms were discovered. Assumptions
GAS was determined before and after the treatment.
that explain the mechanisms of activating CA I and CA
Results: A significant elevation of erythrocyte CA II
II isozyme were described by some researchers [4-6]. In
activity was obtained by stimulating with histamine,
1997, when the first X-Ray crystallographic structure of
pentagastrin, and acetylcholine correlated with
CA under the action of various activators was made,
significant growth of GAS.
reported by Briganti et al [7]. Tey proved unequivocally
Conclusions: Te study indicates that all the major
the existence of activating class of CA as well as the
secretagogue of GAS are potent activators of red blood
elucidation of their mechanism of action.
cell (RBCs) CA II, the enzyme that correlates directly
Constant interest of the team headed by Pușcaș [8-
with CA IV activation from gastric mucosa parietal cells
10], led to his discovery: the pH theory, which shows
as well as the presence of a dual action mechanism of
the CA as the common element for the three receptors:
these, both directly on the GAS and over gastric CA.
histamine, gastrin and acetylcholine involved in gastric
Keywords: Carbonic anhydrase II, carbonic
acid secretion
(GAS). It is well known that GAS is
anhydrase IV, histamin, gastrin, acetylcholine
regulated by paracrine, endocrine and neuroendocrine
The Modification of Gastric Acid Secretion Produced by The Activation of Carbonic Anhydrase Ii and Iv Isoenzyme
31
Original articles
MEDICAL CONNECTIONS • NUMBER 2 (38) • JUNE 2015
mechanisms. Major activators of GAS are: histamine,
Medical Assembly, Venice, Italy, 1983 and latter by the
gastrin and acetylcholine, and the most important
41st World Medical Assembly, Hong Kong, 1989. Te
endogenous inhibitors are: colecistokinin, somatostatine,
study protocol was approved by the Ethics Committee of
prostaglandins and secretine.
the Center for Research of the City Hospital ‘Prof. Dr.
Te CA inhibitors, like acetazolamide, reduce the
Ioan Pușcaș” Simleu Silvaniei, Salaj, Romania, where the
activity of erythrocytes CA II and from the parietal cell
experiment took place. Written informed consent was
cytosol, as well as the activity of CA IV from gastric
obtained from all volunteers, prior to enrolment in the
parietal cell, in parallel with the reduction of basal acid
study. Te study was focused on dose-response.
output (BAO) and maximal acid output (MAO). Te
Patients
effect is progressive and dose-dependent
[11,12].
We selected 96 healthy (male and female) volunteers
Starting from these results, in our paper we followed, in
aged 30 to 50 years, with body mass index ranging
parallel, the effect of histamine, pentagastrin and
between
23.09-23.34 kg/m2, which were randomly
acetylcholine upon carbonic anhydrase in erythrocytes
divided into three groups (I-III). All volunteers were in
and upon gastric acid secretion.
good general health. Subjects were screened before
participation by physical examination, a complete blood
Materials and Methods
count, fasting serum glucose, and routine laboratory
analysis, electrocardiogram and their medical history was
Te study was conducted according to the
recorded. Te median BMI and biochemical parameters
Declaration of Helsinki as modified by the 21st World of the volunteers in the groups are shown in Table I.
Table I. Anthropometric and laboratory parameters of volunteers involved in this study*
Anthropometric/
Group I
Group II
Group III
Biochemical parameters
(N=30)
(N=31)
(N=35)
Age
42.80±5.98
39.57±7.74
42.77±5.68
Anthropometric parameters
Usual body weight (kg)
68.07±8.85
67.97±9.18
68.60±8.28
Height (m)
1.66±0.32
1.66±0.32
1.66±0.30
BMI (kg/m2)
23.16±1.25
23.09±1.48
23.34±1.22
ESR (mm/1 hour)
1.43±0.50
1.39±0.49
1.37±0.53
ESR/(mm/2 hours)
10.20±2.04
10.06±1.53
10.69±1.89
Hemogram
RBC (µl)
4.71x103±0.71
4.74x103±0.72
4.82x103±0.70
HGB (g/dl)
14.48±2.96
14.67±3.08
14.63±2.90
MCV (fl)
88.24±9.38
89.63±11.96
89.49±11.23
MCHC (g/dl)
33.79±1.57
34.00±1.91
34.11±1.88
PLT (µl)
267.45x103±113.26
273.20x103±115.66
272.03x103±107.65
Biochemical analysis
GlU (mg/dl)
87.90±18.28
89.13±19.20
88.09±17.84
CHOL (mg/dl)
132.17±56.34
134.43±56.72
131.80±51.13
CREA (mg/dl)
0.92±0.22
0.92±0.22
0.93±0.20
GGT (U/L)
20.17±10.08
21.33±9.94
20.97±12.30
GPT (U/L)
22.41±10.74
21.97±10.98
22.17±9.76
GOT (U/L)
26.62±9.55
26.33±9.51
25.03±10.59
TP (g/dl)
7.66±0.75
7.67±0.74
7.49±0.82
TRIG (mg/dl)
86.21±32.59
86.67±32.12
89.43±31.58
Urea
29.48±10.55
30.33±10.75
33.86±13.67
Urinary analysis
pH
7.21±0.15
7.05±0.15
7.03±0.23
LEU
none
none
none
GLU
none
none
none
*Mean value and standard deviation. BMI-body mass index, ESR-erythrocyte sedimentation rate, RBC-red blood cells, HGB-
hemoglobin, MCV-medium cell volume, MCHC-medium cell concentration, PLT-platelet, CHOL-cholesterol, CREA-creatinine,
TP-total protein, TRIG -triglycerides, LEU-leukocytes, GLU-glucose.
32
Vlad et al
MEDICAL CONNECTIONS • NUMBER 2 (38) • JUNE 2015
Original articles
Table II. Reagents used for the determination of enzymatic activity of carbonic anhydrase
Reagents
Conditions/Preparations
Stock solution of carbonic anhydrase II Te concentration of stock solution of carbonic anhydrase II was 3.44x10-
5M.
p-nitrophenol, 0.2 mM
pH=7.5; temperature 20-25 oC. It was used as pH indicator.
HEPES buffer, 20 mM
pH=7.5; temperature 20-25 oC.
Solution CO2, 15 mM
Te solution was obtained by bubbling CO2 in bidistilated water to
saturation. Te concentrations of CO2 was determined using CO2 electrode
(Orion 9502 BN) connected to ion-meter Orion 720A .Te standard
solution of CO2 was prepared using the solution of NaHCO3, 0,1 M, with
different volumes (0.5-5 ml) that was mixed with 5 ml of citric acid buffer
1M, pH 4.5
Na2SO4, 0.1M
It was used to maintain constant ionic strength
Te subjects with a history of chronic medical illness:
Enzymatic activity of carbonic anhydrase was
diabetes mellitus, hypertension, morning glycemia of
obtained by the formula: A=(T0-T)/T [EU/ml], where,
more than 115 mg/dl, treatment by any medications, or
T0 represents the un catalyzed reaction time, and T
significant ECG or laboratory abnormalities were
represents the catalyzed reaction time (in the presence of
excluded from participation in the study.
CA I, CA II gastric mucosa CA IV).
Procedure
Determination of gastric hydrochloric acid debit
Group I (N=30) received a single-dose of histamine at
Gastric juice was collected with the help of a naso-
the dose of 0.04 mg/body weight, s.c., Group II (N=31)
gastric probe before and after stimulation with
received pentagastrin at the dose of 0.5 mg, s.c.. Group III
histamine, pentagastrin or acetylcholine. First sample
(N=35) received acetylcholine, 150 mg/kg body weight,
was taken before treatment and second sample 2 hours
i.v. Te study was conducted from April 2012 to March
after administration of therapy. Te volume of gastric
2013, at the Center for Research at City Hospital „Prof.
juice was measured and the concentration of free HCl
Dr. Ioan Pușcaș”, Șimleu Silvaniei, Sălaj, România.
was determined by titration with NaOH 0.1N to pH 7.
Determination of carbonic anhydrase activity
Acid flow was expressed in mEq/HR.
Red cell CA II activity was separated from red cell
CA I according to the test with nicotinates [13]. Tis
Statistical analysis
test relies on the selective inhibition of CA I activity. In
the first step, we assayed the total carbonic anhydrase
Te data were expressed as mean±SD. p-values
activity. Methylnicotonate added in the concentration
<0.05 were considered as significant. Unpaired t test was
of
5x10-4M completely inhibited CA I activity. Te
performed using GraphPad Prism version
5.00 for
remaining carbonic anhydrase activity in red blood cells
Windows. GraphPad Software, San Diego, California,
represents CA II activity.
USA, www.graphpad.com.
Te CA activity was assessed using the stopped-flow
method [14]. Tis method consists of measuring the
Results
enzymatic activity of CO2 hydration and is based on the
colorimetric determination of the rate of pH change. Te
In the present study 96 volunteers were involved.
time in which the pH of the reagent mixture decreases from
Tey were adults, (with medium body weigh between
its initial value of 7.5 to its final value of 6.5 is measured.
67.97±9.18 kg to 68.60±8.28 kg, medium height 1.65
Te follow-up of the reaction is achieved
m to 1.66 m), normal body mass index. Tey had the
spectrophotometrically at 400 nm wavelength, using a rapid
complete blood count in normal range, fasting glycemia
kinetic spectrophotometer HI-TECH SF-51MX (England),
below that 115 mg/dl, no hepato cytolisis, normal lipid
equipped with a mixing unit and a system of two syringes
profile and on urine examination, leukocytes, glucose or
which supply the reagents. Te signal transmitted by the
albumin were not found. All this analyzes demonstrated
photomultiplier from the mixing chamber is received and
that the adults were healthy.
visualized by a computer equipped with a mathematical
In group I, histamine administration significantly
coprocessor and a kinetic software package RKBIN IS1.
increased enzymatic activity of carbonic anhydrase II in
Te reagents used were shown in Table II.
the erythrocytes of volunteers, from 1.08±0.2 UE/ml to
The Modification of Gastric Acid Secretion Produced by The Activation of Carbonic Anhydrase Ii and Iv Isoenzyme
33
Original articles
MEDICAL CONNECTIONS • NUMBER 2 (38) • JUNE 2015
2.16±0.38 UE/ml (Figure 1A). Also, the treatment with
Discussions
histamine, significantly increase the gastric acid secretion
from 2.56±1.12 mEq/h to 11.23±2.08 mEq/h (Figure
Our study proves that histamine, pentagastrin and
2A).
acetylcholine significantly increase erythrocyte CA II
In group II, pentagastrin administration
activity concurrently with increasing GAS. Erythrocyte
significantly increased enzymatic activity of carbonic
CA II activity determination, in our study, is a non-
anhydrase II from erythrocytes in volunteers, from
invasive way of exploration of gastric CA IV activity,
0.97±017 UE/ml to 1.89±0.25 UE/ml (Figure 1B).
earlier research showing that all secretagogue of gastric
Also, the treatment with pentagastrin, significantly
acid secretion are potent activators of RBCs CA II,
increase the gastric acid secretion from
3.21±1.23
which correlate directly with increased activity of CA IV
mEq/h to 8.37±1.91 mEq/h (Figure 2B).
of gastric mucosa and gastric acid secretion. Te dual
In group III, acetylcholine administration
action of major secretagogue on parietal cell membrane
significantly increased enzymatic activity of carbonic
looms this way: the first well known mechanism, which
anhydrase II from erythrocytes in volunteers, from
is the action of stimulus on its specific cell membrane
1.14±0.23 UE/ml to 1.63±0.18 UE/ml (Figure 1C).
receptor, forming complex stimulus-receiver; the second
Also, the treatment with acetylcholine, significantly
mechanism comes to complete the first. Trough this
increase the gastric acid secretion from
2.84±0.97
second component of the mechanism, the same stimulus
mEq/h to 6.79±1.45 mEq/h (Figure 2C).
is targeted directly to CA IV isozyme, which is located
A
B
C
Figure 1. Te enzymatic activity of carbonic anhydrase II recorded before and after treatment with A. histamine, B.
pentagastrin and C. acetylcholine. 1A: the chart of the increase in the red blood cell activity (RBCs) CA II after administration
of the single dose of histamine 0.04 mg/kg-bw. Te activity values of RBCs CA II varies statistically significant (p 0.0009)
before and after the treatment (paired-t test); N=30 patients. 1B: the chart of the growth in the RBCs CA II after subcutaneous
administration of the single dose of 0.5 mg pentagastrin. Te values activity of RBCs CA II varies statistically significant
(p=0.0385) before and after the treatment (paired-t test); N=31 patients. 1C: the chart of the growth in the RBCs CA II after
administration of the single dose of acetylcholine 150mg/kg-bw. Te values activity of RBCs CA II varies statistically significant
(p=0.0009) before and after the treatment (paired-t test); N=35 patients
34
Vlad et al
MEDICAL CONNECTIONS • NUMBER 2 (38) • JUNE 2015
Original articles
A
B
C
Figure 2. Te gastric hydrochloric acid debit recorded before and after treatment with A. histamine, B. pentagastrin and C.
acetylcholine. 2A: significantly statistical growth chart (p=0.0013) of gastric acid secretion stimulated with histamine 0.04/
kg-bw compared to unstimulated gastric acid secretion (N=30). 2B: significantly statistical growth chart (p=0.0186) of gastric
acid secretion stimulated with 0.5 mg subcutaneous pentagastrin compared to unstimulated gastric acid secretion (N=31). 2C:
significantly statistical growth chart (p=0.0261) of gastric acid secretion stimulated with acetylcholine 150mg/kg-bw compared
to unstimulated gastric acid secretion (N=35)
on the whole surface of the parietal cell membrane, thus
resulting in changes in pH. Increasing the pH has
CA activation enables a proper pH for coupling
consequences related to stimulus-receiver, on signal
stimulus-receiver (in our case histamine, pentagastrin
transmission over the cell and gastric acid secretion
and acetylcholine with each of their specific receptors),
reduction.
for transmitting the signal to the cell, resulting the
A proof of the involvement of parietal cell
elevation of gastric acid secretion.
membrane CA IV in GAS is that all isozyme activators
Te RBCs CA II determination was preferred
increase the production of HCl and all his inhibitors are
because of the fastness and minimally invasive option to
decreasing it. Data suggest that the existence of
determine its activity, comparative to determining
functional connections between CA IV and histamine,
parietal gastric cell CA IV activity after taking biopsy
gastrin and acetylcholine receptors, respectively between
from gastric mucosa.
CA IV and receptors of somatostatine, calcitonin, and
Te results prove the same dual mechanism for all
prostaglandins located on parietal cell membranes.
the major inhibitors of GAS. In this way, somatostatine,
Gastric acid secretion is the result of biochemical
calcitonin, prostaglandins, substituted benzimidazol
processes that involve a stimulation of gastric parietal
(omeprasol, lansoprasol, pantoprasol) is designed for
cell through endocrine mechanism (gastrin), paracrine
both their specific receptors with which they are
(histamine) and neuroendocrine (acetylcholine) which
coupling, and for membrane CA IV which is
results in the ion of H+ which couples in the gastric
functionally coupled with these receptors [13,15,16],
lumen with Cl- resulting HCl. Till now two theories
The Modification of Gastric Acid Secretion Produced by The Activation of Carbonic Anhydrase Ii and Iv Isoenzyme
35
Original articles
MEDICAL CONNECTIONS • NUMBER 2 (38) • JUNE 2015
have been formulated over the release of the ion H+: the
CA IV in parietal cell membrane produced by three
theory of Code that considers histamine as being the
secretagogue, as well as the lack of the activator effect on
final joint mediator of the three stomach secretory
the same kidney isozyme shows a specificity of organ for
stimuli and theory of Grossman & Konturek or the
CA IV [8]. Terefore these results prove the involvement
theory of receptors - which states that all the three
of the membrane CA IV in the process of HCl
secretagogue directly stimulate the parietal cell and
formation, respectively the stimulus of the gastric acid
enhances the effect of each other [8]. Previous studies in
secretion-histamin, gastrin and acetylcholine are
vitro and in vivo have shown that histamine, gastrin and
increasing the activity of cytosol CA II and parietal cell
acetylcholine stimulate the activity of gastric CA IV
membrane CA IV by direct mechanism of action, both
through direct relationship of dose-response type [9,17].
in vitro and in vivo studies. Activation of CA II and CA
An important point of researches was the discovery, in
IV isozyme is drafting with increase GAS.
1978, that histamine is a direct strong activator of CA
from gastric mucosa and red blood cell [18,19].
Conclusions
Te theory of Pușcaș [8-10] comes to complete the
two theories set out so far, namely: Code theory who
Te results of our study show that all secretagogue
consider histamine as being the final joint mediator
of gastric acid secretion are potent activators of red
implicated in GAS - according to this theory both
blood cell CA II, enzyme that reflects the activity of the
gastrin and acetylcholine would release by stimulating
same enzyme from gastric mucosa. Te activator effect
enterocromafine cells, histamine, which in turn would
on carbonic anhydrase occurs in parallel with the
initiate the formation of HCl by coupling itself with H2
increasing flow of hydrochloric acid in stomach. Tese
receptors of parietal cells); receptors theory formulated
data show direct correlation between the activator effect
by Grossman and Konturek [20], which postulated that
on carbonic anhydrase and the stimulation of gastric
H2 specific receptors from parietal cellular membrane,
acid secretion. Te stronger the effect of activation of
gastrin and acetylcholine receptors couple with all the
carbonic anhydrase, the stronger the simulation of
major stimulus of GAS, respectively histamine, gastrin
gastric acid secretion. Te results lead to the conclusion
and acetylcholine [8,21]. By coupling this stimulus-
of direct implication of carbonic anhydrase in the
receiver, the formation of HCl in parietal cell is initiated.
mechanism of gastric acid secretion.
According to pH theory, histamine, gastrin and
Conflict of interests: Te authors declare that they
acetylcholine have a dual effect on gastric parietal cell:
have no conflict of interests.
the first that is binding their specific receptors and
second, activating the CA IV [10]. Te results suggested
that activation of CA IV through the release of CA IV
References
produces essential pH changes for binding histamine,
gastrin and acetylcholine to their specific membrane
1. Hewett-Emmett D. Evolution and distribution of the
receptors. In this case, histamine- the final common
carbonic anhydrase gene families. In: Te Carbonic
path according to Code theory or the theory of the three
Anhydrases
- New Horizons. Chegwidden W.R.,
receptors issued by Grossman-Konturek, have CA IV
Edwards Y, Carter N, eds., Birkhauser Verlag, Basel,
from parietal cell membrane as a common element,
2000:29-78.
according to pH theory. Tis dual concept on the
2. Supuran CT. Carbonic anhydrases: novel therapeutic
transmission of the signals in the cell is valid, according
applications for inhibitors and activators. Nat Rev
to the same results, in all secretive, vascular and renal
Drug Discov 2008;7(2):168-81.
system [9]. In 1978 an important point of the researches
3. Supuran CT, Scozzafava A. Activation of carbonic
on the mechanism of GAS was the discovery that
anhydrase isozymes. EXS 2000;(90):197-219.
histamine is a strong and direct activator of CA from
4. Lindskog S, Silverman DN. Te catalytic mechanism
gastric and red blood cell as well as of purified CA [8].
of
mammalian carbonic anhydrases.
EXS
Further research carried out had shown that
2000,(90):175-95.
activation of CA by direct mechanism of action occurs
5. Supuran CT, Manole G, Manzatu I. Carbonic
not only through histamine but also through the gastrin
anhydrase inhibitors.12. Lanthanide complexes with
[13]. Moreover, recent studies carried out by X-ray
acetazolamide as dual inhibitors. Rev Roum Chim
crystallography and spectroscopic studies have
1992;37:739-44.
confirmed the direct activator effect of histamine on CA
6. Pușcaș I, Supuran CT. Carbonic anhydrase is an
described with over 20 years ago [7]. Te activation of
important physiological modulator. Te pH Teory. In:
36
Vlad et al
MEDICAL CONNECTIONS • NUMBER 2 (38) • JUNE 2015
Original articles
Carbonic Anhydrase and Modulation of Physiologic and
14.
Khalifah RG. Te carbon dioxide hydration activity of
Pathologic Processes in the Organism. Helicon Publ.
carbonic anhydrase. I. Stop-flow kinetic studies on the
House, Timișoara, România, 1994:147-96.
native human isoenzymes B and C. J Biol Chem
7.
Briganti F, Mangani S, Orioli P, Scozzafava A,
1971;246(8):2561-73.
Vernaglione G, Supuran C.T. Carbonic Anhydrase
15.
Pușcaș I, Coltau M. Prostaglandins with vasodilating
Activators: X-ray Crystallographic and Spectroscopic
effects inhibit carbonic anhydrase while vasoconstrictive
Investigations for the Interaction of Isozymes I and II
prostaglandins and leukotriens B4 and C4 increase CA
with Histamine. Biochemistry 1997;36:10384-92.
activity. Int J Clin Pharmacol Ter 1995;33(3):176-
8.
Pușcaș I. Carbonic Anhydrase and Modulation of
81.
Physiologic and Pathologic Processes in the Organism.
16.
Lindstrom E, Chen E, Norlen P, Anderson K. Control of
Helicon Publ. House, Timișoara, România, 1994:394.
gastric acid secretion: the gastrin-ECL cell-parietal cell axis,
9.
Pușcaș I. Carbonic Anhydrase is a modulator of
In: Comparative Biochemistry and Physiology Part A:
vasculary and secretory processes in the organism. Te
Molecular& Integrative Physiology. 2001;128(3):503-11.
pH theory. Digestion 1998;59 (supl. 3):671.
17.
Pușcaș I, Coltau M. Carbonic anhydrase activators.
10.
Puşcaş I, Chiu A, Buzaş G, Voicu L, Contrasiu P,
Part.10: Kinetic studies of isozyme II activation with
Mihalaş G, et al. Elucidation of the mechanism of
pentagastrin. Rev Roum Chim 1996;41(1-2):159-63.
gastric acid secretion. Rev Med Interna Neurol Psihiatr
18.
Pușcaș I, Buzas G. Te role of carbonic anhydrase in
Neurochir
Dermatovenerol
Med Interna
gastric acid secretion. Carbonic anhydrase activators and
1980;32(3):233-47.
inhibitors. In: Progress in the pathophysiology and
11.
Robert A, Lancaster C, Davis JP, Kolbasa KP, Nezamis
treatment of gastric and duodenal ulcers. Roum Acad
JE. Ulcer formation and cytoprotection by acetazolamide.
Ed 1990,44-75.
Eur J Pharmacol 1985,118(3):193-201.
19.
Pușcaș I, Supuran CT, Coltau M, Puscas C. Carbonic
12.
Puşcaş I. Treatment of gastroduodenal ulcers with
anhydrase activators. Part.9. Kinetic parameters for
carbonic anhydrase inhibitors. Ann N Y Acad Sci
isozyme II activation by histamine prove a noncompetitive
1984;429:587-91.
type of interaction. Rev Roum 1994;39:115-9.
13.
Pușcaș I, Coltau M, Baican M, Domuta G.
20.
Konturek SJ, Grossman MI. Localization of the
Omeprazole has a dual mechanism of action: it inhibits
mechanism for inhibition of gastric secretion by acid in
H (+) K (+) ATPase and gastric mucosa carbonic
the intestine. Gastroenterology 1965;49:74-8.
anhydrase enzyme in humans (in vitro and in vivo
21.
Waldum HL, Sandvik AK, Brenna E, Petersen H.
experiments). J Pharmacol Exp Ter 1999,290(2):530-
Gastrin-histamine sequence in the regulation of gastric
4.
acid secretion. Gut 1991;32(6):698-701.
The Modification of Gastric Acid Secretion Produced by The Activation of Carbonic Anhydrase Ii and Iv Isoenzyme
37
Former House of Industries, on Stefan cel Mare Street (formerly Kazinczy), Satu Mare
(Fosta Casă a Industriilor de pe strada Ștefan cel Mare - cândva Kazinczy -, Satu Mare)
Liberty Place, Satu Mare, ”Corso”
(Satu Mare, Piața Libertății, „Corso”)
Original articles
STUDY OF THE ELECTRO-PHYSIOLOGICAL PARAMETERS IN
CERVICAL SPONDYLOSIS
Cecilia Avram1, Alexandru Pop2, Daniela Motoc1, Daniel Raducan1, Irina Alic Orasan3, Ramona
Burlacu1
1Department of Physiology, ”Vasile Goldiș” Western University Arad, 2Department of Orthopaedics and Traumatology,
”Vasile Goldiș” Western University Arad, 3Department of Pharmacology, ”Vasile Goldiș” Western University Arad
Address for correspondence:
Dr. Avram Cecilia Roberta
Str.Ștefan Augustin Doinaș nr. 47, bl. L4, Sc. A, Arad, Romania
E-mail: avramcici02@yahoo.com
Received: 01.06.2015
Accepted: 25.06.2015
Med Con June 2015 Vol 10, No 2, 39-44
Abstract
explorations that give us the possibility for objective
delimitation between healthy and diseased.
Spondylosis is nowadays considered a disease of the
Keywords:
spondylosis,
electromyography,
whole organism, conditioned by morpho-pathological
neurological pathology, hemiparesis
alterations, that must be dynamically interpreted and
which expressed itself through particular manifestations
Introduction
at spine level. Electromyography (EMG) is a diagnosis
instrument assessing muscular or nervous alteration.
Te affections of the spine may occur at various levels
Te purpose of the study is to prove that the diagnosis
of the spine: cervical (C1 to C7), dorsal (T1 to T12),
of the cervical spondylosis is not done only through
lumbar (L1 to L5) and sacral. Te most common is the
radiology, but also through electromyography. Te
cervical spondylosis, a degenerative affection of the vertebrae
study group contains 71 people. Surface global EMG
and of the intervertebral discs. Clinically it manifests itself
recordings were performed to all the patients studied,
through pains in the neck and shoulders area, associated or
from the dorsal muscles of the neck, trapezius muscle
not to neurological symptoms due to nerve compressions.
respectively. After the gross EMG is input in the
Te occurrence of the conditions of the spine may be
computer, by its mathematical processing have resulted
precipitated by traumas of the spine, incorrect positions of
11 parameters. Very high differences are noticed between
the spine during certain activities, carrying heavy weight,
the values of the parameters, especially of those regarding
osteoporosis, kyphosis, scolyosis, etc [1]. In time, these may
the time, between the subjects with one side or both
lead to herniated disk, sciatica, spinal stenosis and
sides pathology subjects and the control
(healthy)
spondylosis. If the articulations of the spine tend to swell,
subjects or the ones with neurological pathology. In the
then ankylosing Spondylitis may occur [2].
performed study we have noticed that the female gender
Spondylosis is nowadays considered a disease of the
is prevailing, with 2/3 of the subjects, even though as it
whole organism, conditioned by morpho-pathological
results from literature, spondylosis prevails on men,
alterations, that must be dynamically interpreted and
women being partially protected hormonally. We
which expressed itself through particular manifestations
consider that EMGS by us recorded are objective
at spine level [3].
Study of the Electro-Physiological Parameters in Cervical Spondylosis
39
Original articles
MEDICAL CONNECTIONS • NUMBER 2 (38) • JUNE 2015
Te illness, with its bone and articulation local
hemiparesis or brachial plexus paresis. It contains
16
alterations may be constituted through the influence of
patients, 6 males and 10 females, with the average age 53
the preconditioning and favouring causes, holding itself
years old for men, 56.2 years old for women. In this
hidden, condition that can last for a long time, staying
group 32 surface global EMG recording were performed.
unobserved by the patient and sometimes randomly
Te control group, healthy subjects, is composed
discovered, when making a radiography for something
out of 18 subjects, 15 women and 3 men, averagely
else [4].
aged 40.33 years old for men, 36.26 years old for
Tere is a frequent, well known discordance
women, respectively. In this group 18 surface global
between the radiological and clinical aspects, explained
EMG recording were performed.
through the body’s adjustment mechanisms to the
Te group of patients with subjective conditions,
presence of the lesion.
according to personal statements, composed out of 16
Te important radio-imagistic alterations may be
patients, 13 women and 3 men, averagely aged 40.5
observed in cases with minor clinical disorders and, on
years old on men, 47.5 years old on women). Possibly
the contrary, severe clinical phenomena may be present
that some of them have had one diseased part exclusively
without the cardiograph showing any bone or
or almost exclusively unilateral, but they have stated
articulation abnormality [5].
that their suffering is on both sides. In this group 32
Electromyography (EMG) is a diagnosis instrument
surface global EMG recording were performed.
assessing muscular or nervous alteration. It uses surface
Te group of patients with cervical spondylosis, one
electrodes to assess the capacity of the motor neurons to
sided
(the diseased side) and
(the healthy side) is
transmit electrical signals and needle electrodes to assess
composed out of 21 patients, 13 men and 8 women. In
the muscular activity at rest and in contraction.
this group, on the diseased side 42 surface global EMG
Electromyography EMGs represents the recording of
recording were performed and 21 surface global EMG
the action potentials generated by the muscular fibres, at
recording were performed on the healthy side.
rest (when spontaneous potentials occur, in pathology),
We should notice that in this group with obvious
in muscular voluntary contraction and possibly after the
rheumatic pathology the male gender prevails. Tey are
direct or indirect stimulation of the muscle, of the
the most important to our research, because on the same
nervous fibres innervating the said muscle. EMGs is
individual we were able to find the obvious differences
important in physiology and in labour medicine, or in
between the diseased and the healthy side on the EMGS
recovery and psycho-physiology, to detect which muscle
recordings.
groups are trained in a certain activity, physical effort,
Electromyography with surface global method may
sport or work (running, getting up, throwing something,
be better than the unitary one, the one through which
jump etc) [6,7,8].
only motor unit potentials (PUM) may be gathered,
In this project we have used global surface EMG
from a limited area around the needle and not from the
recordings. We did not use the invasive method, through
entire
(or a great part of the) muscle; through the
the needle electrodes Adrian Bronk, because it is unethical
invasive method the precise morphology of the activity
to use healthy subjects for an unnecessary examination.
PUM if obtained, of one or some of the motor units
Te purpose of the study is to prove that the
recruited in weak contraction, present around the tip of
diagnosis of the cervical spondylosis is not done only
the needle [9,10].
through radiology, but also through electromyography
Recording technique of the global EMG (EMGS)
(EMG). Tis highlights the compression of a root of the
Surface global EMG recordings were performed to
cervical spine, allowing the deceleration of some
all the patients studied (EMGS), from the dorsal muscles
irritative potentials, even in neurologically asymptomatic
of the neck, trapezius muscle
(musculus trapezius)
forms. Te method has a special value in identifying the
respectively. For this, on the equidistant trapezius muscle,
position of the lesion.
between the spines of the cervical vertebrae and acromion,
or a bit closer to the vertebrae were placed two chlorinated
Materials and Methods
silver electrodes, of rectangular shape, each with a surface
of about 0.5 cm2, being fixed on a plastic plate (so that all
Te study group contains
71 people. Te sex
recording conditions are identical on all subjects) namely
repartition is
25 males
(35.22%) and
46 females
the distance between the electrodes, which was of about 1
(64.78%).
cm [11].
Te group of patients with neurological pathology is
Te mass electrode was placed on the forearm. Prior
represented by patients suffering from mild or medium
to placing the electrodes, the teguments were degreased
40
Avram et al
MEDICAL CONNECTIONS • NUMBER 2 (38) • JUNE 2015
Original articles
with a mix of alcohol-ether in equal parts, then on the
• number of passes through zero (NTZ, measured
electrodes a n electricity conducting paste was applied,
in Hz),
isotone, after which the electrodes were placed on the
• average frequency (Fav, measured in Hz),
skin in the degreased area. Te plastic plate on which
• median frequency (Fmed, measured in Hz),
the electrodes were placed was fixed on the skin with
• maximum power density (Smax, measured in
bandage tapes [11].
mV2/ms),
Successive recordings of some maximal contractions
• frequency on which the maximum power
were made, first on the left side, then on the right side.
density occur (Fsmax, measured in Hz).
During the recording, the subject makes a maximal
Te order of the 11 parameters is the one the
contraction of the said muscle group, for a few dozen
computer automatically displays on two successive screens
seconds, where the global EMGS gained is stored on a
and it is not the order we will further use. Te computer
computer.
processed fragments of EMG with the length of 410 ms,
Te biological potentials resulted from the skin
every 5 seconds, so it processed EMG on 410 ms, then
above the contracting muscle were biologically amplified
making a break of 4590 milliseconds, and then restarted
for EMG, which was regulated at a time constant (the
the cycle. Processing 410 ms every second (so 410 ms
filter goes up) of 100 ms (approximately 0,ls) and the
processed, 510 ms break, not processed) due to the fact
high frequency filter (the filter goes down) to 20 KHz.
that the acquisition on very short time lengths EMGS
Te patients sat comfortably on the chair in
compelled us to process 410 ms every second. Te 11
conditions of thermal comfort, dimness, no noise, no
parameters plus a standard deviation that we did not
physical stress, no alcohol or medicine consumption in
used, were displayed on a first screen together with 2
the previous hours, which could have affected the
trails, EMG - 7 of them, and on the second screen,
muscular activity; no hunger or thirst sensation. Te
together with the frequency spectre got through fast
recordings were practically made at the same time of day
Fourier transformed analysis (F.F.T.) - other 4 parameters.
(12-13 hours), in order to also respect equal conditions
Te calculation program also made a tracking of the
as far as the circadian rhythm is concerned. As it was
progress in time of the 11 EMG parameters on other two
previously shown, it was taken care that the control
screens for the first 7 parameters and then for the next 4
group is equally aged as the groups of registered diseased
parameters. Te charts with the progress in time of the
individuals, although this was not entirely successful.
parameters are necessary for the long analysis of an EMGS
Equipment used
until the settlement of the total fatigue. We have only
For the recording and digital processing of EMGS a
recorded, in our project, a few dozen seconds EMGS
MEDICOR electromyography device was used, type
during a maximal voluntary contraction, which did not
MG440 with 4 channels. EMG such amplified was
require the tracing in time of the parameters progress.
achieved with an acquisition sound board, standard for
Te values of the surface EMG parameters from the
all modern computers. It sampled EMG with 2.500
control groups, both sides and with neurological
samples per second. Ten the same board made the
pathologies are average values right-left. Te value of each
analogue/digital conversion on 12 bits, and the EMG
right parameter was summed to the one on the left and
thus digitalized was inserted in a computer. Te EMG
then their mean was calculated. It is normal, on the 3
got by the computer was processed by a program
mentioned control groups, both sides and with
originally dedicated to an EMG automatic analysis.
neurological pathology, due to the fact that there was
After the gross EMG is input in the computer, by its
nothing on the side, so that on both sides we have similar
mathematical processing have resulted 11 parameters:
values, which entitled us to calculate the means of the
• maximum amplitude (Amax, measured in mV),
right + left values. Only the data of the patients with one
• recovered average value of the signal (VMR,
side pathology were differently processed. No further
measured in mV),
mean right + left was made, but the recordings from the
• square average value of the signal
(RMS,
diseased part were separated from the ones on the healthy
measured in mV),
side. Tus we got two groups of distinct values, practically
• integral of the recovered signal (ISR, measured
two separated groups of values, even if they derived from
in mV ms),
the same group of patients, namely the group with one
• average area /average amplitude (Raa, measured
sided pathology. To be noticed that the calculation
in ms),
program being perfect, it gets values of the parameters
• number of turning points (NPI, measured in
strictly identical on both PC channels, which of course
Hz),
parallel processes the same EMGS of 410ms.
Study of the Electro-Physiological Parameters in Cervical Spondylosis
41
Original articles
MEDICAL CONNECTIONS • NUMBER 2 (38) • JUNE 2015
Statistical processing
As for the frequency parameters, we notice that the
Te gross values obtained were processed first
EMGS harvested from the sick side of the subjects with
calculating the mean, standard deviation, maximum
one side pathology has the median frequency sensitively
and minimum value of the string of values and the
lower, next there is the group with neurological pathology
percentage variation factors. With the values of the
and the healthy side and the ones with bilateral pathology
mean and of the standard deviation significance tests
have practically identical values. Regarding Fsmax,
were performed, to see if the differences between the
paradoxically the lowest values is for the healthy part of
strings of values are or are nor statistically secured. Te
the group with one side pathology, then on the sick side,
significance was secured either by the Kruskal-Wallis or
but with relevantly lower values than the control group.
the Wilkinson test (for strings of abnormal, non Gauss
Te number of turning point (Npi) is, similarly to the
values), or through the t-student test (for strings of
median or average frequency, the lowest for those with
values normal Gauss). Subsequently the correlation “r“
one side pathology, sick part. Te number of passes
factors were determined by the Pearson formula,
through zero (Ntz) is lower for the sick part, but is pretty
between all 11 parameters obtained through the global
low in the healthy part as well.
EMG recording plus the age parameter [12].
As far as the average amplitude/ average area ratio is
concerned (Raa), especially the sick side, but somehow
Results
also the healthy part have greater values than the control
group. Raa is a parameter that as the fatigue is installed
Table I presents the average values of the
11th
increases its value, while all the other
10
electrophysiological parameters studied on the neck
electrophysiological parameters decrease. So, an increase
dorsal muscles, namely the trapezius
(musculus
of Raa in the sick part is in consensus to the decrease of
trapezius) in the studied groups of patients.
all the other mentioned parameters.
Very high differences are noticed between the values
of the parameters, especially of those regarding the time,
Discussions
between the subjects with one side or both sides
pathology subjects and the control (healthy) subjects or
In the performed study we have noticed that the
the ones with neurological pathology.
female gender is prevailing, with 2/3 of the subjects,
Table I. Average values of the electrophysiological parameters studied on the neck dorsal muscles,
namely the trapezius in the studied groups of patients
Conŧrol
Bilat
Unilat SickHealthy
Neuro
side side
Nr MeanDev.
Std.C.V.%NrMean
Std.C.V.%NrMean
Std.C.V.%Mean
Std.C.V.%NrMean
Std.C.V.%
Fmed
18
170.31
28.57
16.98
16
169.2
29.24
17.38
21
143.12
31.11
21.73
160.9
67.90
42.46
16
147,79 37.68 25.51
Fav
18
205.13
37.40
18.38
16
200.17
37.89
18.92
21
190.12
48.19
25.26
207.9
87.50
42.30
16
201.73 57.21 28.25
Fsmax
18
149.52
35.81
24.12
16
146.80
35.89
25.45
21
220.20
24.73
11.26 246.81 32.97
13.50
16
142.94 41.74 29.30
NPI
18
243.97
30.61
12.66
16
235.67
38.79
17.45
21
0.506
0.159
31.06
0.271
0.5
111.57
16
241.97 28.38 11.78
NTZ
18
150.08
24.57
16.60
16
156.6
33.28
22.37
21
0.389
0.133
33.95
0.159
0.106
66.10
16
143.78 23.66 16.43
Raa
18
1.894
0.269
14.91
16
1.81
0.280
15.60
21
27.48
17.99
65.61
4.97
5.9
105.10
16
1.881
0.353
18.68
Amax
18
2.9
0.97
36.18
16
3.40
1.60
46.31
21
134.08
20.08
14.96 139.46 21.34
15.16
16
2.3
1.27
59.56
RMS
18
0.37
0.127
36.71
16
0.47
0.197
43.57
21
3.81
1.21
32.20
1.56
1.17
72.40
16
0.275
0.185
66.91
VMR
18
0.270
0.104
38.82
16
0.327
0.157
47.71
21
2.11
0.346
17.99
1.99
0.293
14.98
16
0.227
0.140
61.77
ISR
18
100.70
38.67
39.31
16
133.70
59.09
44.26
21
159
48.79
31.87
60.35
38.39
63.69
16
85.71
52.69
61.55
Smax
18
11.9
8.80
75.61
16
21.51
18.79
87.34
21
127.55
40.24
32.53 113.98 38.68
34.92
16
8.7
7.9
93.99
Age
18
36.96
12
31.77
16
46.5
12.37
27.78
21
51.16
12.15
24.76
51.10
12.15
24.76
16
56
14.96
28.02
42
Avram et al
MEDICAL CONNECTIONS • NUMBER 2 (38) • JUNE 2015
Original articles
even though as it results from literature, spondylosis
reactions, subjective sensations, we are compelled to
prevails on men, women being partially protected
limit to these statements, to take them as real, because
hormonally.
they did not show obvious objective signs of
Te analysis of the distribution per decades of age,
delimitation.
for all the subjects of the whole group indicates a
We consider that only EMGS by us recorded are
predominance of the average ages (the two decades 40-
objective explorations that give us the possibility for
50 and 50-59 years old), young ages and the very high
objective delimitation between healthy and diseased.
ones are represented by a lower number of cases.
Although, with all these mild imperfections, EMGS
Smax is the most sensitive parameter, which
proves itself a valuable indicator of the cervical
indicates the most ample alterations when fatigue is set,
spondylosis pathology.
of the difference between men and women, between
youth and elders, sports people and untrained ones,
between the right hand and the left hand [13,14]. We
References
may notice important alterations found strictly on the
time parameters and among them, the greatest being on
1.
Ramani PS. Textbook of Cervical Spondylosis. Jaypee
Smax. All these time parameters have increased values,
Brothers Medical Publishers (P) Ltd., 2004.
some several times greater than normal (control). Te
2.
Yarbrough CK, Murphy RK, Ray WZ, Stewart TJ.
frequency parameters indicate small differences and in
Te natural history and clinical presentation of cervical
most of the cases, their values are somehow lower (but
spondylotic
myelopathy.
AdvOrthop
with only some percentages related to the control
2012;2012:480643.
group), in the sick part of the unilateral group and of
3.
Matache IG. Spondilozacervicală, EdituraMedicală,
the bilateral group.
București, 1970.
As for the age the age differences, the control group
4.
Epstein N. Posterior approaches in the management
is noticed with the lowest average age, under 40 years,
of cervical spondylosis and ossification of the posterior
the one with bilateral pathology of almost 50 years, the
longitudinal ligament. Surg Neurol.
2002 ;58(3-
one with unilateral pathology, a little over 50 years, the
4):194-207.
one with neurological pathology with a few years older,
5.
Caruso G, Eisen A, Stålberg E, et al. Clinical EMG
being the oldest group. In theory, the bilateral pathology
and glossary of terms most commonly used by clinical
group should have perfectly calk on the values of the
electromyographers. Te International Federation of
sick side of the group with unilateral pathology. On the
Clinical Neurophysiology, Elctroencephalography
other hand, the healthy part of the group with unilateral
and clinical Neurophysiology 52(Suppl):189-98.
pathology should have exactly calk on the values of the
6.
Arseni C, Panoza G. Patologievertebro-cervicală. Ed.
control group (of the group with healthy subjects). Te
Didactică și Pedagogică, București, 1981.
alterations are, in these respects, but not strictly
7.
Ono K, Dvořák J, Edward Joseph Dunn E J. Cervical
identical, between the healthy part and the control
Spondylosis and Similar Disorders
(1st Edition),
group, between the sick part and the bilateral group.
Hardcover,1997.
Te differences are probably due, in the case of the
8.
Neştianu V, Tărâţă M, Bălşianu F. A new method for
patients with bilateral pathology, to the fact that the
quantitative
analysis
of
myoelectric
spikes
values of the parameters obtained are mostly intermediary
synchronization.
Neurol
Psychiatr
(Bucur)
between the control group, the healthy group, and the
1981;19(4):283-8.
sick part of the group with unilateral pathology. For the
9.
Khan MR, McInnes A, Hughes SP. Electrophysiological
patients with unilateral pathology the differences are
studies in cervical spondylosis. J Spinal Disord
possibly due to the fact that some of them could have also
1989;2(3):163-9.
had a mild pathology in the opposite side, which they did
10.
Dimitrova N, Dimitrov G. Distance-dependent effects
not express, not considering it important. Withal, we are
of anatomicul and physiological parameters on EMG
not sure that the control group of subjects considered
signals, in Hermes, HJ, Merletti R, Freriks B. (Eds.),
healthy by us, made out of patients admitted in the
European Activities on Surface Electro Myography,
Neurology Clinic, but without pathology at the upper
Proceedings of the first general SENIAM workshop,
limbs and in the cervical area, were absolutely unworthy
Torino, Italy,
1996, Roessing Research and
considering the cervical spondylosis.
Development.
As the separation of patients in the groups shown
11.
Godaux E. Electromyographie-Semeiologie
et
was made only based on oral statements, on certain
physiopathologie. Masson, Paris, 1989;298-300.
Study of the Electro-Physiological Parameters in Cervical Spondylosis
43
Original articles
MEDICAL CONNECTIONS • NUMBER 2 (38) • JUNE 2015
12. Rao RD, Currier BL, Albert TJ, Bono CM, Marawar
13. Cepoi V. Osteoartroza intervertebrală. Curierul
SV, Poelstra KA, Eck JC. Degenerative cervical
Medical 1999;7-9,43-47.
spondylosis: clinical syndromes, pathogenesis, and
14. IoanMiron. Importanţa corelării electromiogramei
management. J Bone Joint Surg Am 2007;89:1360-
(emg) cu mecanograma în kinetoterapie. Analele UVT-
78.
Seria EFS 2005;7.
44
Avram et al
GENERAL REVIEW
DRUG REPURPOSING: SOME EXAMPLES FOR NEW APPLICATIONS
OF KNOWN DRUGS
Golan Bubis1, Carmen Neagu2, Edward Ram3, Lea Rath Wolfson4
1Faculty of Biology, the Hebrew University, Jerusalem, Israel, 2Clermont Treatment Base, Covasna, Romania, 3Departments
of Surgery and 4Pathology, Hasharon Hospital, Petah-Tikva, affiliated to the Faculty of Medicine, Tel Aviv University,
Israel
Address for correspondence:
Golan Bubis
Email: bubisgolan@gmail.com
Received: 25.05.2015
Accepted: 15.06.2015
Med Con June 2015 Vol 10, No 2, 45-47
Abstract
repositioned drug has already passed a number of
toxicity and other tests, its safety is known and the risk
Drug repurposing is the application of a drug
of failure for reasons of adverse toxicology are reduced.
developed for one disease, for the treatment of another
Many drugs fail during development and this is the
disease. It has the advantages over traditional drug
most significant reason for the high costs of
development by bypassing toxicity tests (which were
pharmaceutical research and development (R&D). In
already done for the older indication) therefore there is a
addition, repurposed drugs can bypass much of the early
lower failure rate during development, it is less expensive
cost and time needed to bring a drug to market.
and has a shorter time to bring the drug to the market.
An analysis of 68 drugs estimated that it takes in
We present a short history of the discovery of new
average 15 years and 800 million dollars to bring a
indications for the following drugs: Colchicine for
single drug to the market [2]. In comparison, time to
familial Mediterranean fever, Difflusinal for familial
market for repositioned drugs could be as short as three
amyloid neuropathy, Talidomide for leprosy and
to seven years and cost just 8.4 million dollars to launch
multiple myeloma, Sildenafil for erectile dysfunction
a repositioned one. Failure rates for a traditional drug
and Minoxidil for hair loss and baldness. In many of
entering phase II and phase III of clinical trials are at
these drugs the amount of marketed drugs for the new
about
90% and 50%, respectively, while the rates
indications has surpassed by far that for the old
decrease to 75% and 35% for repositioned drugs [3].
indications.
In May 2012, the National Center for Advancing
Keywords:
drug,
Colchicine,
Difflusinal,
Translational
Sciences
(NCATS) launched a
Talidomide, Sildenafil, Minoxidil, indication, repurposing
collaborative program that matches NIH-funded
researchers with a selection of pharmaceutical agents to
Drug repositioning, also known as Drug repurposing
help scientists explore new treatments for patients. Te
is the application of known drugs and compounds to new
Discovering New Terapeutic Uses for Existing
indications [1].
Molecules program aims to improve the complex and
A significant advantage of drug repositioning over
time-consuming process of developing new treatments
traditional drug development is that since the
and cures for disease by finding new uses for agents that
Drug Repurposing: Some Examples for New Applications of Known Drugs
45
GENERAL REVIEW
MEDICAL CONNECTIONS • NUMBER 2 (38) • JUNE 2015
already have been approved for other diseases. Tis
Historically, drug repositioning has come from
subject is so important that an international journal,
serendipitous discoveries in late stage clinical trials or
Drug Repurposing, Rescue, and Repositioning, is
post-approval. Te classic example is Sildenafil which
devoted for original research into the field of drug new
was designed by the drug company Pfizer for something
uses and innovations. Tere is also an “annual drug
that would relax the heart blood vessels and treat Angina
repositioning, repurposing and rescue conference”, the last
pectoris, however its trials in people were disappointing.
one was held in Chicago IL USA, May 27-28, 2015.
But the volunteers reported of lots of erections as an
One of the oldest repurposed drugs is Colchicine, a
unusual side effect [11]. Te drug was then repurposed
known anti-inflammatory and anti-Gout agent
[4],
to treat erectile dysfunction and had since helped
which was then applied for the treatment of familial
millions of men. Later the drug proved to be effective
Mediterranean fever
(FMF) [5]. FMF is a genetic
for pulmonary hypertension [12,13].
inflammatory disorder. Symptoms include attacks of
Minoxidil was developed as an antihypertensive
joint pain, abdominal pain and fever. Te main
drug and got FDA approval to treat high blood pressure.
complication is the deposition of Amyloid in tissues
In a study of its efficacy Chidsey et al noticed unexpected
especially the kidneys causing renal insufficiency. Like
hair growth on the faces and shoulders of some women
Gout, FMF is also an inflammatory disease affecting the
subjects. A male subject experienced hair growth on the
joints, therefore Colchicine treatment was tried on FMF
bald part of his head. Te growth was so noticeable that
patients and was found to prevent both the mentioned
his barber said “Boy, you better find out what you’re taking
attacks and the deposition of amyloid. Akar et al [6]
for your high blood pressure!” [14]. Many researches were
investigated
650 patients with FMF treated with
conducted on the best ways to use Minoxidil for hair
preventive colchicine and found that the overall patient
baldness and in 1988 the FDA finally approved it as an
survival rate was not significantly different from the age-
anti-baldness medication.
and sex-matched Turkish general population [6], while
In conclusion: developing a drug de novo is a lengthy
before the Colchicine era many young people died of
and costly venture. Drug repurposing is much more cost
FMF amyloidosis [7].
effective. Drug repositioning has opened up a new
A different type of amyloidosis; ATTR familial
source of revenue, thus, drug repurposing holds much
amyloid neuropathy, was recently treated by Difflusinal,
appeal and has the potential to accelerate the
a non-steroidal anti-inflammatory agent. After 2 years, a
development of drugs.
reduced rate of progression of neurological impairment
and preserved quality of life was found in the treatment
group as compared to the placebo group [8].
References
Another well-known drug that was repurposed is
Talidomide. Talidomide was first marketed in the late
1. Sleigh SH, Barton CL. Repurposing Strategies for
1950s as a sedative and was used for the treatment of
Terapeutics. Pharm Med 2010;24 (3):151-9.
nausea in pregnant women. Within a few years of the
2. Chong CR, Sullivan DJ Jr. New uses for old drugs.
widespread use of thalidomide in Europe, Australia, and
Nature 2007; 448(7154):645-6.
Japan, approximately 10,000 children were born with
3. Lawrence E. Drug Repositioning
- New Uses for
phocomelia (malformation of limbs) and other birth
Existing Drugs Save Time and oney. Rx Observer.com.
defects, leading in 1961 to the ban of thalidomide in
2014;5-29.
most countries. However in 1965 Professor Sheskin
4. Edward F. Hartung. History of the Use of Colchicum
reported the benefit of thalidomide in the treatment of
and related Medicaments in Gout. Ann Rheum Dis
leprosy [9,10], and in 1998, thalidomide was approved
1954;13(3):190-200.
by the US Food and Drug Administration for the
5. Goldfinger SE. Colchicine for familial Mediterranean
treatment of leprosy and, subsequently, for multiple
fever. N Engl J Med 1972;287(25):1302.
myeloma. Studies are ongoing to evaluate the
6. Akar S, Yuksel F, Tunca M, Soysal O, Solmaz D,
effectiveness of thalidomide in the treatment of other
Gerdan V, et al. Familial Mediterranean fever: risk
diseases. Talidomide inhibits angiogenesis and could
factors, causes of death, and prognosis in the colchicine
be used to treat human diseases that are dependent on
era. Medicine (Baltimore) 2012;91(3):131-6.
angiogenesis. Inhibition of angiogenesis is one of the
7. Berk JL, Suhr OB, Obici L, Sekijima Y, Zeldenrust
proposed mechanisms of action for thalidomide’s
SR, Yamashita T, et al. Repurposing Diflunisal for
teratogenic properties. So, even a drug that caused so
Familial Amyloid Polyneuropathy A Randomized
many tragedies could benefit other patients.
Clinical Trial. JAMA 2013;310(24):2658-67.
46
Bubis et al
MEDICAL CONNECTIONS • NUMBER 2 (38) • JUNE 2015
GENERAL REVIEW
8. Sheskin J. Talidomide in the treatment of lepra
hypertension and beyond. Nat Rev Drug Discov
reaction. Clin Pharmacol Ter 1965;6:303.
2006;5(8):689-702.
9. Sheskin J. Talidomide in lepra reaction. Int J
12. Rubin LJ, Badesch DB, Fleming TR, Galiè N,
Dermatol 1975;14(8):575-6.
Simonneau G, Ghofrani HA, et al. Long-term treatment
10. Kinnings SL, Liu N, Buchmeier N, Tonge PJ, Xie L,
with sildenafil citrate in pulmonary arterial hypertension:
Fink HA, et al. Sildenafil for male erectile dysfunction:
the SUPER-2 study group. Chest 2011;140(5):1274-83.
a systematic review and meta-analysis. Arch Intern
13. Gottlieb TB, Katz FH, Chidsey CA 3rd. Combined
Med 2002;162(12):1349-60.
therapy with vasodilator drugs and beta-adrenergic blockade
11. Ghofrani HA, Osterloh IH, Grimminger F. Sildenafil:
in hypertension. A comparative study of minoxidil and
From angina to erectile dysfunction to pulmonary
hydralazine. Circulation 1972;45(3):571-82.
Drug Repurposing: Some Examples for New Applications of Known Drugs
47
Te North Teatre was built in 1889 in a neoclassical style with one floor. Te façade is made up of three parts and the central
part is detached in a semicircular profile, with a dome type roof. Te entrance is supported by piles. Te windows of the façade are
arched and framed by decorative triangular gables. Te auditorium is decorated with details specific to the era and can hold up to
800 people. Te architects of the theatre were Voijta Adolf and Szikszay and the interior designers were Spanraft and Hirsch
(Teatrul de Nord a fost construit în 1889 în stil neoclasic, având un etaj. Fațada este realizată în trei registre, din care partea
centrală în profil semicircular, cu un acoperiş de tip cupolă. Intrarea este susţinută de patru stâlpi. Ferestrele fațadei sunt boltite
și au un ancadrament terminat în partea superioară cu frontoane triunghiulare decorative. Sala de spectacole este decorată cu
motive specifice epocii și poate cuprinde 800 de oameni. Arhitecţii au fost Voijta Adolf şi Szikszay, iar decoraţiile şi frescele
interioare au fost executate de Spanraft şi Hirsch)
Built in the years 1903-1904, the Firefighter’s Tower has an overall height of 45 m. Te entrance to the tower is through a
portal with triangular shape, with three boxes made out of four rods of stone, in which there were three texts on the year of the
tower’s construction. Above the circular balcony to the base of the decorative dome, the masonry of the tower has a thickness of
30 cm. Only through a metal spiral staircase can be access the platform of the circular balcony. Te decorative dome is made of
wood and sheet copper roof. Te old emblem of the city is located on top of the dome
(Construit între 1903-1004, Turnul pompierilor are o înălțime totală de 45 de metri. Intrarea în Turn se face printr-un
portal de formă triunghiulară, cu trei firide pătrate din piatră, în care sunt trei texte din anul construcției. Deasupra balconul
circular și până la baza domului decorativ, zidăria turnului are o grosime de 30 cm. Platforma balconului circular poate fi
accesată doar printr-o scară circulară interioară din metal. Domul decorativ este confecționat din lemn și are un acoperiș din
foi de cupru. Emblema veche a orașului este situată pe vârful domului)
GENERAL REVIEW
GENETIC MODULATION OF TGF-β IN OSTEOARTHRITIS
Claudiu Ilea¹, Dan Lucaciu²
¹Department of Orthopaedic Surgery, Sighetu-Marmației Municipal Hospital, ²Department of Orthopaedic Surgery,
“Iuliu Hațieganu” University of Medicine and Pharmacy, Cluj-Napoca, România
Address for correspondence:
Ilea Claudiu
Sighetu-Marmației Municipal Hospital
22 Avram Iancu Street,435500, Sighetu-Marmatiei, Romania
E-mail: cd_ilea@yahoo.com
Received: 01.05.2015
Accepted: 30.05.2015
Med Con June 2015 Vol 10, No 2, 49-52
Abstract
Osteoarthritis (OA) is a degenerative disease of the
synovial joint characterized by articular cartilage
Osteoarthritis (OA), a degenerative joint disease, is
thinning and loss which is often accompanied by
the most common form of arthritis in the erdely, cause of
alteration in the normal function of the other tissue of
major economical and social costs in the developed
the joint [1]. Osteoarthritis typically develops in the
countries. Tis is the complex disease caused by
fifth decade, being a major cause of morbidity, physical
enviromental (obezity, female gender, advanced age) and
limitation, and increased health wear, including total
genetics factors. In comparison with most other common
joint arthroplasty among the elderly. It is characterized
complex diseases, our knoweldge of the molecular genetic
by degradation of the articular cartilage, osteophyte
basis of OA was quite poor. In the latest years, a strong
formation, subchondral bone sclerosis, joint space
genetic contribution to primary OA has been observed in
narrowing and varying degrees of synovial inflammation.
several studies. It has been known for many years that
Joints typically affected include the hands, hips, knees,
transforming growth factor beta (TGF-β) signaling plays
first metatarso phalangeal joint and apophyseal joint of
a critical role in the homeostatic balance of articulated
the cervical and lumbar spine. OA can develop in an
joint tissue, and genes coding for proteins active in this
anatomically normal joint - primary OA - or in a joint
pathway have therefore been subjected to quite detailed
suffering from injury or developmental defects such as
genetics scrutiny. What is quite exciting is that many
congenital dislocation of the joint - secondary OA [2].
successes have been reported, and here we will focus on
Various factors including age, overweight, female
three of the more compelling finds: Asporin (ASPN),
sex, physical demands of occupation and abnormal
Growth/Differentiation Factor 5 (GDF5), and SMAD3.
biomechanics have been associated with the development
Understating the molecular genetic basis of a common
and progression of the OA [3]. In addition to these
disease casts light on the biological factors involved in
factors, for at least 60 years, it has been known that OA
disease initiation and progression, and may suggest new
has a strong genetic component. Classic epidemiological
treatment strategies.
twin studies have demonstrated the genetic contribution
Keywords: Osteoarthritis, TGF-β, Asporin, GDF5,
to primary OA, with hand at the highest estimated
SMAD3
heritability of 65%, while that of the knee and hip are
Genetic Modulation of Tgf-β in Osteoarthritis
49
GENERAL REVIEW
MEDICAL CONNECTIONS • NUMBER 2 (38) • JUNE 2015
40%, respectively
60% [4].Several genes involving
coding for a polymorphic stretch of aspartic acid
developmental processes or maintenance of cartilage
residues in the N-terminal region of the protein [10].
and bone were found to be associated with OA
Tis repeat polymorphism, term the D-repeat
susceptibility and progression [5]. Te candidate genes
polymorphism after the one letter code for aspartic acid
targeted can be grouped into three broad categories: 1)
had 10 alleles encoding 10-19 residues, of which the
genes coding for structural components of the cartilage
D14 allele is the most common in individuals with
extracellular matrix
(ECM),
2) genes coding for
knee/hip osteoarthritis and its frequency increases with
inflammatory molecules, and
3) genes coding for
the severity of the disease [16]. D13 allele encoded OA
catabolic/anabolic regulators. Of these three categories,
protection in the Japanese [10] and Han Chinese [17],
the most compelling data have come from catabolic/
but is not an important factor in OA etiology among
anabolic regulators and of these members the
Caucasians
[18,19,11], though the D15 allele was
transforming growth factor beta (TGF-β) super family
considered a risk allele for knee OA in the Greek
have proved to be particularly interesting
[5]. Tis
population [20]. A meta-analysis of studies of Asian
review will focus on studies the more compelling
populations affirmed the association between the ASPN
implicating genes whose encoded proteins are active in a
D-repeat polymorphism and osteoarthritis [21].
well-defined biological pathway, TGF-β signaling.
Tese functional studies therefore provide a
plausible model of how the D-repeat polymorphism of
Asporin
ASPN influences susceptibility to OA [22]. Asporin
inhibits TGF-β signaling and therefore indirectly
Asporin
(ASPN) is an ECM macromolecule
regulates the synthesis of critical components of articular
belonging to the small leucine-rich proteoglycans
cartilage ECM. Tis inhibition is strongest for the D14
(SLRP) family, a subgroup of the leucine-rich repeat
allele, leading to insufficient quantities of these proteins
super family of ECM. Te SLRP family members can
and therefore to a cartilage that is structurally
be classified into three subgroups, based on the
compromised and D13 encoded asporin has the weakest
similarities of amino sequence, spacing of cysteine
TGF-β inhibitory effect, resulting in a structurally more
residues in the amino terminus, and gene structure [4].
resilient cartilage.
ASPN is a class I SLRP member, which differs from
other class I SLRP members (decorin or dermatan) in
GDF5
that it has an aspartic acid (D) repeat region at its amino
terminus [4,6,8].
One recently found gene associated with OA is
ASPN is involved in cartilage ECM formation as a
Growth/Differentiation Factor 5 (GDF5), located on
negative regulator of the TGF-β/ Smad pathway
20q11 chromosome. Also known as cartilage - derived
[9,10,11,12]. All TGF-β isoforms (β1, β2, β3) induced
morphogenetic protein
1, GDF5 is an extracellular
ASPN expression in all chondrocytic cells; TGF-β1 is
signaling molecule that participates in the development,
the most abundant in cartilage ECM regulating
maintenance and repair of bone, cartilage and other
proliferation, differentiation and matrix production of
tissues of the synovial joint [22 23]. GDF5 is a member
chondrocytes and their progenitor cell [13,14]. Asporin
of the TGF - super family and is related to bone
inhibits TGF-β/Smad signaling by co-localizing with
morphogenetic proteins (BMPs) that induce cartilage
TGF-β1 on the cell surface and inhibiting its binding to
and bone formation, and stimulate de novo synthesis of
the TGF-β type 2 receptor. TGF-β1 stimulates asporin
aggrecan protein [24]. Mutations in the GDF5 gene
expression, suggesting that asporin band TGF-β1 form
cause skeletal alterations both in humans [25] and mice
a regulatory feedback loop [12]. Te human ASPN gene
[26].
spans 26 kb on chromosome 9q22 and includes eight
In a Japanese study [27], a number of common
exons [6,8]. In humans, ASPN mRNA is expressed in
GDF5 polymorphisms were genotyped in cases and in
many tissues, with higher levels in osteoarthritic
controls and association to the common single
articular cartilage, aorta and uterus [14]. Using an in
nucleotide polymorphism (SNP) rs143383, a T to C
vitro model of chondrogenesis, ASPN expression was
transition located in the 5’-untranslated region (5’UTR)
found to decrease during cartilage differentiation,
of the gene was observed. Te SNP rs143383 has been
suggesting that ASPN is associated with bone and
shown to associate with hip and knee OA in Asian
cartilage cell differentiation [8, 11].
populations
[27], and with knee OA in European
In a study from 2007, the investigators observed
population [28]. Functional studies have suggested that
association of a triplet repeat within exon 2 of ASPN,
rs143383 may itself be a the polymorphism that
50
Ilea et al
MEDICAL CONNECTIONS • NUMBER 2 (38) • JUNE 2015
GENERAL REVIEW
influences OA susceptibility, with the OA - associated T
References
allele mediating reduced GDF5 transcription relative to
the C allele [27,29].
1.
Lawrence RC, Helmick CG, Arnett FC et al. Estimates
Overall, association of OA with rs143383 is
of the prevalence of arthritis and selected musculoskeletal
currently the most compelling finding from the
disorders in the United States. Arthritis Rheum
numerous OA genetic studies reported so far.
1998;41(5):778-99.
2.
Altman R, Asch E, Bloch D, et al. Development of
SMAD3
criteria for the classification and reporting of
osteoarthritis. Arthritis Rheum 1986;29(8):1039-49.
Genes in the SMAD gene family provide
3.
Felson DT, Lawrence RC, Dieppe PA, et al.
instructions for producing proteins that control the
Osteoarthritis: New insights. Part
1: the disease risk
activity of particular genes as well as cell growth and
factors. Ann Intern Med 2000;133(8):635-46.
division
(proliferation). Te proteins carry out these
4.
Spector TD, Mac Gregor AJ. Risk factors for
functions as part of the TGF-β pathway, which transmits
osteoarthritis:
genetics.
Osteoarthritis Cartilage
signals from the outside of the cell to the nucleus. Te
2004;12:S39-44.
signaling process begins when TGF-β binds to a receptor
5.
Loughlin J. Genetic indicators and susceptibility to
on the surface of the cell, which then activates a group
osteoarthritis. Br J Sports Med 2011;45(4):278-82.
of SMAD proteins (called receptor - regulated SMADs
6.
Henri SP, Takanosu M, Boyd TC, et al. Expression
or R-SMADs). Te R-SMADs include the SMAD1,
pattern and gene characterization of asporin. A newly
SMAD2, SMAD3, SMAD5, and SMAD8 proteins.
discovered member of the leucine-rich repeat protein
Tese R-SMADs then bind together in multiple protein
family. J Biol Chem 2001;276(15):12212-21.
groups with another SMAD protein (SMAD4), also
7.
Lorenzo P, Aspberg A, Onnerford P, Bayliss MT,
called the common mediator SMAD (or Co-SMAD).
Neame PJ, Heinegard D. Identification and
Once the SMAD protein complexes form, they are
characterization of asporin. a novel member of the leucine-
transported to the nucleus. In the nucleus, the SMAD
rich repeat protein family closely related to decorin and
complexes bind to specific areas of DNA, where they
biglycan. J Biol Chem 2001;276(15):12201-11.
control the activity of particular genes and regulate cell
8.
Ikegawa S. Expression, regulation and function of
proliferation [30].
asporin, a susceptibility gene in common bone and joint
Tere have been extensive studies investigating the
disease. Curr Med Chem 2008;15(7):724-28.
role of SMAD3 (15q22) in OA, and it appears that
9.
Kou I, Nakajima M, Ikegawa S. Binding characteristics
reduction in activity of this protein leads to an OA
of the osteoarthritis-associated protein aspirin. J Bone
phenotype. Both UK study in Europeans with hip or
Miner Metab 2010;28(4):395-402.
knee OA [31] and Northeast Chinese population study
10.
Kou I, Nakajima M, Iegawa S. Expression and
regarding knee and hand OA [32] indicated that genetic
regulation of the osteoarthritis-associated protein asporin.
variation in the SMAD3 gene - SNP rs12901499 is
J Biol Chem 2007;282(44):32193-99.
involved in pathogenesis of OA.
11.
Kizawa H, Kou I, Iida A, et al. An aspartic acid repeat
Te TGE-β signaling pathway consists of the
polymorphism in asporin inhibits chondrogenesis and
standard sequential components of a cell signaling
increases susceptibility to osteoarthritis. Nat Genet
cascade: small extracellular molecules that initiate the
2005;37(2):138-44.
signal, often interacting with structural matrix
12.
Nakajima M, Kizawa H, Saitoh M, Kou I, Miyazono
molecules; cell surface receptors that the small molecules
K, Ikegawa S. Mechanisms for asporin function and
bind to and which then transmit the signal into the cell
regulation in articular cartilage. J Biol Chem
and intracellular molecules that, through a complex
2007;282(44):32185-92.
series of interactions, ultimately translocate the signal to
13.
Denker AE, Nicoll SB, Tuan RS. Formation of
the nucleus to initiate, enhance or inhibit gene
cartilage-like spheroids by micromass cultures of murine
transcription.
C3H10T1/2 cells upon treatment with transforming
It is interesting to note that two of these three
growth factor-beta 1. Differentiation 1995;59(1):25-
components are harboring alleles associated with OA:
34.
ASPN and GDF5 for the first component and SMAD3
14.
Solchaga LA, Penick KJ, Welter JF. Chondrogenic
for the third. It will also be interesting to see if future
differentiation of bone marrow-derived mesenchymal
studies highlight OA - associated alleles in genes coding
stem cells: tips and tricks. Methods Mol Biol
for the cell surface receptors, thus completing the set.
2011;698:253-278.
Genetic Modulation of Tgf-β in Osteoarthritis
51
GENERAL REVIEW
MEDICAL CONNECTIONS • NUMBER 2 (38) • JUNE 2015
15.
Yamada S, Tomoeda M, Ozaway Y, et al. PLAP-1/
protein-1 differentially regulate osteogenesis. J Bone
asporin, a novel negative regulator of periodontal
Miner Res 1998;13(3):383-92.
ligament
mineralization.
J
Biol
Chem
25.
Vaes RB, Rivadeneira F, Kerkhof JM, et al. Genetic
2007;282(32):23070-80.
variation in the GDF5 region is associated with
16.
Iida A, Kizawa H, Nakamura Y. Ikegawa S. High-
osteoarthritis, height, hip axis length and fracture risk:
resolution SNP map of ASPN, a susceptibility gene for
the
Rotterdam
study.
Ann Rheum Dis
osteoarthritis. J Hum Genet 2006;51(2):151-4.
2009;68(11):1754-60.
17.
Jiang Q, Shi D, Yi L, et al. Replication of the association
26.
Daans M, Luyten FP, Lories RJ. GDF5 deficiency in
of the aspartic acid repeat polymorphism in the asporin
mice is associated with instability-driven joint damage,
gene with knee-osteoarthritis susceptibility in Han
gait and subchondral bone changes. Ann Rheum Dis
Chinese. J Hum Genet 2006;51(12):1068-72.
2011;70(1):208-13.
18.
Rodriguez-Lopez J, Pombo-Suarez M, Liz M, Gomez-
27.
Miyamoto Y, Mabuchi A, Shi D, et al. A functional
Reino JJ, Gonzalez A. Lack of association of a variable
polymorphism in the 5’-UTR of GDF5 is associated
number of aspartic acid residues in the asporin gene with
with susceptibility to osteoarthritis. Nat Genet
osteoarthritis susceptibility: case-control studies in
2007;39:529-33.
Spanish Caucasians. Arthritis Res Ter 2006;8(3):R55.
28.
Evanghelou E, Chapman K, Meulenbelt I, et al.
19.
Mustafa Z, Dowling B, Chapman, Sinsheimer JS,
Large-scale analysis of association between GDF5 and
Carr A, Loughlin J. Investigated the aspartic acid (D)
FRZB variants and osteoarthritis of the hip, knee and
repeat of asporin as a risk factor for osteoarthritis in a U
hand. Arthritis Rheum 2009;60(6):1710-21.
K Caucasian population. Arthritis Rheum
29.
Southam L, Rodriguez-Lopez J, Wilkins JM, et al. An
2005;52(11):3502-6.
SPN in the
5’-UTR of GDF5 is associated with
20.
Kaliakatsos M, Tzetis M, Kanavakis E, et al. Asporin
osteoarthritis susceptibility in Europeans and with in
and knee osteoarthritis in patients of Greek origin.
vivo differences in allelic expression in articular cartilage.
Osteoarthritis Cartilage 2006;14(6):609-11.
Hum Mol Genet 2007;16(18): 2226-32.
21.
Naamura T, Shi D, Tzetis M, et al. Meta-analysis of
30.
Yang X, Chen L, Xu X, Li C, Huang C, Deng CX.
association between the ASPN D-repeat and
TGF-β/Smad3 signals repress
chondrocyte
osteoarthritis. Hum Mol Genet 2007;16(14):1676-
hypertrophic differentiation and are required for
81.
maintaining articular cartilage. J Cell Biol
22.
Loughlin J. Knee osteoarthritis, lumbar disk
2001;153(1):35-46.
degeneration and developmental dysplasia of the hip -
31.
Valdes AM, Spector TD, Tamm A, et al. Genetic
an emerging genetic overlap. Arthritis Res Ter
variation in the SMAD3 gene is associated with hip and
2011;13(3):108.
knee osteoarthritis. Arthritis Rheum 2010;62(8):2347-
23.
Francis-West PH, Abdelfattah A, Chen P, et al.
52.
Mechanisms of GDF5 action during skeletal
32.
Jiang L, Tao Y, Wang Y et al. A SMAD3 gene
development. Development 1999;126(6):1305-15.
polymorphism is related with osteoarthritis in a
24.
Erlacher I, Mc Cartney J, Pie E, et al. Cartilage-
Northeast Chinese population. Rheumatol Int
derivated morphogenetic proteins and osteogenic
2013;33(7):1763-8.
52
Ilea et al
GENERAL REVIEW
PREVALENCE OF ORAL MUCOSAL LESIONS IN CHILDREN.
REVIEW OF LITERATURE
Filip-George Boeru1, Ioanina Părlătescu1, Lelia Mihai2, Carmen Gheorghe1, Şerban Ţovaru1
1Department of Oral Medicine, Faculty of Dentistry, University of Medicine and Pharmacy”Carol Davila”, Bucharest,
2Department of Oral Medicine, University of Medicine „Titu Maiorescu”, Bucharest, Romania
Address for correspondence:
Dr.Filip-George Boeru
Faculty of Dentistry, University of Medicine and Pharmacy “Carol Davila”
4-6S Eforiei St., floor 3, room 18, Bucharest
Email: filipboeru@gmail.com
Received: 05.05.2015
Accepted: 06.06.2015
Med Con June 2015 Vol 10, No 2, 53-56
Abstract
treatment. Oral mucosa is a physical barrier to germs and
also a mirror of the general health of the patient. Te
Te aim of this article is to review literature data about
presence of lesions at this level is a challenge for the dentist
the prevalence of oral mucosal lesions in children in
often oriented toward dental caries pathology and its
different parts of the world.A total of 16 articles on the
complications in children. Also the collaborating process
prevalence of oral mucosal lesions in children were selected.
during the oral examination may raise difficult diagnostic
Te lesions were divided into these categories: candida
problems.Te observed changes in children oral mucosa
infection, herpes simplex, aphthae, geographic tongue,
vary in frequency depending on the methodology and the
injuries, which are the most common oral lesions seen in
geographic area where the study was conducted, the
children. In order to get an overview of the distribution of
percentage varies between 25-50% (also includes variants
oral lesions in children worldwide the selected studies were
of normal mucosa) [1]. Numerous epidemiological studies
from all geographic areas. Each selected study comprised a
show large differences between different areas of the Earth
total of at least
800 patients.Oral mucosal lesions in
due to the used methodology, clinical diagnostic criteria,
children are more common than expected with an average
local habits
(chewing tobacco), lifestyle, race
[2] and
of 24.5%.Te published results differ as to methodology
economic status.It is important to understand that these
which makes it difficult to assess and compare them
lesions appear on the body in full physical and mental
globally. An assessment of these lesions in Eastern Europe
change and so this intersection between dental pathology,
is missing in the literature.
paediatrics and dermatology is often neglected even though
Keywords: oral mucosal lesions, children, prevalence,
it may hide serious injuries or, conversely, a simple normal
frequency
variant.
Te aim of this study is to assess the prevalence of oral
Pathology of the oral mucosa of children is very broad
mucosal lesions in children in different areas around the
and differs from that of adults. Whether it is a normal
world (candida infection, herpes simplex, chronic recurrent
variant or lesions caused by vicious habits or orthodontic
thrush, geographic tongue, injuries), (Table I).
abnormalities, trauma, infection or oral manifestations of
Using Pub Med database in May 2015, out of a total
general diseases, all observed changes need a diagnosis and
of 221 articles that have keywords: “prevalence oral lesions,
Prevalence of Oral Mucosal Lesions in Children. Review of Literature
53
GENERAL REVIEW
MEDICAL CONNECTIONS • NUMBER 2 (38) • JUNE 2015
Tabelul I. Prevalence of oral mucosal lesions in children in different parts of the world
Authors/
Candida
Herp.
Geographic Traum.
Normal
Country
Lot
Age
Aphtae
year
inf.
Simpl
tongue
injuries
mucosa
Criveli3
Argentina
846
5.20%
10.87%
2.95%
1.41%
61%
1988
Sedano18
Mexico
32,022
4.3%
1.98%
74.8%
1989
2003-2007
Kleinman5
USA
39,206
5-17
0.01%
0.78%
1.23%
0.60%
0.09%
95.9%
1994
Arendorf19
South Africa
1,051
<7
0.8%
1.6%
2.5%
67.1%
1996
Bessa15
Brazil
1,211
0-12
0.91%
1.15%
1.57%
9.08%
73%
2004
Shulman11
USA
90.8%
10,030
2-17
0.78%
1.23%
0.6%
2005
1988-1994
Parlak7
Turkey
993
13-16
0.1%
2.9%
3.6%
2.3%
73.8%
2006
Majorana6
Italy
10,128
0-12
8.2%
3.98%
4.27%
3.15%
5.14%
71.1%
2010
1997-2007
Ambika8
India
1,003
4-14
0.8%
0.1%
1.4%
5.49%
35.89%
2011
Jahanbani1
Iran
1,020
12-15
0.4%
0.8%
0.5%
72%
2012
children, review”, we selected a total of 16 articles. Tese
associated,the Candida infection varies between 0.01% [5]
were published between
1988 [3] and 2014 [4]. Te
and 8.57% [6]. In newborn babies there is a much higher
selection criteria were: a minimum of
800 patients,
prevalence 37% [4].
classification of injuries in the proposed format (candida
Angular cheilitis is a chronic inflammation of the
infection, herpes simplex, chronic recurrent thrush,
lipcommissures caused by the colonies of Candida and
geographic tongue, traumatic lesions), representing every
sometimes associated with staphylococcusaureus infection.
continent. Te selected studies for this review were done
Tere are studies that show a strong relationship between
inthe following countries: India, Iraq, USA, South Africa,
angular cheilitis and anaemiain children [7]. In terms of
Italy, Taiwan, Brazil, Argentina, Turkey, and Mexico. All of
prevalence angular cheilitisvalues between 0.7% [8] and
them were chosen to form an overall picture on the
6.5% [1] are reported.
frequency of these injuries worldwide. Due to
Viral infections which affect the oral mucosa
methodological differences and clinical diagnostic criteria
arecausedby the following types of viruses
[9]: Herpes
we have noticed a different prevalence of mucosal lesions.
Simplex virus, Varicella-zoster virus, Epstein-Barr virus,
Te number of patients included in all studies was
Coxsackie virus, Paramyxovirus, Human Papilloma Virus.
between 846 [3] and 39206 [5]. Te research has been
Herpes simplex virus is a DNA virus with two known
conducted in the departments of Oral Pathology Paediatric
types: herpes virus type I is the cause of primary or
consultations both within and in the general population.
secondary infection which generates recurrent infections
Fungal infections are caused by various species of
(due to the persistent infection on the nervous fibres or
Candida fungi, which are part of the normal flora of the
ganglia), and type II which involves especially the genital
mucous membranes of the human body. Te causative
area. Primary infection usually occurs in childhood or
factors are: medicines (antibiotics, corticosteroids) which
young adulthood. In the first part of childhood, primary
disrupt the balance of oral flora, decreased immunity
viral infection may be unnoticed or less symptomatic. But
caused by HIV, malignancies, endocrine disorders, etc.
manifestations do not differ depending on the time of
Oral fungal infections are classified in acute forms
occurrence [10]. Te prevalence of viral infections ranges
(pseudomembranous and atrophic) and chronic forms
from 0.4% [1] to 1.42% [11], and even up to 6.9% [6].
(hyperplastic and atrophic).
Tere are studies which link the Herpes Simplex viral
Te frequency of fungal infections is higher in children
infection with the standard of living, as follows: the
than in adults. In children with general diseases
prevalence in the high socio economic level group is of 1%,
54
Boeru et al
MEDICAL CONNECTIONS • NUMBER 2 (38) • JUNE 2015
GENERAL REVIEW
while in the group with low socio-economic level it is as
lesion [2]. Te most common areas involved are buccal
high as 10% [3].
mucosa and lower lip [8].
Poor immune system can be considered as a
predisposing factor for recurrent infections of Herpes
Conclusions
Simplex. [6]
Recurrent apthous stomatitis
Oral mucosal lesions in children show a different
Te apthas are the most common ulcer in the mouth.
prevalence and pathology from those of adults. As can be
From the clinical point of view, the sores can be divided
seen from Table I, the prevalence of oral mucosal
into: minor aphtae with a diameter of not more than 1 cm
lesionsworldwide is different. Te difference in frequency
ulcer which heals within 1 week without scarring, major
in patients without oral lesions are from 35.89% [8] to
aphtae with a diameter greater than 1 cm; and herpetiform
95.9% [5]. In terms of geographical distribution, in Italy
aphtae with only a few millimeters but in greater numbers
[16] we found the highest prevalence of fungal infections,
than 10, in patients with immunosuppression and [12].
and in Argentina [3] the highest was herpes simplex and
Te first episode of recurrent apthous stomatitis occurs
ulcers caused by chronic recurrent aphtae. In India [8], the
with high frequency (46%) in adolescents between 11-20
majority of lesions of the oral mucosa in children is caused
years patients, followed by24% in young adults between
by traumatic injuries.
21 to 30 years and only in 14% of cases it occurs before the
In the literature we did not find studies about the
age of 10 years [13]. Te prevalence of aphthae in children
prevalence of these lesions in South Eastern Europe. Tis
vary between 0.67% and 10.87% [8].
emphasizes the necessity of further studies to form a picture
Regarding the link between a high standard of living
of these pathology. Te prevalence studies reviewed have a
and a higher frequency of disease, there are controversial
large variability due to different diagnostic criteria and
data which confirm this hypothesis [14] and studies that
methodology. Some authors included also the normal
refute it [15]. It is certain that aphtae lesion appear in an
variants of the mucosa, while others considered these as no
increased percentage in children presenting immune
lesions cases, leading tosignificant differences between the
disorders, malabsorption, malnutrition, etc [6].
final percentage of the mucosa with or without lesions.
Geographical Tongue (migratory glossitis) is a variant of
Also regarding the traumatic lesions there are differences,
normal lingual mucosa showing atrophic areas and
as some authors do not include traumatic keratosis in the
hyperplastic filiform papillae alternant with normal
same category.
mucosa. It can appearin very young children thus causing
Gender, race, regional habits, lifestyle and general
concern for the parents because of the spectacular
diseases are factors which modify such prevalence studies
appearanceand the possible manifestation of psoriasis at
so it is difficult to standardize the results and to reach a
this level [16]. Tis concerns are causing parent to seek for
unanimous conclusion, requiring an evaluation of each
medical advice
(pediatric, dermatology, dentistry). All
category of population.
these investigations often are followed by unnecessary
treatment for candidiasis or antibiotics. In terms of
prevalence, this varies by methodology and geographic area
References
where the study was conducted, between 0.6% [5] and
9.08% [15]. For patients withassociated general diseases
1. Jahanbani J, Morse DE, Alinejad H. Prevalence of
there is a higher frequency than 40.6% [4]. Tere have also
Oral Lesions and Normal Variants of the Oral Mucosa
been reported cases in which the dorsal mucosal tongue is
in 12 to 15-year-old Students in Tehran, Iran. Arch
atrophic on the total surface (1% for boys and 1.4% girls)
Iran Med 2012;15(3):142-5.
that, in the absence of other disorders (anemia, lichen
2. Rioboo-Crespo MR, Planells-del Pozo P, Rioboo-
planus) can be regarded as a nutritive disorder [8].
García R. Epidemiology of the most common oral
Traumatic lesions of the oral mucosa can be caused by
mucosal diseases in children. Med Oral Patol Oral Cir
mechanical factors, chemical, thermal, different
Bucal 2005;10:376-87.
orthodontic appliances or vicious habits such as chewing
3. Crivelli MR, Aguas S, Quarrancino C, Bazerque P.
of lining mucosa (Morsicatio Buccarum). Te differences
Influence of the socioeconomic estatus on oral mucosa
in prevalence found in the studies are very high due to
lesion prevalence in schoolchildren. Community Dent
different classification of what is or is not traumatic,
Oral Epidemiol 1988;16:58-60.
between 0.09% [5] and 12.17% [17]. Advancing in age
4. Pinto, Christel M. Haberland. Pediatric Soft Tissue
there is also a decrease in prevalence of oral traumatic
Oral Lesions Dent Clin N Am 2014;(58),437-53.
Prevalence of Oral Mucosal Lesions in Children. Review of Literature
55
GENERAL REVIEW
MEDICAL CONNECTIONS • NUMBER 2 (38) • JUNE 2015
5.
Kleiman DV, Swango PA, Pndborg JJ. Epidemiology
13.
Gándara P, Somoza JM, García A, Gándara JM.
of mucosal lesions in United States schoolchildren: 1986-
Estomatitis
aftosa
recidivante.
Diagnóstico y
1987.
Community Dent Oral Epidemiol
actualización terapéutica. Gaceta Dental 2002;130:64-
1994;22:243-53.
72.
6.
Majorana A. Oral mucosal lesions in children from 0 to
14.
Colaci R, Sfasciotti G. Most common oral mucosal lesions
12 years old: ten years’ experience Oral Surg Oral Med
in children: Prevalence and differential diagnosis.
Oral Pathol Oral Radiol Endod 2010;110:e13-e18.
Webmed Central Dentristy 2013;4(12):WMC004483.
7.
Parlak AH, Koybasi S, Yavuz T, et al. Prevalence of oral
15.
Bessa CFN, Santos PBJ, Aguilar MCF, Do Carmo
lesions in 13- to 16-year old students in Duzce, Turkey.
MAV. Prevalence of oral mucosal alterations in children
Oral Dis 2006;12(6):553-8.
from 0 to 12 years old. J Oral Pathol Med 2004;33:17-
8.
Ambika L, Vaishali Keluskar. Prevalence of oral
32.
mucosal lesions and variations in Indian public school
16.
Canaan TJ, Meechan SC Variations of structure and
children Sci. vol.10 n.4 Piracicaba Oct./Dec 2011.
appearance of the oral mucosa. Dent Clin North Am
9.
Field A, Longman L, Tyldesley W. Tyldesley’s Oral
2005;49:1-14.
Medicine, 5th edition Oxford University Press 2004.
17.
García-Pola MJ, García JM, González M. Estudio
10.
Țovaru Ș, Părlătescu I, Țovaru M, Cionca L. Primary
epidemológico de la patología de la mucosa oral en la
herpetic gingivostomatitis in children and adults.
población infantil de
6 años de Oviedo
(España).
Quintessence Int 2009;40:119-24.
Medicina Oral 2002;7:184-91.
11.
Shulman JD. Prevalence of oral mucosal lesions in
18.
Sedano HO et al. Clinical orodental abnormalities in
children and youths in the USA. Int J Paediatr Dent
Mexican children. Oral Surg Oral Med Oral Pathol
2005;15(2):89-97.
1989;68:300-11.
12.
Țovaru Ș, Țovaru M, Costache M, Demarossi F.
19.
Arendorf TM, van der Ross R. Oral soft tissue lesions in
Medicină și Patologie Orală. vol I, ed. Qmed
a black pre-school South African population. Community
Publishing București, 2008.
Dent Oral Epidemiol 1996;24(4):296-7.
56
Boeru et al
CASE PRESENTATION
OCULAR TUBERCULOSIS SUSPICION ACCOMPANYING POSITIVE
OSTEOARTICULAR TUBERCULOSIS IN A YOUNG PATIENT. CASE
REPORT
Șerban Dragosloveanu1, Christiana Celea2, Cristian Celea3
1Clinical Hospital of Orthopedics and Osteoarticular Tuberculosis Foișor, Bucharest,
2Clinical and Emergency
Ophthalmology Hospital Bucharest, 3Clinical and Emergency Hospital, Prof. Dr. Agrippa Ionescu Bucharest
Address for correspondence:
Christiana Celea, SCUOB
15, Bruxelles St., Sector 1, Bucharest, Romania
Email: christianacelea@gmail.com
Received: 01.05.2015
Accepted: 30.05.2015
Med Con June 2015 Vol 10, No 2, 57-60
Abstract
Conclusion: Tuberculosis can present with a lot of
manifestations and multi systemic involvement. Ocular
A young healthy female patient, health-care worker
tuberculosis is a difficult diagnosis and thus requires
in a state hospital, presented at the eye department
thorough multi-disciplinary investigations.
complaining of pain and blurred vision in the left eye
Keywords: Choroid tuberculoma, interstitial
for approximately 2 weeks.
keratitis, ocular tuberculosis, osteoarticular tuberculosis,
Examination of the left eye revealed a visual acuity
wrist pain.
(VA of 12/20 without correction, an interstitial keratitis,
and some signs of vitrean inflammation. At the
Introduction
Inferonasal quadrant, two chorio-retinal mass lesions
were detected, which at echo graphic examination
Ocular tuberculosis is an extra pulmonary
appeared cystic. Besides these, she also mentions a
tuberculous condition and has variable manifestations
chronic pain in the right wrist. Until the requested
[1] leading to a variety of vision-threatening clinical
inter-disciplinary consultations are done, she was
manifestations. Ocular TB can result in prolonged
advised to start local ocular steroid treatment. Based on
visual impairment, more commonly in patients with
the orthopedic examination and local biopsy, the
posterior uveitis or panuveitis [2].
presumptive diagnosis was of osteoarticular tuberculosis.
It has a wide variety of clinical manifestations
Te treatment was orthopedic surgical intervention
affecting nearly every ocular tissue. Tese include
(wrist arthrodesis with plate and screws) and
anterior uveitis, intermediate uveitis, retinal vasculitis,
tuberculostatic treatment for
12 months. A strong
infectious multifocal serpiginoid choroiditis
(MSC),
suspicion of an ocular tuberculosis diagnosis was made
choroid tuberculoma, subretinal abscess, scleritis, and
and the patient continued ocular steroid treatment for
optic neuritis [3].
another 4 months (total of 6 months).
However, the diagnosis of ocular TB is often delayed
Te ocular manifestations regressed totally after 3
since it is difficult to differentiate these clinical
months of systemic treatment, the visual acuity (VA) of
manifestations from other infectious and noninfectious
the left eye improving at 20/20 without correction.
conditions [4].
Ocular Tuberculosis Suspicion Accompanying Positive Osteoarticular Tuberculosis in a Young Patient
57
CASE PRESENTATION
MEDICAL CONNECTIONS • NUMBER 2 (38) • JUNE 2015
Tuberculous uveitis is an under diagnosed form of
In B-Scan, the lesions in the left eye were described
uveitis. Absence of pulmonary signs and symptoms does
as cystic, suggestive of abscess (?). Tere was no evidence
not rule out the disease. In an era with immunodeficiency
of choroid excavation or any calcifications.
pathology, the disease is becoming more prevalent.
Angiofluorography
showed marked hyper
Physicians need to be aware that ocular manifestations
fluorescence around the lesion in the early phase. Te
of tuberculosis may be independent of systemic disease
lesion also showed early hypo fluorescence, the
[5].
appearance of dye within the lesion was only in the late-
Starting from these data, we present a rare case of
phase, this intra-lesion hyper fluorescence increasing
tuberculous uveitis with choroidal tuberculoma.
over the later phases until the appearance of a
homogenous hyper fluorescence.
Case report
Right eye angiofluorography and echography were
normal.
A 34 years- old female patient refers to us
Her ocular examination and the angiofluorography
complaining of redness, pain and blurred vision in her
findings were collaborative for an inflammatory lesion,
left eye for the past two weeks, and with noticeable
though a rare possibility of a neoplasm was also thought.
vision loss in the same eye for about three days. She
We explained our suspicions to the patient when
mentions working in healthcare in an oto-rhino-
she started mentioning a chronic pain in the right wrist
laryngology department of a state hospital. She has
joint which appeared some time ago (can’t say how
never been before for an ophthalmology consultation.
much) and for which she didn’t get any treatment.
On detailed questioning, she didn’t mention any
We recommended a list of investigations: blood
systemic disorders or pathologies or any heredo-
count- hematocrit 38% (N=37-47%), hemoglobin 13.2
collateral antecedents.
g/dl
(N=12.5-16 g/dl), leukocytes
9.3
(N=4-10.5),
Her best corrected vision at the time of presentation
neutrophils 4.7 (N=1.5-6.6), lymphocytes 6.7 (N=1.3-
was 20/20 without correction in the right eye and 12/20
6), monocytes 0.98 (N<1), eosinophils 0.45 (N<0.7),
without correction in the left eye.
basophiles 0.87 (N<0.1), thrombocytes 340 (N=150-
Te examination findings were normal for the right
450), VSH 35 mm/h (N<25 mm/h woman>50 years),
eye (anterior pole and fundus).
PCR 12 mg/l (N<10 mg/l), coagulation- fibrinogen 411
Detailed examination of her left eye revealed an
(N=200-400), bleeding time 3 (N=1-4), INR 2.5 (N=2-
anterior pole with conjunctiva hyperemia, a cornea with
3), total protein count 6.8 (N=6.6-8.7), uric acid 4.6
interstitial keratitis aspect, without any other signs of
mg/dl (N<5.7 mg/dl), urea 37 mg/dl (N<43 mg/dl),
inflammation in the anterior chamber, foto-motor reflex
total bilirubin 0.93 mg/dl (N<1.2 mg/dl), creatinine
present and clear lens.
0.78 mg/dl (N<1 mg/dl), glucose 79 mg/dl (N=60-99
Fundus examination revealed presence of vitreous
mg/dl), cholesterol 165 mg/dl (N<200 mg/dl), hepatic
cells, flare and two elevated masses in the infero-nasal
enzymes: AST 27 U/L (N<35 U/L), ALT 32 U/L (N<35
quadrant (about 1, 5 and 4 disc diameters size) with sub-
U/L), Ag Hbs negative, Ac HCV negative, HIV
retinal exudates and attached retina. Te surrounding
negative, VDRL negative, TPHA negative, Ac anti-
infero-nasal quadrant vitreous showed marked haze, not
toxoplasm IgM negative, IgG positive, urinalysis-
permitting a good visualization (Figure 1).
density
1017 (N=1015-1022), ph 5.1
(N=4.8-7.4),
leukocytes negative, nitrites negative, proteins 8 mg/dl
(N<10 mg/dl), glucose undetectable, cetonic corps
negative, urobilinogen negative, bilirubin negative,
erythrocytes negative.
Pulmonary RX: no pathological X-Ray findings.
Abdominal and pelvic echography: organs in
normal limits, right renal calculus of approximate 4
mm, without any other pathological findings.
She receives ocular local steroid anti-inflammatory
treatment in this period of results expectation.
After 14 days she came back with blood profile and
Figure 1. Fundus aspect in the left eye: infero-nasally part of
biochemistry normal, except for a mildly raised ESR.
the retina, vitreous flare, two choroidian elevated masses with
Chest X-Ray, abdomen and pelvis ultrasound were
sub-retinal exudates and attached retina, not such a good
visualization
normal.
58
Dragosloveanu et al
MEDICAL CONNECTIONS • NUMBER 2 (38) • JUNE 2015
CASE PRESENTATION
After three months of treatment, the VA in the left
eye was 20/20 without correction, the anterior pole was
normal, without any signs of inflammation, and the
fundus lesions regressed leaving some infero-nasally
pigmentary scars. Te local steroidian treatment was
continued one more month and then stopped.
Discussion
Ocular tuberculosis usually occurs in apparently
healthy individuals and can lead to irreparable, vision
threatening damage to the eye [6].
Te ocular manifestations of tuberculosis may vary
from the involvement of the lid or adnexa to orbital
cellulitis, periocular lymphadenopathy, conjunctive
Figure 2. Aspect after othopaedic treatment
granuloma, scleritis, iridocyclitis, vitritis, pars planitis,
(wrist arthrodesis with plate and screws)
choroiditis or optic neuritis [7].
On the other hand, an innocuous ocular
Orthopedic exam: at the moment of the first visit in
involvement may be associated with significant systemic
our clinic, the patient complained of intense pain in the
tuberculosis, classified as pulmonary or extra pulmonary.
right wrist joint with a slow evolution over time.
A superficial diagnosis can omit some systemic
Clinically there was no high local temperature or rash,
tuberculous impregnated areas and such cases can be
classic signs of bacillary osteoarthritis. After the clinical
falsely classified and inadequate treated. Te DOTS
and x-ray exams, the orthopedic surgeon suspects
program does not put ocular tuberculosis under any
Osteoarticular tuberculosis of the wrist and secondary
category; ideally it should be recommended that ocular
osteoarthritis. In these cases the protocol recommends a
tuberculosis, with potentially vision-threatening
biopsy and surgical treatment. Te diagnosis of the
complications be categorized as serious extra pulmonary
biopsy specimen was tuberculosis of the wrist (bone
tuberculosis [8].
tissue with granulomatous necrosis, surface biopsy
Tere are only a few reported cases of choroid
positive for Ziehl-Neelsen coloration >10 BAAR/field,
tuberculoma, and it may present with or without active
Lowenstein-Jensen positive for Mycobacterium
pulmonary/extra pulmonary tuberculosis. A lesion like
tuberculosis, suggestive for bone - articular tuberculosis).
this needs differential diagnosis with a choroid
Tuberculin testing was positive, PCR testing and Gold
melanoma, for which enucleations are being performed
TB quantiFERON (>40 UI/ml) were also positive.
[9].
Te orthopedic treatment was wrist arthrodesis
Te diagnosis of ocular tuberculosis is usually
with plate and screws with an excellent evolution and a
presumptive and depends upon indirect evidence, a
favorable result (Figure 2). Te patient was prescribed
definitive diagnosis requiring an inter-specialist
systemic tuberculostatic treatment for 12 months - 6
interaction and a high clinical suspicion. Extra
months izoniazid, rifampicin, pyrazinamide and
pulmonary tuberculosis is more difficult to diagnose
ethambutol (HRZE), 6 months izoniazid and rifampicin
than pulmonary disease, often requiring invasive
(HR).
procedures.
During this period the patient maintained the VA
In our case a history of tuberculosis exposure
of 12/20 in the left eye. Also, the anterior and posterior
(positive in a health-care provider), clinical examination,
pole aspects were unchanged from the last control. She
positive tuberculin test, chest x-ray, biopsy of the wrist
was advised a depot steroid (triamcinolone) injection in
complemented with tests with better specificity like the
the affected eye, for the anti-inflammatory effect, but
PCR and Gold TB quantiFERON were used to confirm
refused.
the diagnosis [10,11].
Te above mentioned results became evident for
Definitive diagnosis in such cases is difficult but not
suspicion of tuberculoses uveitis and choroid
impossible.
tuberculoma,
the
patient
already
receiving
Treatment is another challenge for the
tuberculostatic systemic treatment for 12 months and
ophthalmologist and the inter-disciplinary doctors
local steroid treatment.
involved [8].
Ocular Tuberculosis Suspicion Accompanying Positive Osteoarticular Tuberculosis in a Young Patient
59
CASE PRESENTATION
MEDICAL CONNECTIONS • NUMBER 2 (38) • JUNE 2015
References
6. Sahu GN, Mishra N, Bhutia RC et al. Manifestations
in ocular tuberculosis. Ind J Tub 1998;45:153.
1. Gupta V, Shoughy SS, Mahajan S, Khairallah M,
7. Sheu SJ, Shyu JS, Chen LM et al. Ocular manifestations
Rosenbaum JT, Curi A, Tabbara KF. Clinics of ocular
of tuberculosis. Ophthalmology 2001;108(9):1580-5.
tuberculosis. Ocul Immunol Inflamm 2015;23(1):14-
8. World Health Organization (WHO). Treatment of
24.
Tuberculosis: Guidelines for National Programmes, 3rd
2. Basu S, Monira S, Modi RR, Choudhury N, Mohan
edition.
WHO/CDS/TB2003.313
Geneva,
N, Padhi TR, et al. Degree, duration, and causes of visual
Switzerland: WHO, 2003.
impairment in eyes affected with ocular tuberculosis. J
9. Shields CL, Jerry A, Hakan Demirci et al. Ocular
Ophthalmic Inflamm Infect 2014;4(1):3.
tuberculosis masquerading as ocular tumors. Survey of
3. Gupta V, Gupta A, Rao NA. Intraocular tuberculosis-
ophthalmology 2004;49(1):78-89.
an update. Surv Ophthalmol 2007;4:561-87.
10. Rao NA, Gupta V, Gupta A. Intraocular tuberculosis-
4. Patel SS, Saraiya NV, Tessler HH, Goldstein DA.
An Update. Survey of Ophthalmology 2007;52(6):
Mycobacterial ocular inflammation: delay in diagnosis
561-87.
and other factors impacting morbidity. JAMA
11. Albini TA, Rao NA, Karakousis PC. Interferon-ã
Ophthalmol 2013;4:752-58.
Release Assays in the Diagnosis of Tuberculous Uveitis.
5. Oluleye TS. Tuberculous uveitis. J Multidiscip Healthc
American Journal of Ophthalmology 2008;146:486-
2013;6:41-3.
8.
60
Dragosloveanu et al
HISTORY OF MEDICINE
MEDICAL HISTORIES FOUND IN MEMOIRS OF QUEEN MARY OF
ROMANIA
Călin Bumbuluţ1, Andrei Bumbuluţ2, Alina Daniela Negru1, Rumelia Koren3
1SCM dr Bumbuluţ-dr Balaj, Satu Mare, România, 2Faculty of Medicine, Iuliu Haţieganu University of Medicine and
Pharmacy, Cluj Napoca, România, 3Department of Pathology, Hasharon Hospital, Petah Tikva, and Sackler Faculty of
Medicine, Tel-Aviv University, Israel
Address for correspondence:
Bumbuluţ Călin, MD, FP
Satu Mare, UK 30 Bobocului St, PO 440258
Email: bumbulutcalin@yahoo.com
Received: 25.08.2014
Accepted: 15.09.2014
Med Con June 2015 Vol 10, No 2, 61-66
Abstract
Prince Charles, the future King Carol II) and it thought
that this idea will diminish my pains, which did not
Mary, Queen of Romania, born as Maria Alexandra
happen at all. But, during the time of the toothache, Dr.
Victoria of Saxa-Coburg and Gotha (October 29, 1875,
Young came into my life. Dr. Young was submitted English,
Eastwell Park, Kent, England, July 18, 1938, Sinaia
but American by birth (...) his handicraft was large, but
Pelişor, Kingdom of Romania), was princess of Great
not without pain for those who used it (...) He struggled
Britain and Ireland and the consort of King Ferdinand.
with my upper jaw and with the bottom jaw and pulled
Her memoirs are an important source of informations
out four teeth, saying that I have too many teeth for the
including medical ones, but also a surprising literature,
little space which was reserved for them (...).One of his
which proves a writerly talent. Our approach aims at an
words remain fadeless forever for me (...) He had found me
incursion into the medical informations contained in
crying because of the news received in a letter from home,
the memoirs of Queen Marie of Romania, to our
knowledge being the first attempt of its kind.
Keywords: Queen Mary, medicine, typhoid fever,
Ion Cantacuzino, Christea Buicliu, Wilhelm and Mite
Kremnitz
We continue the incursion in Memoirs of Queen
Mary, volume II, stopping on some medical histories
and not only, on their social and cultural connotations
bringing to attention important names of the late
nineteenth century and early twentieth century.
I feel I must mention here being full of goodness which
came in my way in those days. I suffered from a terrible
toothache; I was in pain all over. I was told that it was
about “the cute Crown Prince who was to arrive” (nn.
Figure 1. Queen Maria in 1902
Ocular Tuberculosis Suspicion Accompanying Positive Osteoarticular Tuberculosis in a Young Patient
61
HISTORY OF MEDICINE
MEDICAL CONNECTIONS • NUMBER 2 (38) • JUNE 2015
my tears flowed like a spring rain. “Wipe your eyes, Dr.
Young said, it will not be the last disappointment in your
life!” Tis brief summary of the situation, told without
smile or frown, give it the stark measure of the man. Our
friendship lasted even after I didn’t need him to take care of
my teeth. I keep until today, with real appreciation, the
memory of Dr. Young, who lived up until the first year of
the Great War” [1, p 41,42].
Birth of Princess Elizabeth, the second child:
“(...) But Elizabeth hurried up and arrived on 11
October, so before my mother could come, so in hard times,
nobody was with me, but Aunty Elizabeth (our note -
Queen Elizabeth) and a Romanian doctor. Later, we
Figure 2. Ion Cantacuzino in 1902 (left) and to maturity
became thoroughly friends with Dr. Cantacuzino, but at
that time, he was a stranger to me and I looked at him with
eyes full of fear” [1, p 65].
illness, as we will see from the tragedy of losing the last
Ion Cantacuzino (25 November 1863-14 January
born, Mircea: “Rarely it happened to me to become ill,
1934) followed the secondary education and the upper
because I have a great power of life, but when it happened
in philosophy study, natural science and medicine in
to me, I could not stop looking at the disease as a
Paris. In
1895 he obtained the title of Doctor of
humiliation, as a falling. You feel turned over to others and
Medicine with the thesis: “ Recherches sur le mode de
at their will; the truth is never told to the ill people: from
destruction du vibrion cholérique dans l’organisme”
the day you are in bed sick you pass the normal boundaries;
(“Research on modality of destruction of cholera vibrio
all your needs are fulfilled, but others decide for you and
in the body”). After graduation, he works in the Pasteur
think for you; your horizontal status, in contrast with the
Institute in Paris as the assistant of Ilia Ilici Mecinikov
vertical one of to the man who stands up and leans on you,
in the domain of immune mechanisms of the body.
is in itself a defeat, a decrease in your personality, an
Back in the country, he is appointed as Professor of
inferiority that you are doomed to cope. I never liked to give
Experimental Medicine, at the Faculty of Medicine of
my will to the other hands, not knowing where this giving
Bucharest
(1901), and General Director of Health
will stop” [1, p 67,68].
Service in Romania (1907). With the support of King
Te disease of the heir prince, the future King
Ferdinand I, which offers land on the banks of the
Ferdinand, creates a vivid emotion in the society from
Dâmboviţa river, Ioan Cantacuzino will completed his
late nineteenth century, through the dramatic
largest project: Serums and Vaccines Institute, which
implications for the Kingdom of Romania of a possible
became active since
1921. Cantacuzino investigated
death, and also of the long period of illness: “In the
active immunization against dysentery, typhoid fever,
summer of the same year, 1897, started so cheerful, I had
but he was also preoccupied with the etiology and
gone through a terrible concern: my husband became sick
pathology of scarlet fever. In 1926, his work has become
from a virulent form of typhoid fever and we almost lost
so successful, that Romania was the second country in
him. He was repeatedly almost dying, because the disease
the world after France who introduced bacillus
has worsened since the early days through various serious
Calmette-Guérin for prophylactic vaccination of
complications, eventually a double pneumonia was close to
newborns against tuberculosis without to import. As a
put an end to his days. I remember how they kept him alive
Mecinikov disciple, he devoted part of his research for
with injections of high doses of salt water, which tormented
phagocytes, means of the body’s defenses against
him, but which saved him. I do not know exactly how long
pathogens, and also to the problem of immunity,
the disease lasted, but it seemed endlessly long for me (...).
inventing the concept of contact immunity. During of
Tree doctors were always around them: dr. Jean
the Second Balkan War, he was appointed as head of the
Cantacuzino, dr. Buicliu and dr. Kremnitz; the last one
action to combat the cholera epidemic in Romanian
was a German, with a long brown beard, he was a very
Army stationed in Dobrogea, occupying the same
clever man and a personal friend of the King and Queen.
position during the First World War, to combat the
Back then I knew almost nothing about disease and I was
typhus.
worthless as a nurse (...)” [1, p 136,137].
Queen Mary shows a full understanding of human
Te one who would become one of the promoters
suffering, her family being subject to repeated attacks of
of Romanian School of Neurology Psychiatric, Professor
62
Dragosloveanu et al
MEDICAL CONNECTIONS • NUMBER 2 (38) • JUNE 2015
HISTORY OF MEDICINE
Christea Buicliu was born in Roman on 7 December
1857 in an old Armenian family. He attended secondary
school in Iasi, and then in 1875 he went to Paris to
study medicine. He finished medical school in 1883
and then returned home. In Bucharest he practiced as
physician in the Brâncovenesc Hospital, and in 1886 to
the Medical Clinic of the Faculty of Medicine. Christea
Buicliu was committed to reforms in the Faculty of
Medicine and the Romanian health system. He
cooperates closely in this regard with Victor Babeș,
which binds him with a sincere friendship. He was
appointed as Efor
(supervisor) of the hospitals and
became one of the founders of the Romanian
Figure 3. Heinrich Adolf von Bardeleben
Neuropsychiatry School. He wrote dozens of books and
(1st March 1819 - 24th September 1895)
articles in the field, including a “Terapeutic Treaty” in
six volumes,
“History and Hypnotism”,
“Arsenical
Polyneuritis” and
“Clinical Lectures on the Cardiac
Semiology”. Professor’s life ended prematurely at the age
of 57, on 9 August 1916, and it rests in Roman, his
hometown.
I’ll never forget that terrible night when I was called
to the bedside of my husband, because doctors believed that
the end was near (...) Nando lay on his back, so weak that
his body seemed to be one with the sheet. His face was pale
and he breathed with difficulty; his eyes were wide open,
glassy (...) I easily grabbed his fingers with mine; his fingers
were wet with sweat, the sweat dripped from him, our
joined hands were laying in a small pool of water. Often I
Figure 4. Titu Maiorescu in youth 1882 (left)
heard talking of “sweat of death”, now I know what it
and to maturity
means!” [1, p 139].
Te wing of death has not reached our house, but the
prince’s convalescence was long and difficult; on several
which
was intended to remain with us until the full
occasions, he again fell prey to disease and the great dr.
recovery of the Prince, died suddenly one morning because
Leiden was called for consultation. Romanians, although
his heart stoped.
(...) After the death of Dr. Kremnitz,
they have good enough doctors, have the habit to call foreign
doctor Romalo entered into our lives, he was our doctor
doctors for help. Tey therefore sent after Leiden, after all
until the end of his days” [1, p 141,142].
insistences. I can not say that I liked him; these great men,
With Dr. Kremnitz, Mite Kremnitz appeared on
called for urgent cases, they always seem a little careless;
the fashion and cultural scene of Romania at the end of
they can not have the same feelings for patients as those who
the nineteenth century. Born as Marie Charlotte von
tremble for their lives along the watches for concern. (...) It
Bardeleben, daughter of the famous surgeon Heinrich
was a great relief for us that we could bring our patient in
Adolf von Bardeleben, she spent her childhood in
fresh and hardener mountain air (our note - at Sinaia)
Greifswald, London, and since 1868 in Berlin. In 1872,
but he still lingered in bed for about six weeks, pale,
at 20 years, Mite married Wilhelm Kremnitz.
exhausted, with a brown beard, terribly changed, with his
An event in the life of Titu Maiorescu will
gaunt face and like yellow wax, with holes in the cheeks
permanently link him with Kremnitz family: on the way
and hands as the skeleton. Seemed almost a stranger to me
to Paris, he will make a stop in Berlin in October 1859.
[1, p 140].
Visiting the Kremnitz family, he gives them
«some
An event that occurs during the convalescence of
gourmet gifts», which, as he says, he brought from «the
the Crown Prince gives us the opportunity to bring to
Orient». In the thirteenth day of staying in Berlin, the
attention an important name not only in the medical
unexpected happens: in the day of departure to Paris, in
world, but also in artistic life: “A tragic incident and
the dark, he falls into a pit on a Berlin street and sprains
totally unexpected appeared in our house (...) dr. Kremnitz,
his ankle, being forced to stay in bed. Te Kremnitz
Ocular Tuberculosis Suspicion Accompanying Positive Osteoarticular Tuberculosis in a Young Patient
63
HISTORY OF MEDICINE
MEDICAL CONNECTIONS • NUMBER 2 (38) • JUNE 2015
installs him in a room in their house and begun caring
for him, also calling a doctor for him. Maiorescu was
the French language teacher for the four children of the
family Kremnitz, including his future wife, Clara. In a
letter of November 1859 from Paris, he will motivate
the subsequent decisions: «In Berlin I spent three weeks,
definitely the happiest time of my life. Every day I stayed in
the family of the Chancellor of Justice Kremnitz, so every
day I stayed with Clara. Fortunately, I sprained my foot
and had to lie in bed after that, for eight days (...) In short,
I will marry Clara».
From the marriage with Clara Kremnitz, Titu
Figure 6. Mite Kremnitz and the famous red book
Maiorescu had two children: a daughter, Livia, and a
son, Liviu.
At the invitation of Titu Maiorescu, Mite and
an intimate of Kremnitz family, being invited each year
Wilhelm Kremnitz traveled in 1873 to Romania, in Iasi,
to spend Christmas holidays here. Tey were seeing
and in January
1875 the couple is established in
home at Maiorescu, at the literary club Junimea and
Bucharest. Wilhelm Kremnitz opens a medical practice,
more than once, at the Royal Palace, where Queen
becomes secondary doctor and then, in 1889, senior
invites Eminescu despite the cold relationship that he
physician at Brâncovenesc Hospital [2]. During the War
had with King Carol, who was severely critisized in his
of Independence Dr. Kremnitz coordinates a military
articles in the Time.
hospital installed in Cotroceni Station. He is becoming
Mite Kremnitz’s great grandson, Georg, donated to
more and more popular, and become the doctor of the
the Central University Library of Cluj the famous “red
Royal family of Romania, following the path of his
book” which contains the poems transcripted by
mentor and of his father-in-law, who was very
Eminescu for Mite, offered in January 4, 1879 as a gift
appreciated by Kaiser Wilhelm I and was the doctor of
for her birthday. Te manuscript contains five poems in
the German Emperor, Frederick III.
the poet’s version plus four more in the same book,
Te family ties with Maiorescu, the close link with
copied by Mite [4].
the Royal family, Mite Kremnitz being the Lady of
Mite Kremnitz translated Eminescu’s poems
company of Queen Elizabeth, and the literary talent of
“Desire”,
“Over peaks” and it seems that also the
Mite, facilitated their entry into the intellectual world of
“Morning Star” to German, she published a collection
Bucharest. Mite Kremnitz attended the literary meetings
of Romanian tales, and she translated poems and prose
of the Junimea (a famous literary Circle of that time)
of Queen Elisabeth (who used the literary pseudonym
where she met Eminescu, Jacob Negruzzi, Ion Slavici,
Carmen Sylva). She wrote plays and novels together
Nicolae Gane, Teodor Rosetti and Petre Carp [3].
with Queen Elizabeth, which they have signed with the
Eminescu came to Bucharest as editor at the Time
pseudonym Ditto und Idem. She collaborated with
newspaper. Because the poet experienced great material
King Carol I of Romania in writing of his Memoirs, in
difficulties, he gives private lessons of Romanian
the collection donated by her great grandson existing a
language to Mite Kremnitz. Mihai Eminescu becomes
large number of files, apparently written by Carol I.
Wilhelm and Mite Kremnitz had two sons: Georg-
Titus, born in 1876 in Bucharest and Emanuel (Manoli),
born in 1885 at Peleș [5]. About the two children of
Mite’s it was stated that they were conceived with Titu
Maiorescu (Georg) and respectively with King Carol I
(Emanuel). It is also said that the first name of
Maiorescu, Titu, he wanted to put him in the Latinized
form, so as he often signed, “Titus”, to his illegitimate
child, Georg [6].
Wilhelm Kremnitz died on 31 July 1897 at Peleș
and was buried on the royal domain, near the waterfall
Urlătoarea, subsequently his tomb was moved to the
Figure 5. Mihai Eminescu in the last known photo (left)
and at maturity (right)
park of the town.
64
Dragosloveanu et al
MEDICAL CONNECTIONS • NUMBER 2 (38) • JUNE 2015
HISTORY OF MEDICINE
Although her life in Romania was assured, with the
annual rent paid by King Carol I - the equivalent of over
111,000 lei today - after her husband’s death, Mite
Kremnitz prefered to return to Berlin, considering that
the possibilities of giving her children a good education
are more favorable in the German Empire. It is also
interesting the further link of Mite sons with Romania,
Georg-Titus attending a school of officers, and Emanuel
medical studies. Te two are enrolled in the Imperial
Army and enter in Romania in 1918 with the occupation
troops of the Central Powers. Georg-Titus Kremnitz, as
officer of Staff of the German Army, is part of the
Figure 7. Wilhelm Kremnitz’s tomb
delegation which proposes to Maiorescu, who, ironically,
it seems that was his natural father, to form a government
According to Queen Mary, Mite, which the Queen
of occupation, anti-dynastic, proposal which he refused.
never nominated her name, only as Dr. Kremnitz’s wife,
On the other hand, however, he allowed the recovery of
wrote the book “Te Court of Ragusa” in which she
Slavic manuscripts of Academy Library Fund,
describes, parodying, the life of the Royal Court of
documents requisitioned by the Bulgarian army, being
Romania, to the disappointment of Queen Mary, one of
the reasons why her presence is indicated briefly and
superficially in the Queen’s memoirs: “It was a big news
when lady Kremnitz has arrived from abroad to her
husband’s funeral. Although Aunty
(our note- Queen
Elizabeth) had enough reasons not to love her, she received
her as a person of the family. Tese two women resemble in
a strange way. Both were writers, both had gray hair, short
cut, with eyes in deep eye sockets, and thoughtfully (...) A
few years earlier, they had written together a book in the
form of letters exchanged between two friends. Te
collaboration was interesting and no doubt this united
them for a time in the same enthusiasm, but this happened
before my time, and I knew that now, Aunty has no love for
the lady Kremnitz in her heart. Te break, it seems, was
Figure 8. Elisabeth with her daughter Maria (called in
made when Uncle (our note - King Carol I) had asked
family as Itty, 1870-1874). Photo from 1873
Mrs. Kremnitz to help him writing his memoirs, instead of
asking this to Aunty, also a poet and writer. (...) Later, her
innate meanness came out stronger when, in a unworthy
way, she revenged against the royalty, who had once been
her collaborator, writing a bad novel and also a vulgar one,
titled Te Court of Ragusa, in which, through changing the
name of the people and of places, she describes in the form
of parody the Aunty’s quirks and made a malicious
description of the Court and her customs. Mrs. Kremnitz,
of course, with a changed name, play in that novel the role
of an intelligent woman, who is the confidence of the king
and who straightened the queen’s mistakes. It is a book
worthy of contempt” [1, p 142,143].
In the 1899’s codicil of his testament, written in
December 1911, Carol says: “Te sons of Dr. Kremnitz
Figure 9. Te Engagement Photography, 1869: Elizabeth of
will receive each forty thousand lei as gift and they will give
Wied, Prince Carol I of Romania (born as Prince of
of this sum four thousand lei to their mother, whose pension
Hohenzollern-Sigmaringen), Mother-Princess Maria of
of twelve thousand, will be payed as so far, until her death”.
Wied, Prince William of Wied (brother of Elizabeth)
Ocular Tuberculosis Suspicion Accompanying Positive Osteoarticular Tuberculosis in a Young Patient
65
HISTORY OF MEDICINE
MEDICAL CONNECTIONS • NUMBER 2 (38) • JUNE 2015
in the process to be transported across the Danube [7].
3. Todescu V. Mite Kremnitz şi Junimea, Annales
Also, the Captain Emanuel Kremnitz, the supposed son
Universitatis Apulensis Series Philologica, v. 2, 2006.
of Carol I, although he was for a period of time the head
4. Hângănuț R. Povestea „Caietului Roșu” manuscrisul
of the censorship, is the one who saved in 1916 the
eminescian aflat în posesia BCU, Transilvania Reporter,
archive of B.P. Hașdeu from Campina.
15 ianuarie 2014.
Mite Kremnitz passed away on July 18, 1916. She is
5. Kremnitz G. Mite Kremnitz und ihre rolle in den
the heroine of Eugen Lovinescu’s biographical novel,
deutsch-rumäniscgen Beziehungen, in Rumänien und
“Mite”.
Europa: Transversale: Kolloquium der Humboldt-
Universität zu Berlin in Zusammenarbeit mit dem
Rumänischen Kulturinstitut Titu Maiorescu, Maren
References
Huberty&Michèle Mattusch Editors, Humboldt-
Universität Berlin, Frank & Timme GmbH, 2009,
1. Maria, Regina României. Povestea vieţii mele, Ed.
pp. 121-34.
RAO, Bucureşti, 2013, Vol II, pag 41-2, 65,67, 136-
6. Popescu-Cadem, Titu Maiorescu în faţa instanţei
7, 139, 140, 141-143.
documentelor, Bucureşti, Biblioteca Bucureştilor,
2. Nuţă I. Prefaţa la romanele Mite şi Bălăuca de Eugen
2004, pp 24-8.
Lovinescu, vol. 20 din Colecţia Eminesciana, Editura
7. Tăbăraş S, Eroi
„mărunţi”, Revista Luceafărul,
2,
Junimea, 1980.
2009.
66
Dragosloveanu et al
GUIDANCE FOR DRAWING UP
GUIDANCE FOR AUTHORS
Scope
on which patients or other subjects of your experiments
Te Medical Connections publishes papers reporting
clearly grant permission for the publication of
original clinical and scientific research, which contribute
photographs or other material that might identify them.
to the advancement of knowledge in all field of medicine.
If the consent form for your research does not specifically
Te journal also publishes reviews, editorials and short
include this, please obtain it or remove the identifying
communications on specific topics. Case reports will be
material. A statement must be included in the ‘Methods’
accepted if of great interest and well investigated. Letters
section of your paper.
to the Editor, especially those mentioning an opinion on
an article previously published, or expressing a new
Ethics Committee approval
finding are welcome. Te website address of the Medical
You must state clearly in your submission in the
Connections is http://www.conexiunimedicale.ro. Te
Methods section that you conducted studies on human
journal is published quarterly and papers are accepted
participants with the approval of the Hospital, or
for publication in English language. Papers from
University Ethics Committee etc. Similarly, you must
contributors living abroad and from Romanian authors
confirm that experiments involving animals adhered to
should be addressed to the editorial office: dr. Bumbuluţ
ethical standards.
Călin, assitant editor in chief of Medical Connections,
Eroilor Revoluţiei Pl. no.23-440055 Satu Mare,
Copyright assignment
Romania. Tel./Fax:
+40-261-710456,
e-mail:
Papers are accepted for publication on the
bumbulutcalin@yahoo.com.
understanding that exclusive copyright in the paper is
assigned to the Publisher. Authors may use material
Redundant or duplicate publication
from their paper in other works published by themselves.
We ask you to confirm that your paper has not been
published in its current form or a substantially similar
Submissions
form, that it has not been accepted for publication by
All manuscripts submitted to the Medical
another journal, and that it is not under consideration
Connections are made available for online review. Te
by another publication.
journal introduced the electronic submission of
manuscripts in Word format, but also accepts
Conflicts of interest
manuscripts submitted as attachments to electronic
We ask authors to state all possible conflicts of
mail (text, figures and tables). Do not send them in
interest, including financial and other relationships. If
PDF format. Te word count for electronic submissions
you are sure that there is no conflict of interest, please
is up to 3,500 words for original articles, 2,500 words
state this also. Te sources of funding should be
for case reports, 2,000 for clinical imaging papers, 500
acknowledged in your paper.
words for letters, and 4,500 words for review articles.
Authors should NOT in addition post a hard copy
Permissions to reproduce previously
submission to the editorial office, unless they are
published material
supplying artwork, letters or if les that cannot be
Please send us copies of permission to reproduce
submitted electronically, or have been instructed to do
material (such as illustrations) from the copyright holder.
so by the editorial office. For those authors who have no
option but to submit by mail please send one copy of
Patient consent forms
the article, plus an electronic version on CD-ROM to
Te protection of a patient’s right to privacy is
the Editorial Office, Conexiuni Medicale/Medical
essential. Please send copies of patient’s consent forms
Connections, Eroilor Revoluţiei Pl. no.23-440055 Satu
67
GUIDANCE FOR DRAWING UP
MEDICAL CONNECTIONS • NUMBER 2 (38) • JUNE 2015
Mare, Romania. Double spacing should be used
Review articles and case reports should include an
throughout the manuscript, which should include the
unstructured summary.
following sections, each starting on a separate page: title
Key words
page, abstract and key words, text, acknowledgements,
Te abstract should be followed by a list of 3-10
references, individual tables and legend for figures. Pages
keywords or short phrases which will assist the cross-
should be numbered consecutively, beginning with the
indexing of the article and which may be published.
title page, and the Arabic numbers should be placed in
When possible, the terms used should be from the
the top right hand corner of each page.
Medical Subject Headings 262 list of Index Medicus
(http://www.nlm.nih.gov/mesh/meshhome.html).
Presentation of papers
Text
Title page
Full papers of an original study may be divided into
Te title page should carry the full title of the paper
sections headed Introduction, Methods (including ethical
and a short title to be used as a short ‘running head’ (and
and statistical information), Results and Discussion
which should be so identified and should comprise up to
(including a conclusion). Tis so-called
“IMRAD”
45 characters). Te first name, middle initial and last
structure is not simply an arbitrary publication format,
name of each author should appear. If the work is to be
but rather a direct reflection of the process of scientific
attributed to a department or institution, its full name
discovery. Long articles may require subheadings within
should be included. Any disclaimers should appear on the
some sections (especially the Results and Discussion
title page, as should the name and address of the author
sections) to clarify their content. Other types of articles,
responsible for correspondence concerning the manuscript
such as case reports, reviews, and editorials, are likely to
and the name, address and e-mail address of the author to
require other formats. Excessive use of abbreviations is
whom requests for reprints should be made (the author
not recommended. Outline statistical methods used.
should mention if he does not want his e-mail address to
Identify drugs and chemicals used by generic name (if
be published). Finally, the title page should include the
trade-marks are mentioned, manufactured name and
sources of any support for the work in the form of grants,
city should be given).
equipment, drugs, or any combination of these.
Acknowledgements
Abstracts
Acknowledgements should be made only to those
Te second page should carry a structured abstract
who have made a substantial contribution to the study.
of no less than 200 words. Do not use abbreviations,
Authors are responsible for obtaining written permission
footnotes, or references.
from people acknowledged by name in case readers infer
Background & Aims
their endorsement of data and conclusions.
Describe the importance of the study and the
References
precise research objective(s) or study question(s).
References should be numbered consecutively in
Methods
the order in which they first appear in the text. Tey
Methods should include information on the following
should be assigned Arabic numerals, which should be
aspects of study design when applicable: Design - describe
given in brackets, e.g. [12]. References should include
the basic study design, e.g. randomized controlled trial,
the names of all authors when six or fewer; when seven
cross sectional study, cohort study, case series, survey etc;
or more, list only the first three names and add et al.
Setting - specify whether the study was conducted in a
References should also include full title and source
primary or tertiary care setting, in an ambulatory care
information. Journal names should be abbreviated as in
clinic or hospital, in the general community etc;
Index Medicus
(http://www.nlm.nih.gov/tsd/serials/
Participants - indicate the number of study subjects and
terms_cond.html). No more than 90-100 references
how they were selected, recruited, and assigned to the
will be accepted for reviews. For Letters to the Editor,
intervention; Intervention
- report the method of
5-6 references. Avoid or keep as low as possible the use
administration and duration of the intervention.
of abstracts as references. Personal communications and
Results
unpublished work should not feature in the reference
Provide the main outcomes of the study, including
list but should appear in parentheses in the text.
confidence intervals or p values.
Unpublished work accepted for publication but not yet
Conclusion
released should be included in the reference list with the
State only conclusions that are directly supported
words “in press” in parentheses beside the name of the
by the evidence and the implications of the findings.
journal concerned.
68
MEDICAL CONNECTIONS • NUMBER 2 (38) • JUNE 2015
GUIDANCE FOR DRAWING UP
a) Article:
in the metric system in terms of the International
[1] Otvos L Jr, Shao WH, Vanniasinghe AS, Amon
System of Units (SI).
MA, Holub MC, Kovalsykz I, et al. Toward understanding
Abbreviations and symbols
the role of leptin and leptin receptor antagonism in
Use only standard abbreviations. Avoid
preclinical models of rheumatoid arthritis. Peptides
abbreviations in the title and abstract. Te full term for
2011;32:1567-74.
which an abbreviation stands should precede its first use
b) Papers published only with DOI numbers:
in the text unless it is a standard unit of measurement.
[2] Chaldakov GN, Beltowsky J, Ghenev PI, Fiore
M, Panayotov P, Rancic G, et al. Adipoparacrinology -
Reprints
vascular periadventitial adipose tissue (tunica adiposa) as
Ten reprints of the published articles and two copies
an example. Cell Biol Int
2011;doi:
10.1042/
of the Journal will be supplied free of charge. If required
CBI20110422.
in a greater number, they will be available on payment
c) Book:
of the necessary cost.
[3] Gertler A, editor. Leptin and Leptin Antagonists.
Landes Bioscience, Austin, Texas, USA. 2009.
Editorial policy
d) Book chapter:
We welcome all contributions in the field of
[4] Jeremy L, Abe PD. Treatment Options in
medicine. We invite known personalities with expertise
Superficial (pTa/pT1/CIS) Bladder Cancer. In: Urological
and many published papers in a specific field to write
cancers in clinical practice, Springer-Verlag, London
reviews and editorials in our journal. We accept original
Limited, 2007:75-102.
papers and case reports from all countries. Te
Tables
Conexiuni Medicale/Medical Connections offers
Each table should be assigned a Roman numeral
thorough peer review and immediate publication on
(e.g. Table III) and a brief title. Explanatory matter
acceptance. Te redactor-in-chief or one of the first
should be placed in footnotes. Explain in footnotes all
reads the manuscripts received and in about 1-3 weeks
non-standard abbreviations that are used in each table.
decide upon their priority level: some are immediately
Identify statistical measures of variations, such as
sent to the reviewers, some are rejected without being
standard deviation and standard error of the mean. Each
sent for review and some are returned to authors with
table should be cited in the text.
suggestions for improvement before submitting them
Illustrations
to reviewers.
All graphs, photographs (on glossy paper), diagrams
will be referred to as figures and should be numbered
Peer-review procedure
consecutively in the text in Arabic numerals. If a figure
Te Conexiuni Medicale/Medical Connections
has been published before, the original source must be
promotes evaluation of all the original papers by two or
acknowledged and written permission from the
three independent reviewers, of whom two are
copyright holder for both print and electronic formats
international personalities. Te peer-review process is
should be submitted with the material. Figures may be
essential for ensuring the quality of the scientific
reduced, cropped or deleted at the discretion of the
information disseminated. Te reviewers are asked to
Editor.
evaluate the manuscript by applying the same standards
Legends for illustrations
as for the international journals. Te reviewers send
Captions should have an Arabic numeral
their comments to the Editor. Te Editor will inform
corresponding to the illustration to which it refers with
the authors about the suggestions made by the referee
a title above and explanatory notes below it. Internal
and ask them to answer the questions and make the
scales should be explained and staining methods for
required corrections. Tis information is provided up to
photomicrographs should be identified.
three months from the date they submitted the paper to
Units of measurement
the journal. Te revised manuscript should be sent in no
Measurements of length, height, weight, and
more than one month to the Editor. When the Editor
volume should be reported in metric units
(meter,
receives the corrected version with all changes marked,
kilogram, or litre) or their decimal multiples.
accompanied by a letter with a point-by-point reply to
Temperatures should be given in degrees Celsius. Blood
the reviewers’ comments, he sends those back to the
pressures should be given in mmHg. All hematological
same reviewer, who makes the final recommendation for
and clinical chemistry measurements should be reported
acceptance or rejection of the manuscript.
69
GUIDANCE FOR DRAWING UP
MEDICAL CONNECTIONS • NUMBER 2 (38) • JUNE 2015
Notice to subscribers
or inside back cover: Euro 350 1 issue, 1400 4 issues. Full
Te annual subscription rates for 2015: 80 RON
colour page ouside back cover: Euro 400 1 issue, 1600 4
individual, 160 RON institutional. Foreing subscribers:
issues. Bank account: Colegiul Medicilor Satu Mare, CUI
75
$ individual, 150
$ institutional. Additional postage:
9839430, Banca Transilvania, branch Agenţia Golescu
surface mail 20
$, for overseas air mail 40
$. Bank
Satu Mare, IBAN: RO21BTRL03101205K39262XX
account: Colegiul Medicilor Satu Mare, CUI 9839430,
(RON) IBAN: RO62 BTRL 0310 2202 K392 62XX
Banca Transilvania, branch Agenţia Golescu Satu Mare,
(USD) Swift: BTRLRO22.
IBAN: RO38 BTRL 0310 1202 K392 62XX (RON)
IBAN: RO62 BTRL 0310 2202 K392 62XX (USD)
© Copyright Conexiuni Medicale
/ Medical
Swift: BTRLRO22. Orders should be sent to the
Connections, Satu Mare, 2015
Editorial Office, Eroilor Revoluţiei Pl. no.23-440055
No part of this publication may be reproduced,
Satu Mare, Romania. Tel./Fax:
+40-261-710456 or
stored in a retrieval system or transmitted in any form or
+40-361-408164, or by e-mail: colmedsm@gmail.com.
by any means without prior permission in writing of
Conexiuni Medicale
/ Medical Connections.
Notice to advertisers
Permission is not however required to copy abstracts of
Applications for advertisement space and for rates
papers or of articles on condition that a full reference to
should be addressed to the Editorial Office of Conexiuni
the source is shown. Correspondence regarding
Medicale / Medical Connections. 2015 advertising rates
permission to reprint all or part of any article
are Euro 200 full (A4) colour page, 1 issue, and Euro 800
published in this journal should be addressed to the
full colour page, 4 issues. Full colour page on inside front
Editor, e-mail: colmedsm@gmail.com
70
EDITORIAL
Declarația de la Praga
Prin semnarea acestei declarații, noi, președinții
îngrijirilor de sănătate, precum și pentru siguranța
Camerelor și Asociațiilor Naționale Medicale, întruniți
pacientului în Europa. Având acest lucru în minte,
la Praga la data de 12 iunie 2015, ne exprimăm dorința
prețuim activitatea organizațiilor internaționale care
de a ne întări eforturile de colaborare și să ne oferim
operează în Europa și la care organizațiile și asociațiile
asistență mutuală și sprijin în interesul tuturor
noastre sunt membre.
membrilor organizațiilor și asociațiilor pe care le
În același timp, apelăm de asemenea la organizațiile
reprezentăm.
internaționale de sănătate, din partea membrilor noștri,
Scopurile noastre comune, atât la nivel european cât
ca acestea să-și îmbunătățească diviziunea muncii și să
și la nivelul statelor individuale, sunt:
facă pași spre încurajarea unei colaborări mai eficiente.
1. Sprijinul democrației și respectul drepturilor
Suntem hotărâți să reorganizăm și să ne concentrăm
fundamentale ale omului și ale libertăților civile;
asupra organizațiilor medicale europene, astfel ca
2. Sprijinul și facilitarea dezvoltării în domeniul
medicii europeni să fie mai bine și mai puternic
științei medicale;
reprezentați la nivel european, cu mai puține costuri.
3. Îndepărtarea inegalității și injustiției în ceea ce
Vom promova cooperarea directă și vom încuraja
privește accesul la îngrijirile de sănătate și
schimbul de informații, pentru a maximiza eficiența
tratament medical, cu accent special pentru
resurselor financiare și umane disponibile. Pentru a
țările aflate în criză umanitară sau economică;
atinge aceste scopuri, organizațiile medicale europene ar
4. Accent pe importanța eticii profesionale în
trebui să utilizeze oportunitatea de a lucra împreună la
medicină;
Bruxelles.
5. Susținerea principiului autonomiei profesionale
În oricare caz în care autonomia unuia sau mai
pentru deciziile clinice, văzut ca și o garanție a
multor membri ai organizațiilor noastre este amenințată,
îngrijirilor de înaltă calitate;
ne declarăm gata să furnizăm asistență și sprijin colegilor
6. Îmbunătățirea condițiilor de muncă și a celor
noștri. Vom respecta, de asemenea, principiul
economice pentru medici;
solidarității reciproce în cazul în care autoguvernarea
7. Monitorizarea oricărei acțiuni politice europeană
profesională a medicilor este subminată.
sau națională în pregătire, sau a oricărui impact
Praga, la 12 iunie 2015
asupra sănătății sau îngrijirilor de sănătate, cu
scopul de a avea ”sănătate în toate politicile”.
Albania - Dr. Fatmir Brahimaj, Președinte al
Unele din organizațiile și asociațiile noastre reunesc
Ordinului Medicilor din Albania
medici pe baza voluntariatului. Altele sunt organizații
Austria - Dr. Harald Mayer, Vicepreședinte al
medicale autoguvernate, desemnate prin lege și care au
Camerei Medicale din Austria
autoritatea atât de a reglementa accesul în profesia
Belgia - Dr. Roland Lemye, Vicepreședinte al
medicală, cât și de a lua măsuri disciplinare împotriva
Belgian Association of Medical Unions
propriilor membri. Ca rezultat, aceste organizații pot fi
Bulgaria - Dr. Galinka Pavlova, Vicepreședinte al
diferite în ceea ce privește impactul lor asupra viitorului
Asociației Medicale din Bulgaria
medicinei și a profesiei medicale. Totuși, noi considerăm
Croaţia - Dr. Hrvoje Šobat, Președinte al
toate organizațiile și asociațiile naționale medicale,
Comitetului pentru Cooperare Internațională al
indiferent de statutul lor oficial, ca fiind egale.
Camerei Medicale din Croația
Cooperarea dintre medici și organizațiile lor este
Cehia - Dr. Milan Kubek Președinte al Camerei
esențială pentru dezvoltarea viitoare a medicinei, a
Medicale din Cehia
71
EDITORIAL
MEDICAL CONNECTIONS • NUMBER 2 (38) • JUNE 2015
Estonia - Dr. Lembi Aug, Președinte al Asociației
Polonia - Dr. Maciej Hamankiewicz, Președinte
Medicale din Estonia
al Camerei Medicilor și Dentiștilor din Polonia
Finlanda - Dr. Tuula Rajaniemi, Președinte al
Portugalia - Prof. Dr. José Manuel Silva,
Asociației Medicale din Finlanda
Președinte al Asociației Medicale din Portugalia
Franța - Dr. Patrick Bouet, Președinte al the
România - Dr. Călin Bumbuluţ, Vicepreședinte
Consiliului Medical din Franța
al Colegiului Medicilor din România
Germania - Prof. Dr. Frank Ulrich Montgomery,
Slovacia - Dr. Marian Kollár, Președinte al
Președinte al Asociației Medicale din Germania
Camerei Medicale din Slovacia
Greece - Dr. Michail Vlastarakos, Președinte al
Slovenia - Brane Dobnikar, Secretar General al
Asociației Medicale Panelenice
Camerei Medicale din Slovenia
Ungaria - Dr. István Éger, Președinte al Camerei
Spania - Dr. Juan José Rodríguez Sendín,
Medicale din Ungaria
Președinte al Consiliului general al Colegiilor Medicale
Israel
- Dr. Efraim Zohav, Vicepreședinte al
din Spania
Asociației Medicale din Israel
Suedia - Dr. Heidi Stensmyren, Președinte al
Italia
- Dr. Roberta Chersevani, Președinte al
Asociației Medicale din Suedia
FNOMCeO
Turcia - Dr. Bayazit Ilhan, Președinte al Asociației
Olanda - Prof. Dr. Rutger Jan van der Gaag,
Medicale din Turcia
Președinte al Asociației Medicale Regale din Olanda
72
Original articles
OSTEOSINTEZA ÎN FRACTURILE SUBTROHANTERIENE PE OS
PATOLOGIC. ASPECTE CLINICE
Mihai Lazăr Mioc1, Radu Prejbeanu2, Dinu Vermesan2, Horia Haragus2
1Clinica de Ortopedie și Traumatologie I, Spitalul Clinic Județean de Urgență Timișoara, 2Universitatea de Medicină și
Farmacie „Victor Babeș” Timișoara
Adresa pentru corespondență:
Mihai Lazăr Mioc
Email: mihaillazarmioc@gmail.com
Primit: 05.05.2015
Acceptat: 06.06.2015
Med Con June 2015 Vol 10, No 2, 73-79
Rezumat
os patologic este o colaborare interdisciplinară bună
între chirurgul ortoped, oncolog și radiolog.
Fracturile pe os patologic au fost și încă sunt un
Cuvinte cheie: fractura subtrohanteriană pe os
subiect delicat în specialitatea care le acoperă. Pacienții
patologic, vindecare osoasă, implant intramedular
în cauză necesită investigații preoperatorii amanunțite și
o abordare curativă multidisciplinară. Dificultatea
Introducere
tratamentului constă în multitudinea de complicații
care pot apărea atât în timpul cât și după intervenția
Fracturile pe os patologic au fost și încă sunt un
chirurgicală. Aceste complicații sunt legate adesea de
subiect delicat în specialitatea care le acoperă. Acestea
tipul implantului folosit, tiparul fracturii cât și de starea
sunt unele dintre cele mai importante cauze de
biologică a bolnavului. Fracturile subtrohanteriene
morbiditate la pacienții cu metastaze osoase
[1].
necesită un implant intramedular care trebuie să se
Pacienții în cauză necesită investigații preoperatorii
extindă proximal până în regiunea colului și capului
amănunțite și o abordare curativă multidisciplinară.
femural și distal către diafiza femurală, cel puțin. Acest
Dificultatea tratamentului constă în multitudinea de
lucru îi permite implantului să formeze o punte între
complicații care pot apărea atât în timpul, cât și după
capul și colul femural și porțiunea medio-distală a
intervenția chirurgicală. Aceste complicații se pot datora
diafizei femurale. Cuiul gamma lung
(Stryker) este
fie procesului tumoral în sine, fie tratamentului care le
considerat un implant potrivit și pentru cazurile în care
este administrat (chimioterapie, radioterapie). Fracturile
există riscul unei fracturi iminente subtrohanteriene pe
patologice sunt considerate un factor de prognostic slab
os patologic. Opțiunile chirurgicale trebuie judecate cu
în rândul pacienților cu osteosarcom. Scully și colab. au
atenție, deoarece pot exista cazuri în care o astfel de
desfășurat un studiu care a investigat dacă într-adevar
intervenție poate cauza declinul bolnavului. Vom descrie
acest lucru este adevărat și dacă aceștia pot beneficia de
6 cazuri diferite cu fracturi subtrohanterie pe os
tehnici de tip reconstructiv fără a avea un risc
patologic, fiecare dintre ele fiind tratată în concordanță
suplimentar de a dezvolta comorbidități postoperatorii.
cu tipologia fracturii și a bolnavului. Cheia unei abordări
Aceștia au concluzionat că riscul de recurență locală și
corecte a pacienților cu tumori care suferă o fractură pe
deces nu este crescut semnificativ de către procedura
Osteosinthesys in Subtrochanteric Pathologic Bone Fractures. Clinical Challenges
73
Original articles
MEDICAL CONNECTIONS • NUMBER 2 (38) • JUNE 2015
chirurgicală în sine la pacienți selectionați cu atenție.
pacienților și am efectuat o analiză comparativă a
Orice clinician trebuie să ia în considerare factori de
acestora cu literatura de specialitate existentă.
prognostic pozitiv cum ar fi consolidarea osoasă și
Cazul Nr. 1. Un bărbat în vârstă de 61 de ani este
răspunsul la chimioterapie când această opțiune
adus în cadrul serviciului de urgență cu durere la nivelul
chirurgicală este aleasă [2].
coapsei și regiunii inghinale stângi, care a debutat în
Marea problemă a fracturilor pe os patologic o
urmă cu
10 zile. Acesta afirmă inexistența unui
reprezintă rata mare de eșec a implanturilor. Un studiu
traumatism la momentul debutului simptomatologiei,
realizat de Sternheim și colab. a arătat că în cazul fixării
durerea începând în momentul coborârii unor trepte. O
interne a fracturilor pe os patologic la pacienții care
radiografie realizată în urma cu 9 zile nu prezenta semne
efectuează radioterapie rata de complicații este foarte
clare, fractura fiind incompletă, abia vizibilă. În cazul
mare. Studiul a fost realizat pe 22 de pacienți cu fracturi
corelării durerii și deficitului funcțional cu scăderea în
patologice induse de radioterapie, iar autorii au observat
greutate și istoricul de fumător cronic, pacientul ar fi
o lipsă de consolidare de 82% (18 pacienți) și o rată a
putut fi diagnosticat inițial cu foarte mare ușurință în
reintervențiilor de revizie de
59% (13 pacienți) [3].
urma efectuării unui computer tomograf
(CT).
Concluzia trasă a fost că pacienții cu fracturi pe os
Evaluarea radiografiilor unui astfel de pacient trebuie
patologic induse de radioterapie au un risc crescut de
realizată într-un context clinic, pacientul fiind privit ca
neconsolidare osoasă, întârziere în consolidare precum și
un tot unitar. Intervenția chirurgicală a constat în
de deteriorare al implantului. Aceste lucruri fiind spuse,
efectuarea unei artroplastii totale de șold cu o proteză
se pune problema utilității efectuării osteosintezei la
totală de șold de revizie de tip Revitan. Odată ce au fost
acești pacienți.
trimise probe din tumora excizată
(cap femural,
Fracturile de la nivelul șoldului reprezintă un mare
trohanter,
regiune subtrohanteriană)
examenul
factor incapacitant, mai ales când acestea survin în
histopatologic a relevat o metastază a unui carcinom
rândul pacienților bolnavi de cancer. Scopul nostru este
pulmonar
(Figura
1). După
10 zile postoperator,
să prezentăm diferite tipuri de tratament și rezultate
pacientul a fost externat și redirecționat către un
pentru a putea înțelege mai bine procesul curativ și
departament de oncologie în vederea inițierii
pentru a determina funcționalitatea unor anumite
tratamentului specific.
tehnici chirurgicale și implanturi specifice în vederea
Cazul Nr. 2. Pacienta este o femeie în vârstă de 51
obținerii unor rezultate funcționale bune, cu o rată a
de ani cunoscută în antecedente cu neplasm mamar
complicațiilor scăzută.
operat (mastectomie, radioterapie) precum și metastaze
pelvice și vertebrale. Imaginile axiale obținute cu
Material și metodă
ajutorul CT-ului ne arată zona de liză osoasă de la
nivelul colului femural, precum și locul producerii
Am căutat în baza de date electronică a Spitalului
fracturii. Imaginile coronare ilustrează extinderea
Județean pacienți internați cu diagnosticul de fractură
tisulară a tumorii în mușchii înconjurători din zona
subtrohanteriană în ultimii 5 ani. Am inclus apoi în
femurală proximală. Reconstrucția
3D ne ajută la
studiu doar acei pacienți cu fracturi patologice
identificarea altor eventuale traiecte de fractură extinse
(malignitate cunoscută sau diagnosticată pentru prima
distal. Radiografia este efectuată conform protocolului
dată). Am revizuit cu atenție foile de observație ale
(Figura 2). Pacienta a refuzat intervenția chirurgicală pe
A
B
C
Figura 1. A. Radiografie antero-posterioară de bazin a pacientului, pe care se poate observa fractura, precum și densitatea
osoasă scăzută din acea zonă. B. Poza intraoperatorie după poziționarea protezei de revizie. C. Poza cu formațiunea tumorală
rezecată. Capul femural lipsește, acesta fiind rezecat separat
74
Mioc et al
MEDICAL CONNECTIONS • NUMBER 2 (38) • JUNE 2015
Original articles
A
B
C
D
E
Figura 2. A,B. Imaginile axiale CT arată zona de liză osoasă precum și fractura. C. Reconstrucția coronară
ilustrează extinderea tumorală adiacentă. D. Reconstrucția 3D crează o imagine precisă care delimitează
suprafețele osoase. E. Radiografie anteroposterioară a articulației coxofemurale drepte
A
B
Figura 3. A. Radiografie antero-posterioară a șoldului care ilustrează deteriorarea șurubului
cervico-cefalic. B. Radiografia porțiunii distale a femurului pe care se observă ruperea celor
două șuruburi de zăvorâre distală
proprie răspundere, fiind externată din spital cu indicații
în ultima lună, localizată la nivelul regiunii inghinale
de tratament conservator.
stângi și a coapsei proximale stangi. Istoricul pacientei
Cazul Nr. 3. O femeie în vârstă de 62 de ani se
relevă o fractură subtrohanteriană pe os patologic
prezintă în cadrul clinicii noastre cu durere accentuată stabilizată cu o tijă gamma lungă în urmă cu aproximativ
Osteosinthesys in Subtrochanteric Pathologic Bone Fractures. Clinical Challenges
75
Original articles
MEDICAL CONNECTIONS • NUMBER 2 (38) • JUNE 2015
A
B
C
Figura 4. A. Radiografia primei fracturi subtrohanteriene stabilizate cu o tijă gamma lungă. B. Radiografia postoperatorie
a fracturii de humerus. C. Radiografie antero-posterioară de bazin care ilustrează cea de-a treia fractură pe os patologic
11 luni. Radiografiile actuale arată deteriorarea
implantului, cauzată în mare parte de lipsa de
consolidare existentă. Cuiul cervico-cefalic nu se mai
regăsește la nivelul colului și capului femural respectiv,
cauzând durere și instabilitatea implantului, care a dus
la ruperea celor două șuruburi distale. Provocarea
tehnică constă acum în îndepărtarea materialului de
osteosinteză și efectuarea unei artroplastii totale de șold
cu o proteză de șold cu coadă lungă. După investigații
suplimentare s-a decis că starea actuală de sănătate a
bolnavului nu îi permite acestuia să fie supus unei
intervenții chirurgicale de o mare amploare precum
aceasta. Pacientul trebuie evaluat corespunzător atât din
punct de vedere a stării biologice, cât și al stocului osos
pentru a asigura șanse mari de reușită ale intervenției
chirurgicale.
Pacienta a fost evaluată cu atenție de anestezist și de
Figura 5. Radiografia antero-posterioară de femur pe care se
chirurg, ajungându-se la concluzia că intervenția de
observă poziționarea corectă a șurubului cervicocefalic și
revizie nu este o opțiune bună în cazul de față, starea
calibrarea corectă a tijei centromedulare
alterată a pacientei pledând împotriva acestui lucru.
Cazul Nr. 4. Un caz deosebit este reprezentat de o
pacientă în vârstă de 63 de ani care a suferit 3 fracturi pe
Cazul Nr. 5. Un pacient de sex masculin în vârstă
os patologic consecutive cauzate de metastaze osoase -
de 85 de ani este adus în serviciul ortopedic de urgență
urmare a unui carcinom mamar (operat). Pacienta mai
în urma unei căzături de la proprie înălțime. Între
suferea totodată de metastaze pelvine și vertebrale. Cu
antecedentele patologice ale acestuia se regăseşte o
toate aceste afecțiuni însă, pacienta se putea mobiliza
tumoră de vezică urinară operată și metastazată
singură, neavând nevoie de o persoană ca și ajutor.
pulmonar. Acesta prezintă de asemenea insuficiență
Prima fractură a survenit în zona subtrohanteriană,
respiratorie, cardiacă, renală, intervenție de by-pass
aceasta fiind stabilizată cu un cui gamma lung. La 8 luni
aortic în trecut precum și demență Alzheimer în stadiu
după operație pacienta suferă o fractură la nivelul
incipient. Dorința aparținătorilor a fost ca pacientul să
diafizei humerale, aceasta fiind fixată intern cu o tijă
fie supus intervenției chirurgicale, în ciuda riscurilor
centromedulară. După încă 10 luni pacienta suferă încă
asociate care le-au fost prezentate. Tratamentul
o fractură subtrohanteriană la nivelul femurului
chirurgical ales a fost reducerea închisă și fixarea internă
contralateral. La momentul celei de a treia fracturi,
cu tijă gamma lungă, datorită aspectului minim invaziv
primele două implanturi erau optime din punct de
al intervenției și biomecanicii implantului care permite
vedere radiografic.
mobilizarea precoce. Pacientul a fost externat la 7 zile
76
Mioc et al
MEDICAL CONNECTIONS • NUMBER 2 (38) • JUNE 2015
Original articles
A
B
C
Figura 6. A. Radiografia pelvină inițială, pe care se observă traiectul fracturii fără deplasare. B. Radiografia de control
(după 2 săptămâni) care evidențiază agravarea patologiei. C. Radiografia postoperatorie după implantarea
tijei gamma lungi
postoperator cu indicația de kintetoterapie și mobilizare
care s-au întâlnit un număr de 7 fracturi subtrohanteriene
cu sprijin (cadru de mers). Reducerea închisă și fixarea
(unul bilateral), cu o vârstă medie de 68,5 ani (50-86).
internă cu tije centromedulare reprezintă un tip de
Un pacient a fost operat cu o proteză de șold de revizie
intervenție chirurgicală care asigură o sângerare minimă,
(Revitan); la 4 dintre ei s-a implantat tija gamma lungă
ideală pentru pacienții cu afecțiuni asociate care au
și 2 au fost tratați conservator din diverse motive. Am
nevoie de intervenții cu durată scurtă și sângerare
avut un caz de infecție superficială la nivelul plăgii
minimă. Implantul este unul dinamic care permite
postoperatorii și am înregistrat un implant deteriorat
încărcarea precoce, astfel mărind șansa de consolidare.
(cui gamma lung) la 8 luni după operație. Examenul
Rezultatul funcțional a fost unul mulțumitor, pacientul
histopatologic al probelor recoltate a determinat ca și
putând mobiliza singur piciorul, durerea fiind de
tumori primare 3 neoplasme mamare, un carcinom
asemenea abolită.
pulmonar, un adenocarcinom prostatic și un carcinom
Cazul Nr. 6. Un pacient în vârstă de 78 de ani acuză
de vezică urinară.
durere la nivelul coapsei stângi în momentul prezentării
la medic. În istoricul acestuia se regăsește un
Discuții
adenocarcinom prostatic operat și metastaze cerebrale
operate
(în urmă cu
4 ani). Pe radiografia inițială,
Există o multitudine de complicații care se știe că
fractura este fără deplasare și se recomandă tratamentul
apar în decursul tratamentului fracturilor pe os
conservator al acesteia, cu o reevaluare după 2 săptămâni.
patologic, acestea fiind strâns legate de tipul implantului,
În momentul celei de-a doua radiografii se observă
tipologia fracturii și starea biologică a bolnavului [4,5].
deplasarea fracturii și se optează pentru tratamentul
După cum s-a vazut înainte, deteriorarea implantului
chirurgical. Atât radiografia postoperatorie, cât și
este un fapt binecunoscut, descris adesea în literatura de
rezultatele funcționale sunt de bună calitate. Intervenția
specialitate. În momentul evaluării pacientului în
chirurgicală și inclusiv osteosinteza fracturii sunt o
vederea alegerii opțiunii terapeutice și a implantului,
indicație puternică pentru acești pacienți, deoarece le
medicul trebuie să ia în considerare toate aspectele care
permite să își mențină aceeași calitate a vieții, în ciuda
pot duce la deteriorarea osteosintezei. Stocul osos
afecțiunii terminale de care suferă. Paleația reprezintă un
insuficient,
comorbiditățile,
radioterapia
și
aspect foarte important în tratamentul bolnavilor de
chimioterapia, sunt toți factori care influențează negativ
cancer atunci când rezecția radicală nu mai este o
procesul local de vindecare. Scopul principal al efectuării
opțiune.
intervenției chirurgicale la un pacient cu metastaze
osoase este reprezentat de opțiunea mobilizării precoce
Rezultate
și a unei recuperări facile.
Implantul potrivit pentru cel de-al doilea caz
Dintre cei 108 pacienți internați în cadrul clinicii
prezentat ar fi fost o proteză de șold cu coada lungă
noastre cu diagnosticul de fractură subtrohanteriană, 6
datorită extinderii tumorale în capul și colul femural,
au avut fracturile pe os patologic, cu afecțiuni maligne
acest lucru reprezentând indicație de rezecție. Fracturile
diagnosticate anterior sau pentru prima dată la
subtrohanteriene necesită un implant intramedular
momentul internării. Am avut 3 bărbați și 3 femei la
extins diafizar distal pe femur, dar care să poată fixa
Osteosinthesys in Subtrochanteric Pathologic Bone Fractures. Clinical Challenges
77
Original articles
MEDICAL CONNECTIONS • NUMBER 2 (38) • JUNE 2015
totodată și capul împreună cu colul femural. Acest
datorită rezultatului favorabil obținut din punct de
implant formează o punte între colul femural și regiunea
vedere funcțional și al durabilității implantelor.
medio-distală a diafizei femurale. Stabilitatea potrivită a
Tratamentul ales în acest caz și-a atins scopul de a reda
implantului stă în efectuarea corectă a intervenției,
pacientului mobilitatea pe care o avea înaintea
precum și într-un stoc osos de calitate al pacientului.
fracturilor, chiar dacă pacientul era supus radioterapiei
Acest stoc osos, însă, este adesea de slabă calitate, de
și chimioterapiei. Astfel de cazuri necesită o colaborare
multe ori în malignitățile osoase existând zone de liză
excepțională între medicul chirurg ortoped și medicul
osoasă. Investigația CT poate determina cu mare precizie
oncolog în vederea optimizării tratamentului.
traiectul exact al fracturii, pattern-ul fragmentelor osoase
În ciuda ratei de deteriorare a materialelor de
și extinderea zonelor de liză osoasă. Prejbeanu și colab.
osteosinteză, implantele centromedulare reprezintă o
au sugerat folosirea cimentului de polimetilmetacrilat
bună indicație pentru acest tip de pacienți. Incizia este
(PMMA) pentru umplerea defectelor oaselor lungi
mică, sângerarea minimală, ratele de infecție nu sunt
rămase în urma rezecțiilor tumorale. Aceștia nu au găsit
mărite față de plăci unde se fac incizii mari și implantul
complicații imediate și nu au avut deteriorări ale
în sine permite încărcarea precoce a membrului și
implantelor în condițiile în care pacienții au fost lăsați să
mobilizarea intensă. Osteosinteza cu tije gamma lungi
se deplaseze cu încărcare pe membrul pelvin imediat
este potrivită și în tratamentul profilactic al fracturilor
postoperator [6]. Mai mult, a fost descrisă formarea unei
care stau să se producă la pacienții cu metastaze osoase,
membrane cu rol nutritiv și inductor al vindecării, după
rezultate bune fiind publicate de-a lungul ultimilor ani
folosirea acestui ciment. Această membrană acționează
[11,12,13].
prin crearea unui mediu nutritiv pentru os, stimulând
consolidarea și revascularizarea în cazul reimplantării
Concluzii
unei grefe osoase [7].
Protezele de șold cu coadă lungă reprezintă o soluție
Fracturile subtrohanteriene au adesea un traiect
viabilă pentru reconstrucția articulației coxofemurale în
foarte greu de stabilizat. Pacienții afectați de tumori
fracturile subtrohanteriene pe os patologic care necesită
reprezintă un grup special de persoane, care adesea pe
rezecție tumorală. Steensma și colab. subliniază că
lângă fractură prezintă multe alte afecțiuni asociate.
acestea sunt o indicație puternică mai ales pentru
Deteriorarea implanturilor se datorează adesea calității
pacienții cu fracturi cu deplasare și speranță mare de
proaste a stocului osos, sau a unor alterări din cadrul
viață. Reprezintă tratamentul ales standard în cazul
procesului de consolidare osoasă. Chiar și așa,
chirurgilor cu o experiență mai mare de 10 ani. Aceiași
majoritatea complicațiilor postoperatorii nu sunt legate
autori au efectuat o recenzie a literaturii de specialitate și
de deteriorarea implantului, ci mai degrabă au legătură
au concluzionat că majoritatea autorilor au reportat rate
cu starea biologică precară a pacienților. Există
mici de complicații ale reconstrucției cu astfel de
posibilități de augmentare a fixării interne cu ajutorul
endoproteze. Deteriorarea implantului și ratele de
cimentului din PMMA, a grefelor osoase pediculate, sau
reintervenție au fost, de asemenea, mai scăzute în cazul
a substituenților osoși care se află în curs de dezvoltare
artroplastiei cu proteze de revizie, comparativ cu cuiul
în cadrul industriei farmaceutice. Suntem de părere că
gamma lung [8].
tija gamma lungă este un implant potrivit din punct de
Samsani și colab. au realizat un studiu pe un lot de
vedere biomecanic în condițiile în care pregătirea
36 de pacienți cu fracturi subtrohanteriene cauzate de
preoperatorie este desfășurată cu atenție și pacientul este
metastaze osoase tratate cu osteosinteză cu cui gamma
investigat corespunzător. Acest tip de fixare internă
lung. Dintr-un număr de 39 de operații aceștia au avut
permite bolnavului să se mobilizeze postoperator și
14 complicații variate, cum ar fi: insuficiența cardiacă,
înlesnește procesul de recuperare medicală. Cheia unei
renală, infecție toracică, șuruburi distale rupte, migrarea
îngrijiri la standarde înalte a unui pacient cu fractura pe
distală a cuiului și cut-out-ul șurubului cervico-cefalic
os patologic datorată unei metastaze osoase stă într-o
[9]. Deteriorarea materialului de osteosinteză în acest
bună colaborare între chirurg, oncolog și radiolog.
caz este cunoscută și se datorează adesea lipsei de
consolidare osoasă. Chiar dacă adesea fixarea este bună,
se recomandă schimbarea materialului de osteosinteză
Referințe
dacă după 6 luni nu se observă semne de consolidare
osoasă [10].
1. Swanson KC, Pritchard DJ, Sim FH. Surgical
Asocierea a trei fracturi patologice consecutive (cum
treatment of metastatic disease of the femur. J Am Acad
s-a vazut în cazul 4) dă o notă deosebită cazului, mai ales
Orthop Surg 2000;8:56-65.
78
Mioc et al
MEDICAL CONNECTIONS • NUMBER 2 (38) • JUNE 2015
Original articles
2. Scully SP, Ghert MA, Zurakowski D, Tompson RC,
8.
Steensma M, Healey JH. Trends in the surgical
Gebhardt MC. Pathologic fracture in osteosarcoma:
treatment of pathologic proximal femur fractures among
prognostic importance and treatment implications. J
Musculoskeletal Tumor Society members. Clin Orthop
Bone Joint Surg Am 2002;84-A (1):49-57.
Relat Res 2013;471(6):2000-6.
3. Sternheim A, Saidi K, Lochab J, O’Donnell PW,
9.
Samsani SR, Panikkar V, Georgiannos D, Calthorpe
Eward WC, Griffin A, Wunder JS, Ferguson P.
D. Subtrochanteric metastatic lesions treated with the
Internal fixation of radiation-induced pathological
long gamma nail. Int Orthop 2003;27(5):298-302.
fractures of the femur has a high rate of failure. Bone
10.
Maes M, Deboer Y, Brabants K. Failure of the
Joint J 2013;95-B(8):1144-8.
titanium trochanteric gamma nail in ununited
4. Kerr PS, Jackson M, Atkins RM. Cardiac arrest during
metastatic
fractures.
Acta
Orthop Belg
intramedullary nailing for femoral metastasis. J Bone
2012;78(4):552-7.
Joint Surg 1993;75:972-3.
11.
van Doorn R, Stapert JW. Treatment of impending and
5. Weikert DR, Schwartz HS. Intramedullary nailing for
actual pathological femoral fractures with the long
impending pathological subtrochanteric fractures. J
Gamma nail in Te Netherlands. Eur J Surg
Bone Joint Surg 1991;73:668-70.
2000;166(3):247-54.
6. Prejbeanu R, Daliborca VD, Dumitrascu V, Vermesan
12.
Edwards SA, Pandit HG, Clarke HJ. Te treatment of
D, Mioc ML, Abbinante A, Cagiano R. Application of
impending and existing pathological femoral fractures
acrylic spacers for long bone defects after tumoral resections.
using the long gamma nail. Injury 2001;32(4):299-
Eur Rev Med Pharmacol Sci 2013;17(17):2366-71.
306.
7. Biau DJ, Pannier S, Masquelet AC, Glorion C. Case
13.
Moholkar K, Mohan R, Grigoris P. Te Long Gamma
report: reconstruction of a 16-cm diaphyseal defect after
Nail for stabilization of existing and impending
Ewing’s resection in a child. Clin Orthop Relat Res
pathological fractures of the femur: an analysis of 48
2009;467:572-7.
cases. Acta Orthop Belg 2004;70(5):429-34.
Osteosinthesys in Subtrochanteric Pathologic Bone Fractures. Clinical Challenges
79
Scrisoare de informare
Având în vedere activităţile revistei Medical Connections/Conexiuni Medicale privind recenzia şi
editarea articolului mai jos numit, efective odată cu acceptarea acestuia de către Medical Connections/
Conexiuni Medicale (la care se face referinţă în continuare ca Med Con), autorul (autorii) atribuie prin
prezenta către Med Con, reprezentanţilor legali, succesorilor şi mandataţilor ei, toate drepturile de
publicare şi fiecare şi oricare drept privind articolul în întreaga lume, în orice limbă şi în orice mediu, chiar
şi ca lucrare audiovizuală, colectivă, compilaţie, lucrare derivată, lucrare în comun, operă literară,
înregistrare audio, în imagini, grafică, operă de artă vizuală, program de calculator, sau orice alt mediu
existent acum sau care va deveni ulterior uzual, inclusiv drepturile de autor şi dreptul de a înregistra
dreptul de autor, precum şi dreptul de a asigura orice reînnoire, reeditare şi extinderea unor astfel de
drepturi de autor în România sau în orice ţară străină. Autorul (Autorii) pot solicita permisiunea de a
reutiliza manuscrisul sau porţiuni din acesta. Astfel de cereri trebuie să fie în scris, iar permisiunea dată de
Med Con nu va fi refuzată în mod nejustificat. Autorul (Autorii) desemnează Med Con ca reprezentant
legal al acestuia (acestora) pentru a întocmi orice documente pe care Med Con le consideră necesare
pentru a înregistra oricare dintre aceste garanţii la oficiul de copyright românesc sau din alte ţări. Autorul
(Autorii) garantează de asemenea către Med Con că articolul este lucrarea originală a autorului (autorilor),
cu excepţia materialelor provenite din domeniul public, iar fragmente din alte lucrări pot fi incluse doar cu
acordul prealabil scris al titularilor drepturilor de autor, că articolul nu a fost publicat anterior, nu a fost
prezentat, sau acceptat pentru publicare în altă parte, că autorul (autorii) nu au nicio relaţie, financiară sau
de altă natură, cu orice producător sau distribuitor de produse evaluate în această lucrare, sau, dimpotrivă,
orice astfel de relaţie a fost dezvăluită într-o notă de subsol la articol, sau că această cerinţă este irelevantă
pentru lucrare.
Titlul manuscrisului: _ _______________________________________________________
Nume:
Semnătură/Data:
_ ___________________________________
_ ___________________________________
_ ___________________________________
_ ___________________________________
_ ___________________________________
_ ___________________________________
_ ___________________________________
_ ___________________________________
_ ___________________________________
_ ___________________________________
_ ___________________________________
_ ___________________________________
_ ___________________________________
_ ___________________________________
Vă rugăm trimiteţi pe fax +40-261-710456 această scrisoare la sediul editorului Med Con.
Original articles
EVALUAREA SANGVINĂ A UNOR CITOKINE ANTIINFLAMATORII
ÎN ARTRITA PSORIAZICĂ
Camelia Ciacli1, Maria Puschita1, Camelia Vidita Gurban2
1Departamentul Imunologie, Facultatea de Medicină, Farmacie și Medicină Dentară, Universitatea de Vest „Vasile
Goldiș” Arad, 2Departamentul Biochimie, Universitatea de Medicină și Farmacie „Victor Babeș” Timișoara
Adresa pentru corespondență:
Camelia Ciacli, MD PhD
Facultatea de Medicină, Farmacie și Medicină Dentară, Universitatea de Vest „Vasile Goldiș” Arad
Strada Feleacului nr 1, Arad, România
Email: cciacli@yahoo.com
Primit: 05.05.2015
Acceptat: 30.05.2015
Med Con June 2015 Vol 10, No 2, 81-85
Rezumat
Introducere
Scop: măsurarea nivelurilor de interleukină
4 și
Implicarea numeroaselor citokine în dezordinea
interleukină 13 din ser la pacienții cu psoriazis și artrită
inflamatorie de la nivel sangvin în artrita psoriazică
reumatoidă, comparativ cu grupul control, pentru a
generează un permanent antagonism între citokinele
evalua aspecte ale răspunsului imun sistemic.
proinflamatorii şi cele antiinflamatorii [1,2].
Metode: Studiul a fost efectuat pe trei grupuri:
Cooperarea existentă în scopul supresării naturale a
grupul 1 format din 27 de pacienți cu artrită psoriazică,
efectului proinflamator al interleukinei 1(IL-1) şi al factorului
grupul 2 cu 21 pacienți cu artrită reumatoidă și grupul
de necroză tumorală alfa
(TNF-α) determină expresia
control format din
20 de pacienți sănătoși. Pentru
crescută a interleukinei 4 (IL-4) şi a interleukinei (IL-13),
fiecare din aceste grupuri am identificat citokinele
care au rol protector la nivelul sinovialei inflamate [3,4,5,6].
inflamatorii din sânge.
Interleukina
4 este o citokină sintetizată de
Rezultate: În grupul 1, la majoritatea pacienților,
limfocitele TCD4+ de tip T2, ea fiind caracteristică
IL-4 serică nu a avut concentrații serice detectabile, iar
acestui subset de limfocite. Alături de aceste limfocite,
IL-13 a avut valori între 2,67 și 4,99 pg/ml, p1<0,01-
interleukina 4 mai este secretată şi de bazofile şi de
ES. În grupul 2, IL-4 serică la majoritatea pacienților nu
mastocite [7,8,9,10].
a avut concentrații serice detectabile, iar IL-13 a avut
Rezultatele studiilor comparative efectuate cu
valori între 2,21 și 13,32 pg/ml, p2<0,002-ES. În grupul
privire la rolul interleukinei
4 în apariţia artritei
control IL-4 nu a fost detectată în ser, iar IL-13 serică a
psoriazice şi a celei reumatoide, au aratat că această
avut valori între 2,05 și 3,35 pg/ml.
citokină determină pe lângă acţiunea antiinflamatorie şi
Concluzie: există diferențe semnificative privind
o acţiune de inhibare a proliferării sinoviocitelor, de
profilul citokinelor antiinflamatorii din serul pacienților
reducere a sintezei colagenazei, precum şi de augmentare
având psoriazis și respectiv artrită reumatoidă.
a sintezei IL-1Ra la nivelul sinoviocitelor [4,6].
Cuvinte cheie: artrită psoriazică, artrită reumatoidă,
Interleukina 13 are funcţii „de tip IL-4” dar mai
citokine antiinflamatorii
puţin intense. Sursa de interleukină
13 este
Blood Assessment of Some Anti-Inflammatory Cytokines in Psoriatic Arthritis
81
Original articles
MEDICAL CONNECTIONS • NUMBER 2 (38) • JUNE 2015
reprezentată de LTCD4+ (T0, T1 şi T2), precum
clinic general, completat cu investigaţii paraclinice care
şi de LTCD8+.
să excludă prezenţa altei afecţiuni autoimune asociate, a
Asupra
sistemului
mononuclear/macrofag,
unui proces neoplazic sau a unei infecţii sistemice.
interleukina 13 are atât o activitate inhibitorie, cât şi
Criterii de excludere
una de stimulare a funcţiei acestui sistem. Astfel,
Având în vedere, aşa cum am mai amintit, lipsa
interleukina
13 inhibă sinteza de citokine
unor criterii de diagnostic unanim acceptate, pentru o
proinflamatorii: IL-1, IL-1, IL-6, TNF-α, IFN-χ,
acurateţe deosebită a diagnosticului pozitiv la pacienţii
precum şi de chemokine de la acest nivel (IL-8).
incluşi în studiu am fost nevoiţi să excludem
În ceea ce priveşte concentraţia serică a interleukinei
numeroasele afecţiuni cu care uneori, la o examinare
13 la pacienţii cu artrită psoriazică, aceasta a fost mai
superficială, această afecţiune poate fi confundată.
redusă decât la pacienţii cu artrită reumatoidă. De
Astfel, au fost excluşi pacienţii cu: spondilită
asemenea, s-a observat că toţi pacienţii cu artrită
ankilopoetică,
osteoartrită,
sindrom artropatic
psoriazică au prezentat concentraţii mai mari ale
entezopatic seronegativ, artrită enteropatică din colita
interleukinei
13 în lichidul sinovial decât în sângele
ulceroasă şi din boala Crohn, sindromul Behcet, boală
periferic [7].
Whipple, gută, artrită lupică, artrită septic, sindrom
Reiter-Fiessinger-Leroy, artrite degenerative cu noduli
Scop
Heberden şi noduli Bouchard, boli ale metabolismului
osos diagnosticate pe baza unei anamneze detaliate, a
Scopul studiului nostru constă în evaluarea nivelelor
examenului clinic şi a investigaţilor de laborator (boala
serice ale unor citokine antiinflamatorii: interleukina 4
Paget, sindrom Cushing, mielom multiplu, limfomul
- prototipul citokinelor de tip T2 - şi interleukina 13
Hodgin, etc), consumatori de alcool, sindrom de
în artrita psoriazică, comparativ cu un lot martor şi cu
malnutriţie, deficit de vitamina D sau tratament cu
artrita reumatoidă, cu scopul de a evalua unele aspecte
impact pe metabolismul osos, pacienţii care au primit
ale răspunsului imun sistemic care există în aceste
în ultimele 12 luni tratament cu glucocorticoizi sau
afecţiuni.
metotrexat, alte afecţiuni care necesită tratament á la
long (peste 6 luni) cu glucocorticoizi, pacienţii care au
Material şi metodă
primit supliment nutritiv cu calciu sau vitamina D,
activitate fizică susţinută în ultimele 12 luni, femei cu
Studiul s-a realizat pe trei loturi de pacienţi:
vârstele de sub 40 ani, aflate în perioada de menopauză
Lotul 1 (pacienţi cu artrită psoriazică diagnosticaţi
precoce de diferite etiologii
(chirurgicale sau
pe baza criteriilor CASPAR (Te Classification Criteria
medicamentoase).
for Psoriatic Arthritis), alcătuit din 27 pacienţi (n=27),
De la fiecare pacient s-a recoltat sânge periferic;
dintre care 15 bărbaţi şi 12 femei, cu vârstele cuprinse
probele au fost păstrate la -70°C până în momentul
între 27-50 ani.
determinărilor.
Lotul 2 (pacienţi cu artrită reumatoidă diagnosticaţi
Determinarea interleukinei 4
pe baza criteriilor Asociaţiei Americane de Reumatologie),
Interleukina 4 (IL-4) a fost determinată prin tehnica
format din 21 pacienţi (n=21), dintre care 13 femei şi 8
imunoenzimatică de tip sandwich ELISA
(Enzyme
bărbaţi, cu vârste cuprinse între 25-52 ani.
Linked Immuno Sorbant Assay) folosind trusa ELISA,
Lotul martor (subiecţi sănătoşi cu vârsta medie de
Endogen, Woburg, MA, USA (sensibilitate <2 pg/ml,
30 ani fără afecţiuni reumatismale, infecţioase,
precizia de reproductibilitate între determinări fiind de
neoplazice sau autoimune), format din
20 pacienţi
CV<10%). Curba standard a fost construită cu ajutorul
(n=20), dintre care 9 femei şi 11 bărbaţi.
a şase standarde: 0 pg/ml, 10,24 pg/ml, 25,5 pg/ml, 64
Criterii de includere
pg/ml, 160 pg/ml şi 400 pg/ml. Pentru determinare
În studiul nostru au fost incluşi pacienţi cu vârste
s-au utilizat 50 μg de standarde, respective probe (ser şi
cuprinse între
27-50 ani, diagnosticaţi cu artrită
lichid sinovial), în duplicat.
psoriazică pe baza criterilor CASPAR şi cu artrită
Determinarea interleukinei 13
reumatoidă diagnosticată pe baza criteriilor Asociaţiei
Interleukina
13 (IL-13) a fost determinată prin
Americane de Reumatologie. Toţi pacienţii aveau o
tehnica imunoenzimatică de tip sandwich ELISA
durată a bolii în medie de aproximativ 36 luni, se aflau
(Enzyme Linked Immuno Sorbant Assay) folosind trusa
în faza acută a bolii şi nu urmau tratament antiinflamator
ELISA, Bender Medsystem, Vienna, Austria
nesteroidian cu cel puţin o lună înaintea includerii în
(sensibilitate
<2 pg/ml, precizia de reproductibilitate
studiu. La toţi aceşti pacienţi a fost efectuat un examen
între determinări fiind de CV=6,9%). Tehnica de lucru
82
Ciacli et al
MEDICAL CONNECTIONS • NUMBER 2 (38) • JUNE 2015
Original articles
a respectat fidel indicaţiile manufacturiale ale
producătorului, pe de-o parte, iar pe de altă parte toate
determinările s-au efectuat în probe paralele.
Analiza statistică a datelor
În cadrul studiului efectuat reprezentările grafice şi
statistice au fost realizate cu ajutorul aplicaţiei Microsoft
Office Excel, folosindu-se elementele statisticii
descriptive:
media aritmetică±deviaţia standard
(media±DS); elementele statisticii inferenţiale: testul t
Student. Testul t Student a fost folosit pentru compararea
Figura 1. Compararea nivelelor serice ale interleukinei 13
datelor din cele
2 loturi faţă de lotul martor. S-au
la loturile analizate
calculat valorile coeficienţilor: p1 (între lotul 1 şi lotul
martor), p2 (între lotul 2 şi lotul martor); p<0,05 are o
valoare statistic semnificativă.
Discuţii
Rezultate
Producţia şi acţiunile biologice ale citokinelor
Nivelurile serice ale interleukinei 4 (IL-4)
antiinflamatorii în artrita psoriazică au fost studiate în
Nivelurile serice ale interleukinei
4 au fost
special pe modele animale. Extrapolarea rezultatelor
determinate prin metoda imunoenzimatică ELISA.
obţinute în aceste studii la oameni nu este totdeauna
Atât la lotul cu artrită psoriazică, cât şi la lotul cu
suficientă şi reală. În literatura de specialitate există
artrită reumatoidă concentraţia serică a interleukinei 4
relativ puţine studii care evaluează in vivo, la nivel
la majoritatea pacienţilor nu a prezentat valori
sangvin citokinele antiinflamatorii.
detectabile (20 cazuri). La ceilalţi pacienţi aceste valori
Citokinele antiinflamatorii secretate de către
au fost extrem de reduse: 0,2 pg/ml, 0,3 pg/ml, 0,4 pg/
limfocitele T activate şi în special IL-13 reprezintă factorul
ml, 1,1 pg/ml, 1,2 pg/ml, valoarea maximă fiind de 1,4
modulator al inflamaţiei în bolile autoimune [8].
pg/ml. Acest lucru sugerează că limfocitele T2, atât în
Rezultatele studiilor comparative efectuate cu
artrita psoriazică cât şi în artrita reumatoidă, nu sunt
privire la rolul pe care îl joacă interleukina 13 în artrita
activate şi nu secretă citokine antiinflamatorii care să
psoriazică şi în cea reumatoidă au aratat că această
contrabalanseze efectele citokinelor proinflamatorii
citokină determină pe lângă acţiunea antiinflamatorie şi
secretate de limfocitele T1.
o acţiune de inhibare a proliferării sinoviocitelor, de
La lotul martor (voluntari sănătoşi) interleukina 4
reducere a sintezei colagenazei, precum şi de augmentare
nu a fost detectată în ser, deoarece la aceştia nu există o
a sintezei IL-1Ra la nivelul sinoviocitelor [7].
activitate imunoinflamatorie care să necesite activarea
De asemenea, aceste studii au demonstrat că nivelul
limfocitelor
T2 pentru a secreta citokine
sangvin al acestei citokine nu este semnificativ crescut
antiinflamatorii şi astfel să contracareze acţiunile
comparativ cu martorii sănătoşi în artrita psoriazică,
citokinelor proinflamatorii.
spre deosebire de artrita reumatoidă unde concentraţia
Nivelurile serice ale interleukinei 13 (IL-13)
interleukinei 13 este mult crescută, iar nivelul sangvin al
Nivelurile serice ale interleukinei
13 au fost
interleukinei 13 la pacienţii cu artrită reumatoidă se
determinate prin metoda imunoenzimatică ELISA.
corelează foarte bine cu nivelul acesteia în lichidul
La lotul 1 (pacienţi cu artrită psoriazică) concentraţia
sinovial lichidul sinovial, în sensul creşterii acestuia,
serică a interleukinei 13 avea valori cuprinse între 2,67
corelaţie care nu există în cazul artritei psoriazice, unde
şi 4,99 pg/ml (media de 3,22±1,45 pg/ml; p1<0,01-S,
nivelul sangvin al interleukinei 13 nu este mult crescut
semnificativ statistic comparativ cu lotul martor).
[9].
2
La lotul
(pacienţi cu artrită reumatoidă)
Pentru a evalua rolul limfocitelor T2 în artrita
concentraţia serică a interleukinei 13 avea valori cuprinse
psoriazică în studiul nostru am determinat concentraţia
între 2,21 şi 13,32 pg/ml (media de 10,2±1,48 pg/ml
serică a interleukinei 4- prototipul citokinelor T2, şi a
p2<0,002-ES, intens semnificativ statistic comparativ cu
interleukinei
13. Rezultatele le-am comparat cu cele
lotul martor).
obţinute din serul martorilor sănătoşi şi din serul
La lotul martor (voluntari sănătoşi) concentraţia
pacienţilor cu artrită reumatoidă.
serică a interleukinei 13 avea valori cuprinse între 2,05
În studiul nostru am inclus pacienţi cu artrită
şi 3,35 pg/ml (media de 2,12±0,51 pg/ml) (Figura 1).
psoriazică aflaţi în fază acută a bolii deoarece am
Blood Assessment of Some Anti-Inflammatory Cytokines in Psoriatic Arthritis
83
Original articles
MEDICAL CONNECTIONS • NUMBER 2 (38) • JUNE 2015
presupus că în această etapă modificările profilului
ca la nivel sangvin în artrita psoriazică, la fel ca şi în
citokinelor sunt cele mai pronunţate, ele fiind evidente
artrita reumatoidă, există un deficit al citokinelor
nu numai la nivelul articulaţiilor afectate, ci şi în serul
antiinflamatorii, ceea ce face ca echilibrul balanţei T1/
pacienţilor.
T2 să fie imposibil de păstrat.
Rezultatele studiului nostru demonstrează că în
Studiul nostru, prin determinarea sangvină a
sângele periferic la martorii sănătoşi interleukina 4 nu
interleukinei 13 nu a evidenţiat modificări importante
este evidenţiată. Se consideră că rezultatele noastre se
între pacienţii cu artrită psoriazică (media 3,22±1,45
încadrează în valorile serice normale ale acestei citokine,
pg/ml, p1<0,01) şi martorii sănătoşi (2,12±0,51 pg/ml),
deoarece rezultatele producătorului trusei ELISA
în timp ce la pacienţii cu artrită reumatoidă concentraţia
(Endogen Inc.) indică, de asemenea, un nivel seric
acestei citokine este mult crescută (10,2±1,48, p2<0,002)
nedetectabil la persoanele sănătoase investigate,
atât faţă de martorii sănătoşi, cât şi faţă de pacienţii cu
considerându-le valori normale.
artrită psoriazică.
La loturile cu artrită psoriazică şi reumatoidă
Astfel, studiul nostru ilustrează că pattern-ul
nivelele serice ale interleukinei 4 sunt extrem de reduse,
producției sistemice a interleukinei 13 poate influenţa
uneori sub pragul de detectare al truselor utilizate.
tabloul clinic al unei artritei cu apariţia artritei
Aceste rezultate demonstrază că limfocitele T2 nu sunt
psoriazice, respectiv a celei reumatoide, ceea ce reflectă
activate şi nu secretă citokine antiinflamatorii care să
existenţa unor mecanisme patogenetice diferite
contrabalanseze efectele citokinelor proinflamatorii
implicate în bolile articulare inflamatorii.
secretate de limfocitele T1.
Cercetările noaste au pus în evidenţă, de asemenea,
Concluzii
că nivelul sangvin al interleukinei 13 este crescut atât la
pacienţii cu artrită reumatoidă, cât şi la cei cu artrită
Contribuţia personală a studiului de față constă în
psoriazică, la care însă diferenţa faţă de martor nu este
demonstrarea faptului că, în artrita psoriazică la nivel
foarte mare (dar totuşi semnificativă statistic).
sangvin nu există o producţie necesară şi suficientă a
Coroborând rezultatele studiului nostru cu privire
citokinelor antiinflamatorii
(IL-4 fiind sub limita de
la profilul seric al citokinelor antiinflamatoare se poate
detecţie a trusei utilizate, iar IL-13 înregistrând rezultate
afirma că în artrita psoriazică activarea limfocitelor T2
apropiate de cele ale martorilor sănătoşi), astfel încât
şi secreţia de citokine antiinflamatoare care să păstreze
balanţa T1/T2 nu poate fi echilibrată. Rezultă deci că
echilibrată balanţa T1/T2 nu este optimă.
în artrita psoriazică contracararea la nivel sangvin a
Aceste rezultate nu sunt suprinzătoare, interesul
citokinelor proinflamatorii nu este una optimă. Ţinând
personal pentru studiul acestei citokine antiinflamatorii
seama de aceste rezultate se poate afirma că interleukina
pornind tocmai de la faptul cunoscut că, producţia IL-
13 îşi poate găsi un rol în arsenalul terapeutic al artritei
13 depinde de existenţa limfocitelor T helper activate,
psoriazice, fapt demonstrat de altfel pe modele animale.
limfocite care joacă un rol important atât în artrita
psoriazică cât şi în cea reumatoidă. În ambele tipuri de
artrită, psoriazică şi reumatoidă, numărul limfocitelor T
Referințe
helper este crescut atât la nivel sangvin cât şi la nivelul
lichidului sinovial, dar există unele diferenţe. Astfel, la
1. Mosmann TR, Cofmann RL: T1 and T2 cells:
pacienţii cu artrită reumatoidă, la nivel sangvin, există
differnt patterns of lymphokine secretion lead to different
un surplus a limfocitelor T helper de tip CD4 şi un
functional properties. Annu Rev Immunol 1989;7:145-
deficit al limfocitelor T de tip CD8, lucru care nu se
73.
observă în artrita psoriazică sau la martorii sănătoşi [7].
2. Roncarolo MG, Levings MK. Te role of different
Studiul nostru a demonstrat existenţa unor diferenţe
subsets of T regulatory cells in controlling autoimmunity.
semnificative în ceea ce priveşte profilul citokinelor
Curr Opin Immunol 2000;12(6):676-83.
antiinflamtorii din serul pacienţilor cu artrită psoriazică
3. Elkayam O, Yaron I, Shirazi I, Yaron M, Caspi D.
comparativ cu martorii sănătoşi şi cu pacienţi cu artrită
Serum level of lL-10,IL-6, IL-1Ra and sIL-2R in
reumatoidă.
patients with psoriatic arthritis. Rheumatol Int
În timp ce la nivel sangvin la martorii sănătoşi nu a
2000;19(3):101-5.
fost detectată prezenţa interleukinei
4, la loturile cu
4. Gomi T, Shiohara T, Munakata T, Imanishi K,
artrită psoriazică şi reumatoidă concentraţia acesteia a
NagashimaU. Inteleukin 1α, tumor necrosis factor α
fost extrem de mică, în unele cazuri sub limita de
and interferon γ in psoriasis. Arch Dermatol
detectarea a trusei utilizate. Se poate concluziona astfel,
1991;127(6): 827-30.
84
Ciacli et al
MEDICAL CONNECTIONS • NUMBER 2 (38) • JUNE 2015
Original articles
5. Houssiau FA. Cytokines in psoriatic arthritis. Clin
production in psoriatic synovium. J Rheumatol
Rheumatol 1999;14 Suppl 2:10-3.
1998;25(8):1544-52.
6. Colota F, Re F, Muzio M et al. Interleukin 1 type II
9.
Partech G, Wagner E, Loeb BF, Boll H, Dinky A,
receptor: a decoy target for IL-1 that is regulated by IL-4.
Stolen JS. T cell derived cytokines in psoriatic arthritis
Science 1993;261(5120):472-5.
synovial fluids. Ann Rheum Dis 1998;57(11):691-3.
7. Nickoloff BJ. Te cytokine network in psoriasis. Arch
10. Nakajima H, Gleich GJ, Kita H. Constitutive
Dermatol 1991;127(6):871-84.
production of IL-4 and IL-10 and stimulated production
8. Ritchlin C, Haas-Smith SA, Hicks D, Cappuccio J,
of IL-8 by normal peripheral blood eosinophils. J
Osterland CK, Looney RJ. Patterns of cytokine
Immunol 1996;156(12):4859-66.
Blood Assessment of Some Anti-Inflammatory Cytokines in Psoriatic Arthritis
85
Medical Connections/Conexiuni Medicale
Declaraţia de conflict de interese
Medical Connections/Conexiuni Medicale (Med Con) solicită tuturor autorilor şi recenzorilor să declare
orice conflict de interese care ar putea interveni în contribuţiile lor.
Conflictul de interese pentru un anumit manuscris există atunci când un participant în procesul de
recenzie inter pares (peer review) şi de publicare - autor, referent, sau editor - are legături cu activităţi care
l-ar putea influenţa necorespunzător pe el sau judecata lui, indiferent dacă aceasta este sau nu afectată.
Relaţiile financiare cu industria medicală, de exemplu prin muncă salarială, consultanţă, deţinere de
acţiuni, onorarii, testimoniale ca şi expert, fie direct, fie prin intermediul familiei, sunt de obicei considerate
a fi cele mai importante conflicte de interese. Cu toate acestea, pot apărea conflicte din alte motive, cum ar
fi relaţiile personale, concurenţa academică şi implicarea intelectuală.
Încrederea publicului în procesul de revizuire inter pares şi credibilitatea articolelor publicate depinde
în parte de cât de bine este administrat posibilul conflict de interese în timpul redactării, recenziei inter
pares şi a luării deciziilor editoriale. Părtinirea poate fi de multe ori identificată şi eliminată prin atenţia
crescută asupra metodelor ştiinţifice şi concluziilor lucrării. Relaţiile financiare şi efectele lor sunt mai uşor
de identificat decât alte conflicte de interese. Participanţii la peer review şi în procesul de publicare trebuie
să-şi dezvăluie posibilele conflictele de interese, iar informaţiile trebuie să fie puse la dispoziţie, astfel încât
şi alţii să poată aprecia aceste efecte pentru ei înşişi.
Autori: atunci când trimit un manuscris sau o scrisoare, autorii sunt responsabili pentru recunoaşterea
şi divulgarea conflictelor financiare şi altor conflicte de interese care ar putea să le influenţeze activitatea. Ei
trebuie să recunoască în manuscris orice sprijin financiar pentru activitate, precum şi orice alte legături
financiare sau personale în munca lor.
Recenzorii: evaluatorii externi inter pares trebuie să dezvăluie editorilor orice conflicte de interese care
le-ar putea părtini opiniile asupra manuscrisului şi ar trebui să se recuze de la recenzia anumitor manuscrise
în cazul în care cred că este oportun. Editorii trebuie să fie conştienţi de posibilele conflicte de interese ale
recenzorilor în interpretarea recenziilor şi trebuie să judece pentru ei dacă recenzorul ar trebui să fie recuzat.
Recenzorii nu trebuie să utilizeze informaţiile în munca lor, înainte de publicare, pentru a-şi promova
propriile interese.
Titlul manuscrisului: _ _______________________________________________________
Declar că nu există conflict de interese
Declar că există următoarele conflicte de interese potenţiale:
_ _________________________________________________________________________
_ _________________________________________________________________________
_ _________________________________________________________________________
_ _________________________________________________________________________
_ _________________________________
_ _________________________________
Nume
Semnătura/Data
Vă rugăm trimiteţi acest formular semnat pe fax sau mail la sediul editorului Med Con.
Fax: +40-261-710456
Email: colmedsm@gmail.com
Original articles
SEMNIFICAŢIA CLINICĂ A DETERMINĂRII FERITINEI LA PACIENŢI
CU STADII DIFERITE DE POLIARTRITĂ REUMATOIDĂ
Manole Cojocaru1, Elena Rusu2, Inimioara Mihaela Cojocaru3, Bogdan Chicoş4, Isabela Siloşi5
1Disciplina de Fiziologie, Facultatea de Medicină, Universitatea „Titu Maiorescu”, 2Centrul Clinic de Boli Reumatismale
Dr Ion Stoia, Bucureşti, România, 3Disciplina de Biochimie, Facultatea de Medicină, Universitatea „Titu Maiorescu”,
4Clinica de Neurologie Prof. Gheorghe Marinescu, Spitalul Clinic Colentina, Universitatea de Medicină şi Farmacie
„Carol Davila”, București, România, 5Disciplina de Imunologie, Universitatea de Medicină şi Farmacie, Craiova, România
Adresa pentru corespondenţă:
Cojocaru Manole
Str. Tomas Masaryk Nr 5, Sector 2, Cod Poştal 020983
Bucureşti, România
E-mail: mancojocaru@yahoo.com
Primit: 10.05.2015
Acceptat: 01.06.2015
Med Con June 2015 Vol 10, No 2, 87-90
Rezumat
Rezultate: Feritina serică este semnificativ mai
crescută în PR (nivelurile feritinei sunt dependente
Introducere: În general, se consideră că feritina serică
de vârstă şi sex). La pacienţi cu PR în stadii diferite,
este cel mai bun indicator clinic al depozitelor de fier din
înaintea tratamentului, creşterea nivelurilor de
organism. Dovezile înregistrate în ultimii ani au indicat
feritină serică a fost semnificativă
(între
57,14-
rolul feritinei ca moleculă de semnalizare şi mediator
145,17 ng/ml, valoarea medie 129,4±10,5 ng/ml)
direct la nivelul sistemului imun. Recent, s-a observat că
comparativ cu lotul martor (între 41,45-55,76 ng/
feritina serică este crescută în diferite boli autoimune.
ml, valoarea medie
51,3±4.7 ng/ml; p<0,01).
Obiective: Să evaluăm feritina serică la pacienţi cu
Şaptesprezece (40%) pacienţi cu semne de inflamaţie
diferite stadii de poliartrită reumatoidă
(PR) înaintea
(proteina C-reactivă 60,16±4,86 mg/l, între 46,14-
tratamentului şi să investigăm legătura cu evoluţia clinică.
84,18 mg/l) au avut nivelul de feritină serică
Material şi metode: Studiul s-a efectuat înaintea
semnificativ mai crescut
(p<0,01). Aceasta s-a
tratamentului la un grup de 41 pacienţi cu diferite stadii
datorat în principal stresului oxidativ crescut şi
de PR, cu vârsta între 28-65 ani. Valorile serice de
extinderii procesului inflamator. Trei (7%) pacienţi
feritină au fost determinate la un grup de 24 de subiecţi
cu PR au prezentat hiperferitinemie care nu s-a
normali care nu au prezentat semne de boală
corelat cu titrurile crescute de factor reumatoid sau
reumatismală. Nivelurile de feritină serică au fost
anticorpi antipeptid ciclic citrulinat.
măsurate folosind tehnica ELISA. Rezultatele au fost
Concluzie: În PR, există o corelaţie semnificativă
raportate ca valorile medii±deviaţia standard (DS) cu
între feritina serică, proteina C-reactivă şi viteza de
95% intervalul de încredere. Semnificaţia statistică a
sedimentare a eritrocitelor. Feritina serică se asociază cu
diferenţei a fost determinată cu testul t Student.
gradul de inflamaţie sistemică în PR. Feritina serică este
Prevalenţa a fost comparată folosind testul χ2. S-a folosit
un indicator fidel al evoluţiei bolii.
testul Fisher şi regresia lineară. Analizele pentru corelaţie
Cuvinte cheie: poliartrita reumatoidă, feritina,
s-au efectuat folosind testul Pearson.
severitatea bolii
Clinical Significance of Ferritin Measurement in Patients with Different Stages of Rheumatoid Arthritis
87
Original articles
MEDICAL CONNECTIONS • NUMBER 2 (38) • JUNE 2015
Introducere
comparată folosind testul χ2. S-au folosit testul Fisher şi
regresia lineară. Analizele corelaţiei au fost efectuate
Poliartrita reumatoidă (PR) este o tulburare cronică,
folosind testul Pearson.
recurentă a articulaţiilor, cu patogenia incomplet
cunoscută [1]. Simptomele şi severitatea PR variază de la o
Rezultate
persoană la alta şi pot să se schimbe de la o zi la alta [2].
Poliartrita reumatoidă debutează lent cu simptome minore
Activitatea bolii s-a evaluat folosind scorul DAS28.
care apar şi dispar, de obicei simetric şi evoluează săptămâni
Poliartrita reumatoidă este o boală cronică, dar
sau luni. Perioada inactivă a bolii se numeşte remisie [3,4].
activitatea bolii este un proces care fluctuează, chiar pe
Se cunoaşte că feritina este un mediator proinflamator
parcursul zilei.
care creşte expresia moleculelor proinflamatorii, cu toate
Nivelurile de feritină serică se corelează cu parametrii
acestea are o acțiune opusă ca proinflamator și ca
clinici şi de laborator ai activităţii bolii precum viteza de
imunosupresiv. Feritina este un predictor seric al
sedimentare a hematiilor (VSH) şi nivelurile de proteină
depozitării fierului. Feritina serică este un indicator
C-reactivă (CRP). Asocieri semnificative s-au observat
sensibil special al statusului fierului când depozitele sunt
între feritină şi CRP şi durata redorii matinale. Nicio
scăzute [5].
diferenţă nu a fost observată între bărbaţi şi femei.
Nivelurile crescute de feritină serică se asociază cu
La pacienţi cu PR activă, nivelurile serice de feritină
stări maligne şi leziune tisulară. Hiperferitinemia a fost
au fost semnificativ mai crescute (129,4±10,5 ng/ml,
recent investigată în boli autoimune. Factorii care
între
57,14-145,17 ng/ml), comparativ cu cele ale
influenţează prognosticul cuprind factorul reumatoid,
lotului martor (51,3±4,7 ng/ml, între 41,45-55,76 ng/
vârsta în momentul diagnosticului, prezenţa altor
ml) (p<0.01) (Figura 1).
complicaţii [6].
În prezent, niciun singur test de activitate a bolii în
PR nu este eficient, deoarece PR poate provoca diferite
tipuri de simptome și semne. Scorul DAS28 se foloseşte
de obicei să evalueze activitatea bolii la pacienţi cu PR.
DAS28 este un indicator care evaluează obiectiv nivelul
de activitate şi progresie a bolii [7,8].
Material și metode
Grupul de studiu
Studiul a cuprins pacienţi cu PR diagnosticaţi
conform criteriilor
Colegiului
American de
Figura 1. Valoarea medie a concentraţiilor de feritină serică
Reumatologie din 1987 revizuite (odinioară Asociaţia
la pacienţi cu poliartrită reumatoidă activă comparativ
Americană de Reumatologie). Nivelurile de feritină
cu lotul martor
serică au fost determinate la 41 pacienţi netrataţi (28
femei şi 13 bărbaţi), cu stadii diferite de PR (vârsta
medie 53,76±14,2 ani, cu limite între 28-65 ani, durata
medie a poliartritei
12,4±7,6 ani). Toţi pacienţii au
îndeplinit
criteriile
Colegiului
American de
Reumatologie pentru PR. Nivelurile de feritină serică au
fost măsurate folosind tehnica ELISA. Al doilea grup a
fost constituit din 30 pacienţi cu PR în remisie.
Lotul martor
Nivelurile de feritină serică au fost determinate la
24 subiecţi aparent sănătoşi (19 femei şi 5 bărbaţi, vârsta
medie 34,9±7,7 ani, cu limitele între 27-54 ani).
Analiza statistică
Rezultatele au fost raportate ca valoarea medie
Figura 2. Valoarea medie a concentraţiilor de feritină serică
(x)±DS. Semnificaţia statistică a diferenţei a fost
la pacienţi cu poliartrită reumatoidă în remisie comparativ
determinată cu testul t Student. Prevalenţa a fost
cu lotul martor
88
Cojocaru et al
MEDICAL CONNECTIONS • NUMBER 2 (38) • JUNE 2015
Original articles
La 30 pacienţi cu PR în remisie, nivelurile serice de
pentru multe funcţii celulare importante în organismele
feritină au fost semnificativ crescute (72,7±8,2 ng/ml,
vii, catalizează formarea de radicali liberi potenţial toxici
între 43,35 și 95,27 ng/ml), comparativ cu lotul martor
[14]. Excesul de fier este sechestrat de feritină într-o
(51,3±4,7 ng/ml, între 41,45-55,76 ng/ml) (p<0,01)
formă netoxică şi uşor disponibilă pentru celulă. Feritina
(Figura 2).
este compusă din 24 subunităţi de diferite proporţii ale
Există o corelaţie semnificativă între feritină
celor două subunităţi distincte funcţional: feritina H şi
(129,4±10,5 ng/ml, între 57,14-145,17 ng/ml) şi durata
L. Concentraţia de feritină serică este un indice al
redorii matinale
(r=0,478; p=0,026). Nivelurile de
depozitării fierului în PR. Orice tulburare inflamatorie
feritină serică, de asemenea, se corelează pozitiv cu
creşte nivelul de feritină [15].
nivelurile de CRP (60,16±4,86 mg/l, între 46,14-84,18
Nivelul de feritină serică este un marker al depunerii
mg/l) (r=0,613; p<0,01).
fierului în organism şi este un indicator al deficitului de
S-a observat că nivelul de feritină este mai crescut în
fier la pacienţi cu inflamaţie cronică cum ar fi PR [13].
serul pacienţilor cu PR şi se corelează cu activitatea bolii
Rezultatele obţinute sunt în concordanţă cu rapoartele
şi lezarea articulaţiei. Nicio corelaţie semnificativă nu a
anterioare privind nivelurile crescute de feritină serică la
fost prezentă între nivelul de feritină şi durata bolii.
pacienţi cu PR comparativ cu lotul de martori sănătoşi
Trei (7%) pacienţi cu PR au prezentat hiperferitinemie
[16]. În concluzie, feritina serică este un indicator al
care nu s-a corelat cu titrurile crescute de factor reumatoid
depozitelor de fier şi în PR. În boala activă, valorile mai
sau anticorpi antipeptid ciclic citrulinat.
crescute de feritină serică sunt probabil datorate
schimbării fierului din circulaţie spre celulele
Discuţii
reticuloendoteliale de la nivelul membranei sinoviale
[17].
Poliartrita reumatoidă (PR) este o boală inflamatorie
Hiperferitinemia se asociază cu inflamaţie, infecţii şi
cronică care prezintă un impact important asupra
neoplazii [18]. Concentraţii crescute de feritină se găsesc
calităţii vieţii pacienţilor, asociindu-se cu dizabilităţi,
în lichidul sinovial al pacienţilor cu PR şi la pacienţi cu
(co)morbiditate şi rată crescută a mortalităţii. Poliartrita
PR juvenilă care se corelează cu activitatea bolii [19].
reumatoidă este o tulburare inflamatorie sistemică
Nivelul de feritină serică este un predictor semnificativ
cronică care în principal afectează articulaţiile
[9].
al severităţii bolii [20, 21].
Afecţiunea conduce la deformarea articulaţiilor şi
Se impune continuarea investigării mecanismelor
artralgii, putând să ducă la pierderea funcţiei acestora.
de acţiune a feritinei la pacienţi cu PR.
Studiile la niveluri molecular/genetic continuă să
exploreze biomolecule diverse ca markeri potenţiali ai
Concluzii
bolii [10].
Feritina a fost implicată în variate boli şi prezintă
Concentraţia de feritină serică este un indicator
importanţă în bolile autoimune. S-au determinat
folositor al depozitelor de fier la pacienţi cu PR.
nivelurile de feritină serică (reactant de fază acută) la
Hiperferitinemia în PR se corelează cu activitatea bolii.
pacienţi cu PR şi s-au analizat corelaţiile cu scorul de
Studiul a indicat că feritina serică, alături de alte teste
activitate a bolii (DAS28). Feritina este o proteină care
este un marker biochimic util pentru evaluarea activităţii
este folosită pentru depozitarea fierului [11].
bolii la pacienţi cu PR. Studiul de faţă privind severitatea
Testul pentru feritina serică evidenţiază creşterea
şi prognosticul în PR a demonstrat că feritina serică este
(indică prezenţa hemocromatozei) sau scăderea
un predictor semnificativ al distrugerii cartilajului
nivelurilor de feritină în organism, anemia sau deficitul
articular. Sunt necesare în continuare studii extinse
de fier. Expresia feritinei este sub control sensibil şi este
pentru confirmarea rezultatelor.
reglată
atât
la
nivel transcripţional cât şi
Toţi autorii au aprobat manuscrisul final.
posttranscripţional de fier, citokine (factorul de necroză
tumorală-a şi interleukina-1a), hormoni şi stresul
oxidativ [12].
References
Acţiunea imunologică a feritinei cuprinde legarea la
limfocite T, supresia hipersensibilităţii de tip întârziat,
1. Scott DL, Wolfe F, Huizinga TW. Rheumatoid
supresia producerii de anticorpi de către limfocitele B,
arthritis. Lancet 2010;376 (9746):1094-108.
scăderea fagocitozei granulocitelor [13].
2. Wasserman AM. Diagnosis and Management of
Testul pentru feritină măsoară volumul de fier
Rheumatoid Arthritis. American Family Physician
depozitat în organism. Fierul, un element esenţial
2011;84 (11):1245-52.
Clinical Significance of Ferritin Measurement in Patients with Different Stages of Rheumatoid Arthritis
89
Original articles
MEDICAL CONNECTIONS • NUMBER 2 (38) • JUNE 2015
3.
Gramling A, O’Dell JR. Initial management of
13.
Mainous AG, Wells BJ, Everett CJ, Gill JM, King
rheumatoid arthritis. Rheum Dis Clin North Am
DE. Association of ferritin and lipids with C-reactive
2012;38(2):311-25.
protein. Am J Cardiol 2004;93:559-62.
4.
Baynes RD. Assessment of iron status. Clin Biochem
14.
Torti FM, Torti SV. Regulation of ferritin genes and
1996;29:209-15.
protein. Blood 2002;99:3505-16.
5.
Orbach H, Zandman-Goddard G, Amital H, et al.
15.
Palermo C, Bongi SM, Bianucci G. Relationship
Novel biomarkers in autoimmune diseases. Ann NY
between serum ferritin, iron stores and disease activity in
Acad Sci 2007;1109:385-400.
rheumatoid arthritis. Ricerca in clinica e in laboratorio
6.
Knovich MA, Storey JA, Coffman LG, Torti SV, Torti
1986;16:463-9.
FM. Ferritin for the clinician. Blood Reviews
16.
Blake DR, Bacon PA, Eastham EI, Brigham K.
2009;23:95-104.
Synovial fluid ferritin in rheumatoid arthritis. Br Med J
7.
Zandman-Goddart G, Shoenfeld Y. Hyperferritinemia
1980;281:715-6.
in autoimmunity. Isr Med Assoc J 2008;10(1):83-4.
17.
Pelkonen P, Swanjung K, Siimes MA. Ferritinemia as
8.
Zandman-Goddart G, Shoenfeld Y. Ferritin in
a indicator of systemic disease activity in children with
autoimmune diseases. Autoimmun Rev 2007;6:457-
systemic juvenile rheumatoid arthritis. Acta Paediatr
63.
Scand 1986;75:64-8.
9.
Hintze KJ, Teil EC. Cellular regulation and molecular
18.
Lim MK, Lee CK, Ju YS, et al. Serum ferritin as a
interactions of the ferritins. Cell Mol Life Sci
serological marker of activity in systemic lupus
2006;63:591-600.
erythematosus. Rheumatol Int 2001;20:89-93.
10.
Bentley DP, Williams P. Serum ferritin concentration as
19.
Beyan E, Beyan C, Demirezer A, Ertugrul E, Uzuner
an index of storage iron in rheumatoid arthritis. J Clin
A. Te relationship between serum ferritin levels and
Pathol 1974;27(10):786-8.
disease activity in systemic lupus erythematosus. Scand J
11.
Smith RJ, Davis P, Tomson AB, Wadsworth LD,
Rheumatol 2003;32:225-8.
Fackre P. Serum ferritin levels in anemia of rheumatoid
20.
Hesselink DA, Aarden LA, Swak AJG. Profiles of the
arthritis. J Rheumatol 1977;4(4):389-92.
acute-phase reactants C-reactive protein and ferritin
12.
Yildirim K, Karatay S, Melikoglu MA, Gureser G,
related to the disease course of patients with systemic
Ugur M, Senel K. Associations between Acute Phase
lupus erythematosus. Scand J Rheumatol 2003;32:151-
Reactant Levels and Disease Activity Score (DAS28) in
5.
Patients with Rheumatoid Arthritis. Ann Clin Lab Sci
21.
You SA, Wang O. Ferritin in atherosclerosis. Clin
2004;34:423-6.
Chim Acta 2005;357:1-16.
90
Cojocaru et al
Original articles
CAUZE DE DECES ÎN LEUCEMIA LIMFATICĂ CRONICĂ
Gabriela Ariadna Gavrilă1, Romeo Gabriel Mihăilă2
1Laboratorul de analize medicale, Spitalul Clinic Judeţean de Urgenţă Sibiu, 2Catedra de Medicină Internă, Facultatea
de Medicină „Victor Papilian”, Universitatea „Lucian Blaga” Sibiu
Adresa pentru corespondenţă:
Dr. Gabriela Ariadna Gavrilă
B-dul Corneliu Coposu nr.2-4, Sibiu, România
Email: gabrielagavrilasb@gmail.com
Primit: 15.06.2015
Acceptat: 30.06.2015
Med Con June 2015 Vol 10, No 2, 91-94
Rezumat
10-23 ani, cu supravieţuire asemănătoare populaţiei
generale
[1]. Această observaţie este valabilă pentru
Leucemia limfatică cronică este o boală cu o evoluţie
aproximativ 30% din toate cazurile de LLC. La unii
clinică lentă, prelungită, între 10-23 ani, iar eventuala
pacienţi decesul este rapid, la 2-5 ani de la diagnostic,
etiologie a decesului poate fi independentă de evoluţia
urmare a evoluţiei agresive a LLC grevată de multiple
bolii în 30% din cazuri. Cele mai frecvente cauze de deces
complicaţii. Alteori trăiesc între 5 şi 10 ani, iniţial având
sunt infecţiile severe sistemice (în special pneumonia şi
un curs lent, urmat de o fază terminală cu durată de 1
septicemia), sângerarea, inaniţia şi caşexia. Regresia clinică
sau 2 ani. În timpul fazei terminale morbiditatea bolii în
spontană a fost rar raportată. Studiul nostru şi-a propus să
sine este acompaniată de complicaţiile terapiei. Această
urmărească complicaţiile care duc la decesul pacienţilor
variabilitate clinică este intens studiată.
cu LLC, într-un perioadă de 7 ani, pe un grup de 74 de
În timpul fazei iniţiale, asimptomatice, pacienţii
pacienți, internaţi în Secția de Hematologie a Spitalului
păstrază stilul de viaţă obişnuit, dar în timpul fazei
Clinic Județean de Urgență Sibiu, între anii 2008-2014.
terminale performanţele sunt modeste, cu necesitatea
Pacienții au fost împărţiți în două grupe: pacienţi în stadii
spitalizărilor recurente.
incipiente de boală care nu necesitau terapie ci doar
Conştientizarea factorilor de risc: vârsta înaintată,
supraveghere, în număr de 30 şi pacienţi în stadii de boală
sexul masculin, nivelurile crescute de beta2-
cu manifestări clinice, tratați cu chimioterapie, în număr
microglobulină, a lactat dehidrogenazei şi a creatininei
de 44. Orice simptom nou apărut la pacienţii cu LLC
ar putea permite detectarea timpurie a dezvoltării de noi
ridică suspiciunea apariției celei de-a doua neoplazii
tipuri de cancer [2].
primare. Cele mai frecvente complicaţii, considerate
Rata de progresie a LLC este variabilă, existând o
cauze de deces, sunt infecția și a doua neoplazie.
replicare a celulelor leucemice, cu acumularea progresivă
Cuvinte cheie: leucemie limfatică cronică, infecţii,
a limfocitelor imunoincompetente, cu durată lungă de
al doilea neoplasm, deces
viaţă. Toate evenimentele care marchează istoria naturală
a bolii, cu acumularea de limfocite în ţesuturi, se
Introducere
datorează dezechilibrului dintre proliferare şi apoptoză.
Limfocitele T şi celulele stromale sunt implicate
Leucemia limfatică cronică (LLC) este o boală care
deopotrivă în susţinerea supravieţuirii celulelor
poate avea o evoluţie clinică indolentă pe o perioadă de
leucemice B, dar în timp ce celulele T au o acţiune pe
Causes of Death in Chronic Lymphocytic Leukemia
91
Original articles
MEDICAL CONNECTIONS • NUMBER 2 (38) • JUNE 2015
termen scurt, celulele stromale furnizează suportul pe
Tabel I. Asocierea infecţiilor în grupul pacienţilor cu LLC
trataţi
termen lung [3]. Creşterea masei leucemice poate induce
eşecul hematopoiezei având ca și consecinţe anemia,
Pacienţi
Infecții
trombocitopenia, neutropenia şi complicaţiile acestora.
Număr Procent
De asemeni, se manifestă deficienţe ale imunităţii
Un tip de infecţie **
8
47%
umorale şi celulare, precum şi debutul bolilor
Infecţie microbiană, virală şi fungică
3
17,6%
autoimune. În formele avansate de LLC, masa de celule
Infecţie microbiană şi fungică
3
17,6%
leucemice determină în mod direct hipersplenism,
compresia structurilor vitale, hipermetabolism şi caşexie.
Infecţie microbiană şi virală
2
11,8%
Exceptând cazul în care decesul survine datorită
Infecţie virală şi fungică
1
6%
altei boli, LLC netratată progresează inexorabil spre
**fie microbiană, fie virală, fie fungică
exitus, indiferent că acesta survine în 12 luni sau în 20
de ani.
Obiectivul studiului a fost identificarea
microbiană şi virală 2 pacienți, infecţie virală şi fungică
complicaţiilor care determină cauzele de deces ale
1 pacient (Tabel I).
pacienţilor cu LLC, internați în spitalul nostru.
Analizând numărul episoadelor infecţioase,
4
pacienţi au prezentat
2 sau mai multe episoade
Material și metode
infecţioase microbiene şi 13 pacienţi o infecţie unică.
A doua neoplazie
Studiul cuprinde 74 de pacienți cu vârsta medie
Din totalul de 74 pacienți cu LLC ai grupului de
67,15±10,37 ani, 40 femei şi 34 bărbați, diagnosticați
studiu, 9 pacienți (12%) au dezvoltat în cursul evoluției
cu LLC, trataţi în Secția de Hematologie a Spitalului
bolii a doua neoplazie.
Clinic Județean de Urgență Sibiu între anii 2008-2014.
Pacienţi în stadii incipiente de boală
Pacienții au fost urmăriți până în momentul încheierii
Pacienții din acest nu au prezentat a doua neoplazie.
studiului. S-au exclus din studiu cazurile de limfocitoză
Pacienţi tratați chimioterapic
monoclonală cu celule B, sau limfom limfocitic.
Din cei 44 de pacienți care au primit tratament
Pacienţii au fost împărțiți în două grupe: pacienţi în
chimioterapic, 9 pacienţi (20,45%), cu vârsta medie de
stadii incipiente de boală care nu necesitau terapie ci
65,22±5,38 ani au prezentat a doua neoplazie. Intervalul
doar supraveghere („watch and wait”), în număr de 30 şi
mediu de timp de la administrarea primei cure
pacienţi în stadii de boală cu manifestări clinice, tratați
chimioterapice până la apariția celei de-a doua neoplazii
chimioterapic, în număr de 44.
a fost de 49,33±20,5 luni.
A doua metaplazie a fost cutanată în 6 cazuri (3
Rezultate
carcinoame bazocelulare, 2 carcinoame spinocelulare și 1
melanom malign), 2 cazuri carcinoame bronhopulmonare
Complicaţii infecţioase
cu celule mici și 1 caz de adenocarcinom ovarian.
În grupul de studiu, un număr de 21 pacienţi
Unul dintre pacienții care a manifestat a doua
(37,8%) au avut cel puţin un episod infecţios în cursul
neoplazie, carcinom cutanat spinocelular, a prezentat la
evoluţiei bolii.
un interval de 82 luni de la administrarea primei cure de
Pacienţi în stadii incipiente de boală
citostatice o recidivă a acestuia.
În grupul pacienţilor netrataţi,
4 pacienţi au
Trei dintre pacienţii care au dezvoltat a doua
prezentat complicaţii infecţioase, dar nu s-au înregistrat
neoplazie, melanom malign, carcinom spinocelular și
episoade infecţioase multiple.
carcinom pulmonar cu celule mici, au decedat. Nu am
Pacienţi tratați chimioterapic
găsit corelaţii statistice între a doua neoplazie şi
Un număr de 17 pacienţi au prezentat infecţii în
supraviețuirea (p=0,883) sau stadiul bolii la diagnostic
cursul evoluţiei bolii. Analizând spectrul etiologic,
(p=0,088).
infecţiile întâlnite au fost microbiene, fungice şi virale.
Decese
Un singur tip de complicaţii infecţioase (fie microbiene,
Din totalul pacienților studiați,
16 (21,6%) au
fie virale, fie fungice) au dezvoltat 8 pacienţi, ceilalţi 9
decedat în perioada desfăşurarii studiului,
12 (75%)
pacienţi au asociat
2-3 tipuri etiologice, după cum
fiind din grupul celor trataţi.
urmează: infecţie microbiană, virală şi fungică 3 pacienți,
Pacienţi în stadii incipiente de boală
infecţie microbiană şi fungică
3 pacienți, infecţie
În acest grup s-au constatat 4 decese, pacienţii fiind
femei cu vârsta medie 73,25±7,9 ani. Cauzele deceselor
92
Gavrilă et al
MEDICAL CONNECTIONS • NUMBER 2 (38) • JUNE 2015
Original articles
au fost edem pulmonar acut în
2 cazuri, accident
În lotul nostru de pacienţi, infecţiile şi a doua
vascular cerebral 1 caz și sepsis 1 caz.
neoplazie reprezintă 50% din cauzele de deces.
Pacienţi tratați chimioterapic
Frecvența episoadelor infecțioase după tratamentul
În grupul pacienţilor chimiotrataţi au survenit 12
chimioterapic este mult mai mare (38,6%) în comparaţie
decese (27,27%); 7 bărbați (58%) și 5 femei (42%),
cu grupul pacienților netratați (13,3%). Jumătate din
vârsta medie fiind 68,58±8,71 ani. Cauzele deceselor
pacienții care au prezentat complicații infecțioase au
au fost sepsis în
5 cazuri, cauze cardiace
(infarct
avut episoade multiple, de multe ori cu etiologie variată:
miocardic acut, aritmii, insuficiență cardiacă) în
5
microbiană, fungică, virală. Complicaţiile infecțioase au
cazuri, un pacient cu carcinom cu celule mici al lobului
impus temporizarea tratamentului chimioterapic din
pulmonar stâng superior, un pacient cu multiple
cauza stării precare a pacientului și s-au concretizat în
diseminări secundare și un pacient datorită transformării
cele din urmă în cauză de deces. Ca spectru etiologic
blastice a unui sindrom mieloproliferativ cronic
predomină infecțiile microbiene, urmate de cele fungice
preexistent.
și virale.
Toate decesele prin sepsis, 5 pacienți cu vârsta medie
Cele mai frecvente cauze de deces în LLC rămân
66,8±5,38 ani, au avut ca punct de plecare o complicație
infecţiile severe sistemice
(în special pneumonia şi
infecțioasă microbiană.
septicemia), sângerarea, inaniţia şi caşexia. Regresia
Sintetizând cauzele deceselor tuturor pacienţilor din
clinică spontană a fost rar raportată
[4]. Cu toate
studiu, infecţiile şi a doua neoplazie reprezintă 50% din
progresele terapeutice înregistrate în ultima decadă,
cauzele de deces (Figura 1).
complicaţiile infecțioase au o rată ridicată de incidență
şi reprezintă o importantă cauză de morbiditate și
Discuții
mortalitate [5]. Spectrul microbian al infecțiilor este
specific în funcție de tratament [6,7].
În studiul nostru am constatat că
37,8% din
Pacienţii cu LLC au un risc de două ori mai mare de
pacienţi au avut cel puţin un episod infecţios în cursul
a dezvolta al doilea cancer, cu predominanţa anumitor
evoluţiei bolii. Procentul creşte la
38,6% în rândul
tipuri: piele, prostată, mamar, melanom, limfom,
pacienţilor care au primit cel puţin o linie chimioterapică
gastro-intestinal, pulmonar. La pacienţii care au fost
şi este de doar
13,3% în rândul pacienţilor fără
trataţi pentru LLC, schema de tratament nu a afectat
tratament. Un procent însemnat (23,6%) din pacienţii
riscul apariţiei ulterioare a cancerului
(p=0,49)
[2].
trataţi au înregistrat în cursul evoluţiei bolii două sau
Predispoziţia pacienților cu LLC la dezvoltarea unui al
mai multe episoade infecţioase, dar în lotul de pacienţi
doilea cancer se datorează disfuncțiilor sistemului
netrataţi nu se întâlnesc episoade infecţioase multiple.
imunitar, chimioterapiei sau a instabilității genomice
Cele mai frecvente complicaţii infecţioase sunt de
[8]. LLC este caracterizată de deprecierea progresivă atât
etiologie microbiană, reprezentând aproape jumătate
a imunității mediate celular (defecte ale celulei natural
din total (48%), apoi urmează cele fungice (28%) şi cele
killer, defecte ale limfocitelor B, anomalii cantitative şi
virale (24%).
calitative ale celulei T), cât și a imunităţii mediate
S-a constatat că 9 pacienți (12%), din totalul de 74
umoral
(niveluri scăzute de gammaglobuline)
[9].
pacienți luați în studiu, au dezvoltat în cursul evoluției a
Îndeosebi terapia cu analogi nucleozidici adânceşte
doua neoplazie. Toţi aceşti pacienţi provin din rândul
imunosupresia, prin afectarea tuturor elementelor
pacienţilor trataţi.
sistemului imunitar, favorizând atât apariția infecțiilor,
Un număr de 16 pacienţi (21,6%) au decedat în
cât și a celei de-a doua neoplazii. În majoritatea cazurilor,
perioada desfăşurarii studiului, 4 pacienţi din grupul
cea de a doua malignitate se dezvoltă după mai mulți ani
fără tratament şi 12 din cel care a primit tratament
de evoluție a LLC și este non hematologică. Destul de
chimioterapic.
frecvent există o perioadă de remisie spontană a LLC,
care precede cu luni sau ani apariția celei de-a doua
tumori maligne (la 33% dintre pacienții) [10]. Frecvența
asocierii LLC cu a doua neoplazie este crescută (16%) și
este binecunoscut faptul că peste două treimi din
pacienţi vor muri din această cauză. Un procent de 12%
din pacienții lotului nostru au dezvoltat a doua
malignitate după un interval mediu de timp de 49 de
luni și din aceștia, 40% au fost tratați cu analogi purinici
Figura 1. Cauze de deces în lotul global de pacienţi cu LLC
asociaţi cu antracicline.
Causes of Death in Chronic Lymphocytic Leukemia
93
Original articles
MEDICAL CONNECTIONS • NUMBER 2 (38) • JUNE 2015
Cele mai frecvente complicații, considerate cauze de
and genotypic features. Blood
2003;102(3):1035-
deces pentru pacienții cu LLC, sunt infecțiile și a doua
41.
neoplazie primară. Infecțiile sunt incriminate ca fiind
2.
Tsimberidou AM, Wen S, McLaughlin P, et al. Other
cauze de deces pentru 25-50% dintre pacienții cu LLC
malignancies in chronic lymphocytic leukemia/small
[11]. În studiul nostru, infecțiile au fost cauză de deces
lymphocytic lymphoma. J Clin Oncol 2009;27 (6):904-
pentru aproape 42% dintre pacienți, având vârsta medie
10.
66,8 ani. Având în vedere imunosupresia cu dublă
3.
Whitacre DC, Hedjran F, Schmidt-Wolf I, et al.
determinare, boala de bază și tratamentul chimioterapic,
Highly efficient gene-transfer into chronic lymphocytic
până și infecțiile banale pot avea un potențial mare de
leukemia cells using adenovirus type 35 genetic vectors.
risc la acești pacienți. Pentru complicațiile infecțioase
Blood 2005;106(11):596a.
respiratorii, cutanate sau de tract urinar au fost
4.
Tomas R, Ribeiro I, Shepherd P, et al. Spontaneous
incriminați, în principal, Streptococcus pneumoniae,
clinical regression in chronic lymphocytic leukaemia. Br
Staphilococcus aureus, Staphilococcus haemolyticus, E.
J Haematol 2002;116(2):341-5.
coli și virusul varicelo-zosterian. Etiologia infecțiilor la
5.
Morrison VA. Infectious complications of chronic
pacienţii noştri este reprezentată de stafilococ, streptococ
lymphocytic leukaemia: pathogenesis, spectrum of
sau bacilul piocianic. Severitatea, frecvența și tipul
infection, preventive approaches. Best Pract Res Clin
infecției
este
determinată
de
gradul
Haematol 2010;23(1):145-53.
hipogamaglobulinemiei
[12]. O altă cauză de deces
6.
Morrison VA. Infectious complications in patients with
remarcată în lotul nostru, legată de boala de bază, a fost
chronic lymphocytic leukemia: pathogenesis, spectrum of
apariția celei de-a doua neoplazii, cel mai frecvent după
infection, and approaches to prophylaxis. Clin
4 ani de la administrarea primei cure chimioterapice. De
Lymphoma Myeloma 2009;9(5):365-70.
aceea, orice simptom nou apărut în evoluția LLC, cu
7.
Stelmach P, Robak T. Pathogenesis, prophylaxis and
atât mai mult dacă nu are legătură cu boala de bază,
treatment of infections in patients with chronic
trebuie atent investigat pentru că poate fi semnalul celui
lymphocytic leukemia. Postepy Hig Med Dosw
de-al doilea cancer.
(Online) 2013;67:560-8.
8.
Morton LM, Curtis RE, Linet MS, Bluhm EC,
Concluzii
Tucker MA, Caporaso N, et al. Second malignancy
risks after non-Hodgkin’s lymphoma and chronic
Cele mai frecvente complicaţii ale LLC, considerate
lymphocytic leukemia: differences by lymphoma subtype.
cauze de deces, sunt infecția și a doua neoplazie.
J Clin Oncol 2010;28(33):4935-44.
Toți pacienții cu LLC trebuie atenționați asupra
9.
Dasanu CA, Alexandrescu DT. Risk for second
posibilității apariției unor noi simptome în evoluția
nonlymphoid neoplasms in chronic lymphocytic
bolii, chiar aparent fără legătură cu boala de bază, pentru
leukemia. MedGenMed 2007;9(4):35.
că ridică suspiciunea dezvoltării celei de-a doua neoplazii
10.
Wiernik PH. Second neoplasms in patients with chronic
primare.
lymphocytic leukemia. Curr Treat Options Oncol
2004;5(3):215-23.
11.
Hamblin AD, Hamblin TJ. Te immunodeficiency of
Referințe
chronic lymphocytic leukaemia. Br Med Bull 2008;87:49-62.
12.
Brenner H, Gondos A, Pulte D. Trends in long-term
1. Guarini A, Gaidano G, Mauro FR, Capello D, et
survival of patients with chronic lymphocytic leukemia
al. Chronic lymphocytic leukemia patients with highly
from the
1980s to the early
21st century. Blood
stable and indolent disease show distinctive phenotypic
2008;110(10):4916-21.
94
Gavrilă et al
Original articles
MODIFICAREA SECREȚIEI GASTRICE ACIDE PRODUSE DE
ACTIVAREA IZOENZIMELOR ANHIDRAZEI CARBONICE II ȘI IV
Andreea Vlad1, Marcela Coltau2, Ioan Pușcaș†
1Facultatea de Medicină, Universitatea din Oradea, România, 2Spitalul Orășenesc „Prof. Dr. Ioan Pușcaș”, Șimleu
Silvaniei, Sălaj, România
Adresa pentru corespondență:
Dr. Vlad Andreea
Departamentul Discipline Medicale, Facultatea de Medicină, Universitatea din Oradea
Strada 1 Decembrie nr 10, 410068, Oradea, România
Tel. +40-(770)-122-403,
Email: dalvnoi@yahoo.com
Primit: 05.05.2015
Acceptat: 30.05.2015
Med Con June 2015 Vol 10, No 2, 95-101
Rezumat
Cuvinte cheie: Anhidraza Carbonică II, Anhidraza
Carbonică IV, histamina, gastrina, acetilcolina
Anhidraza carbonică
(AC), catalizează reversibil
una dintre cele mai simple reacții chimice, cea dintre
Introducere
dioxid de carbon și apă. Studiul de față își propune să
analizeze efectul administrării secretagogilor gastrici
Începând cu anii
1940 când a fost raportată
majori asupra activității izoenzimei AC II eritrocitare,
descoperirea inhibiției anhidrazei carbonice de către
precum și variațiile secreției gastrice acide în acest
sulfonamide, interesul față de activitatea celor 14 alfa-
context.
izoenzime descoperite la specia umană a fost constant
Material și metodă: au fost admiși în studiu un
[1-3]. Studii ale unor autori recunoscuți, începând cu
număr de 96 voluntari sănătoși, împărțiți în trei grupe.
Mann și Keilin (1940), Anglia, care au relatat despre
Acestora li s-a administrat medicație cu histamină,
inhibiția cu sulfonamide asupra izoenzimelor AC, apoi
pentagastrină și acetilcolină. S-a determinat activitatea
Leiner (1940), Germania, despre activarea izoenzimelor
AC II din hematii și secreția gastrică acidă înainte și
AC indusă de diferitele clase de compuși, au fost
după tratament.
continuate, fiind descoperite mecanisme noi inhibitorii/
Rezultate: s-a obținut creșterea semnificativă a
activatorii.
Ipotezele care explică mecanismele
activității AC II eritrocitare prin stimularea cu histamină,
activatoare ale izoenzimelor AC I și II au fost descrise de
pentagastrină și acetilcolină, corelată cu creșterea
diferiți cercetători [4-6]. În 1997 când a fost efectuată
semnificativă a secreției gastrice acide.
prima structură cristalografică cu raze X a AC II sub
Concluzii: studiul indică faptul că toți secretagogii
acțiunea diferiților activatori raportată de Briganti și
majori ai secreției gastrice acide sunt activatori puternici
colaboratorii [7] a fost dovedită indubitabil existența
și ai AC II din hematii, enzima care se corelează direct
clasei de activatori ai AC, precum și elucidarea
cu activarea AC IV din mucoasa parietală gastrică,
mecanismului lor de acțiune.
precum și prezența unui mecanism dual de acțiune al
Interesul constant al colectivului condus de Prof.
acestora, atât direct asupra secreției gastrice acide, cât și
Pușcaș [8-10] la Șimleul Silvaniei, duce la descoperirea
asupra anhidrazei carbonice gastrice.
,,teoriei pH-lui”, care prezintă Anhidraza Carbonică ca
The Modification of Gastric Acid Secretion Produced by The Activation of Carbonic Anhydrase Ii and Iv Isoenzyme
95
Original articles
MEDICAL CONNECTIONS • NUMBER 2 (38) • JUNE 2015
element comun al celor
3 receptori: de histamină,
Material și metodă
gastrină și acetilcolină în secreția gastrică acidă.
Este bine cunoscut faptul că secreția gastrică acidă
Studiul s-a desfăşurat în conformitate cu Declaraţia
este reglată prin mecanisme paracrine, endocrine și
de la Helsinki, modificată prin Rezoluţia celei de-a 21-a
neuroendocrine. Activatorii majori ai secreției gastrice
Reuniuni Mondiale de la Veneția, Italia din 1983 şi apoi
sunt: histamina, gastrina și acetilcolina, iar cei mai
prin Rezoluţia celei de-a 41-a Reuniuni Mondiale de la
importanți inhibitori endogeni sunt: colecistokinina,
Hong Kong din 1989. Protocolul de studiu a fost
somatostatina, prostaglandinele și secretina.
aprobat şi de către Comitetul Etic al Centrului de
Inhibitorii AC, cum ar fi acetazolamida, reduc
Cercetări din cadrul Spitalului Orășenesc
„Prof. Dr.
activitatea AC II din eritrocite și din citozolul celulei
Ioan Pușcaș” din Şimleul Silvaniei, Sălaj, locul unde s-au
parietale, precum și activitatea AC IV din membrana
desfăşurat experimentele. Înainte de participarea la
celulei parietale gastrice, în paralel cu reducerea debitului
studiu, de la toți voluntarii s-a obtinut un consimțământ
acid bazal (BAO) și a debitului acid maximal (MAO).
informat. Studiul a fost axat pe rezultate doză-răspuns.
Efectul este progresiv și dependent de doză [11,12].
Pacienți
Pornind de la aceste rezultate, în lucrarea prezentă, am
Am selectat 96 de voluntari sănătoși (bărbați și
urmărit în paralel efectul histaminei, gastrinei și
femei) cu vârste cuprinse între 30 și 50 de ani, cu indexul
acetilcolinei asupra anhidrazei carbonice II din hematii
de masă corporală cuprins între 23,09-23,34 kg/m2,
și asupra secreției gastrice acide.
împărțiți în trei grupe (I-III). Subiecții au fost evaluați
Tabel I. Parametrii antropometrici și de laborator ai voluntarilor incluși în studiu*
Parametri antropometrici/
Group I
Group II
Group III
biochimici
(N=30)
(N=31)
(N=35)
Vârsta
42,80±5,98
39,57±7,74
42,77±5,68
Parametrii antropometrici
Greutate (kg)
68,07±8,85
67,97±9,18
68,60±8,28
Înălțime(m)
1,66±0,32
1,66±0,32
1,66±0,30
IMC(kg/m2)
23,16±1,25
23,09±1,48
23,34±1,22
VSH(mm/1 ora)
1,43±0,50
1,39±0,49
1,37±0,53
VSH/(mm/2 ora)
10,20±2,04
10,06±1,53
10,69±1,89
Hemoleucograma
RBC (µl)
4,71x103±0,71
4,74x103±0,72
4,82x103±0,70
HGB (g/dl)
14,48±2,96
14,67±3,08
14,63±2,90
MCV (fl)
88,24±9,38
89,63±11,96
89,49±11,23
MCHC (g/dl)
33,79±1,57
34,00±1,91
34,11±1,88
PLT (µl)
267,45x103±113,26
273,20x103±115,66
272,03x103±107,65
Analize biochimice
GlU (mg/dl)
87,90±18,28
89,13±19,20
88,09±17,84
CHOL (mg/dl)
132,17±56,34
134,43±56,72
131,80±51,13
CREA (mg/dl)
0,92±0,22
0,92±0,22
0,93±0,20
GGT (U/L)
20,17±10,08
21,33±9,94
20,97±12,30
GPT (U/L)
22,41±10,74
21,97±10,98
22,17±9,76
GOT (U/L)
26,62±9,55
26,33±9,51
25,03±10,59
PT(g/dl)
7,66±0,75
7,67±0,74
7,49±0,82
TRIG (mg/dl)
86,21±32,59
86,67±32,12
89,43±31,58
Ureea
29,48±10,55
30,33±10,75
33,86±13,67
Sumar de urină
pH
7,21±0,15
7,05±0,15
7,03±0,23
LEU
negativ
negativ
negativ
GLU
negativ
negativ
negativ
*Valorile medii și deviația standard. IMC- indice de masă corporală, VSH- viteza de sedimentare a hematiilor, RBC- celule roșii, HGB-
hemoglobina, MCV- volum mediu eritrocitar, MCHC- concentrație medie eritrocitară, PLT- trombocite, CHOL- colesterol, CREA-
creatinina, PT- proteine totale, TRIG- trigliceride, LEU- leucocite, GLU- glucoză
96
Vlad et al
MEDICAL CONNECTIONS • NUMBER 2 (38) • JUNE 2015
Original articles
Tabel II. Reactivii folosiți la determinarea activității enzimatice a anhidrazei carbonice
Reactivi
Condiții/Preparare
Soluție stoc de anhidrază carbonică II Concentrația soluției stoc de anhidrază carbonică II a fost de 3,44x10-5M
p-nitrofenol, 0,2 mM
pH=7,5; temperatura 20-25oC. A fost folosit ca indicator de pH
Tampon HEPES, 20 mM
pH=7,5; temperatura 20-25oC
Soluție CO2, 15 mM
Soluția a fost obținută prin barbotarea CO2 în apa bidistilată până la saturație.
Concentrația de CO2 a fost determinată utilizând un electrod CO2 (Orion
9502 BN) conectat la un ion-metru Orion 720A. Soluția standard de CO2 a
fost pregatită utilizând soluția de NaHCO3, 0,1 M, cu volume diferite (0,5-5
ml), care a fost amestecată cu 5 ml tampon acid citric 1M, pH 4,5
Na2SO4, 0,1M
A fost folosită pentru menținerea tăriei ionice
înainte de participare la studiu prin examen fizic,
transmis de un fotomultiplicator conectat la camera de
hemoleucogramă, glicemie a jeun, examinări uzuale de
amestecare este preluat și vizualizat de un computer
laborator, electrocardiogramă și antecedente personale
echipat cu un coprocesor matematic și un program
patologice. Mediile valorilor indicilor de masă corporală
cinetic de tip RKBIN IS-1. Reactivii folosiți sunt
și a parametrilor biochimici ai voluntarilor din cele trei
specificați în Tabelul II.
grupe sunt prezentate în Tabelul I.
Formula de calcul a activității anhidrazei carbonice
Pacienții cu istoric de boli cronice: diabet zaharat,
este A=(T0-T)/T [UE/ml], unde T0 reprezintă timpul
hipertensiune, glicemia a jeun mai mare de 115mg/dl,
reacției necatalizate, iar T reprezintă timpul reacției
sub tratament cu orice medicație, modificări semnificative
catalizate (în prezența anhidrazei carbonice-AC I, AC II
pe electrocardiogramă, sau ale valorilor de laborator, au
și AC IV din mucoasa gastrică)
fost excluși din studiu.
Determinarea debitului de acid clorhidric gastric
Metoda
Sucul gastric a fost recoltat cu ajutorul unei sonde
Grupului I (N=30) i s-a administrat o doză unică de
nasogastrice înainte și după stimularea cu histamină,
histamină de 0,04 mg/kg-corp s.c., grupului II (N=31) i
pentagastrină, respectiv acetilcolină. Prima probă a fost
s-a administrat o doză de pentagastrină de 0,5mg s.c.,
prelevată înainte de tratament, iar a doua probă la 2 ore
grupului III
(N=35) i s-a administrat acetilcolină
după administrarea terapiei. S-a măsurat volumul
150mg/kg corp i.v. Studiul a fost condus în perioada
sucului gastric și s-a determinat concentrația de HCl
aprilie
2012-martie 2013 la Centrul de Cercetare al
liber prin titrare cu NaOH 0,1N la pH 7. Debitul acid
Spitalului Orășenesc ,,Prof. Dr. Ioan Pușcaș”, Șimleul
s-a exprimat în mEq/h.
Silvaniei, Sălaj, România.
Analiza statistică
Determinarea activității anhidrazei carbonice
Datele obținute sunt exprimate ca medie±deviația
Activitatea AC II eritrocitară a fost separată de
standard
(DS). Valorile p<0,05 au fost considerate
activitatea AC I eritrocitară utilizând testul cu nicotinați
semnificative. Testul t (“Unpaired t test”) a fost efectuat
[13]. Acest test constă în inhibiția selectivă a activității
folosind Prism GraphPad versiunea
5.00 pentru
AC I. În prima etapă se determină activitatea totală a AC.
Windows, software-ul GraphPad, Statele Unite ale
Se adaugă metilnicotinat în concentrație de 5x10-4M care
Americii, California, San Diego, www.graphpad.com.
inhibă complet activitatea AC I. Activitatea restantă a AC
din globulele roșii reprezintă activitatea AC II.
Rezultate
Determinarea activității anhidrazei carbonice s-a
realizat prin metoda
„stopped-flow”
[14]. Această
În acest studiu au fost incluși
96 de voluntari.
metodă constă în măsurarea activității enzimatice a
Aceștia au fost adulți (cu media greutății cuprinsă între
reacției de hidratare a CO2 prin tehnica colorimetrică de
67,97+9,18 kg și
68,6+8,28 kg, înălțimea medie
schimbare a pH-ului. S-a măsurat timpul în care pH-ul
cuprinsă între
1,65 m și 1,66 m), indice de masă
amestecului de reacție scade de la valoarea inițială de 7,5
corporală normal. Ei au avut hemoleucograma în limite
la valoarea finală de
6,5. Urmărirea reacției se face
normale, glicemia a jeun mai mică decât 115mg/dl, fără
spectrofotometric la lungimea de undă de 400 nm, cu
hepatocitoliză, profil lipidic normal, iar în sumarul de
un spectrofotometru
(model HI-TECH SF-51MX,
urină nu au prezentat leucocite, glucoză sau albumină.
Anglia), echipat cu o unitate de amestecare și un sistem
Toate aceste analize au demonstrat că adulții au fost
de 4 seringi pentru introducerea reactivilor. Semnalul
sănătoși.
The Modification of Gastric Acid Secretion Produced by The Activation of Carbonic Anhydrase Ii and Iv Isoenzyme
97
Original articles
MEDICAL CONNECTIONS • NUMBER 2 (38) • JUNE 2015
În grupul I, administrarea histaminei crește
Discuții
semnificativ activitatea AC II din hematiile voluntarilor,
de la 1,08±0,20 UE/ml la 2,16±0,38 UE/ml (Figura
Rezultatele studiului nostru dovedesc că histamina,
1A). De asemenea, tratamentul cu histamină, crește
acetilcolina și pentagastrina cresc activitatea AC II
semnificativ debitul acid bazal (BAO) de la 2,56±1,12
eritrocitare, concomitent cu creșterea secreției gastrice
mEq/h la 11,23±2,08 mEq/h (Figura 2A).
acide. Determinarea activității AC II eritocitare în studiul
În grupul II, administrarea pentagastrinei crește
nostru, reprezintă o modalitate neinvazivă de explorare a
semnificativ activitatea AC II din hematiile voluntarilor
activității AC IV gastrice, cercetările anterioare dovedind
de la 0,97±0,17 UE/ml la 1,89±0,25 UE/ml (Figura
faptul că toți secretagogii majori ai secreției gastrice acide
1B). De asemenea, tratamentul cu pentagastrină crește
sunt activatori puternici ai anhidrazei carbonice II din
semnificativ debitul acid bazal (BAO) de la 3,21±1,23
hematii, activitate care se corelează direct cu creșterea
mEq/h la 8,37±1,91 mEq/h (Figura 2B).
activității anhidrazei carbonice IV din mucoasa gastrică și
În grupul III, administrarea acetilcolinei crește
creșterea secreției gastrice acide. Se conturează astfel
semnificativ activitatea AC II din hematii de la
acțiunea duală a secretagogilor majori asupra membrane
1,14±0,23 UE/ml la 1,63±0,18 UE/ml (Figura 1C). De
celulei parietale: primul mecanism, bine cunoscut, care
asemenea, tratamentul cu acetilcolină crește semnificativ
constă în acțiunea stimulului asupra receptorului său
debitul acid bazal (BAO) de la 2,84±0,97 mEq/h la
specific de pe membrana celulară, cu formarea
6,79±1,45 mEq/h (Figura 2C).
complexului stimul-receptor; al doilea mecanism vine să
A
B
C
Figura 1. Activitatea AC II măsurată înainte și după tratamentul cu A. histamină, B. pantagastrină și C. acetilcolină.
1A: graficul creșterii activității anhidrazei carbonice II din hematii după administrarea dozei unice de histamină 0,04 mg/kg
corp. S-a măsurat activitatea AC II înainte și după tratament. Valorile activității AC II din hematii variază semnificativ
statistic (p=0,0009) înainte și după tratament (unpaired-t test); N=30 pacienți. 1B: graficul creșterii activității AC II din
hematii după administrarea dozei unice de pentagastrină 0,5 mg subcutanat. Valorile activității AC II din hematii variază
semnificativ statistic (p=0,0385) înainte și după tratament (unpaired -t test); N=31 pacienți. 1C: graficul creșterii activității
AC II din hematii după administrarea dozei unice de acetilcolină 150 mg/kg corp.Valorile activității AC II din hematii
variază semnificativ statistic (p=0,0009) înainte și după tratament; N=35 pacienți
98
Vlad et al
MEDICAL CONNECTIONS • NUMBER 2 (38) • JUNE 2015
Original articles
A
B
C
Figura 2. Secreția gastrică acidă măsurată înainte și după tratamentul cu A. histamină, B. pentagastrină, C. acetilcolină.
2A: graficul creșterii semnificativ statistice (p=0,0013) a secreției gastrice acide stimulate cu histamină 0,04 mg/kg corp față de
secreția gastric acidă nestimulată (N=30). 2B: graficul creșterii semnificativ statistice (p=0,0186) a secreției gastrice acide
stimulate cu pentagastrină 0,5mg subcutanat faă de secreția gastrică acidă nestimulată (N=31). 2C: graficul creșterii
semnificativ statistice (p=0,0261) a secreției gastrice acide stimulate cu acetilcolină 150mg/kg corp față de secreția gastrică
acidă nestimulată (N=35)
îl completeze pe primul. Prin această a doua componentă
cuplată funcțional cu acești receptori [13,15,16], având
a mecanismului, același stimul se adresează direct
ca rezultat schimbări de pH. Creșterea pH-lui are
izoenzimei AC IV care este localizată pe întreaga suprafață
consecințe asupra legării stimul-receptor, asupra
a membranei celulei parietale, astfel încât activarea ei
transmiterii semnalului în celulă și asupra reducerii
asigură un pH adecvat pentru cuplarea stimul-receptor
secreției gastrice acide.
(în cazul nostru histamina, gastrina și acetilcolina, cu
O dovadă privind implicarea AC IV din membrana
fiecare dintre receptorii lor specifici), pentru transmiterea
celulei parietale în secreția gastrică acidă o reprezintă
semnalului în celulă, având ca rezultat creșterea secreției
faptul că toți activatorii izoenzimei cresc producția de
gastrice acide.
HCl, iar toți inhibitorii săi o scad.
S-a preferat determinarea AC II din eritrocite
Datele sugerează existența unei cuplări funcționale
datorită rapidității și posibilității minim invazive de
între AC IV și receptorii de histamină, gastrină și
determinare a activității acesteia.
acetilcolină, respectiv între AC IV și receptorii de
Rezultatele dovedesc același mecanism dual pentru
somatostatină, prostaglandină, calcitonină localizați pe
toți inhibitorii majori ai secreției gastrice acide. În acest
membranele celulei parietale.
fel, somatostatina, prostaglandinele, calcitonina și
Secreția gastrică acidă este rezultatul unor procese
benzimidazolii substituiți
(omeprazol, lansoprazol,
biochimice care implică o stimulare a celulei parietale
pantoprazol) se adresează atât receptorilor lor specifici
gastrice prin mecanisme endocrine (gastrină), paracrine
cu care se cuplează, cât și AC IV de membrane care este
(histamină) și neuroendocrine
(acetilcolină), în urma
The Modification of Gastric Acid Secretion Produced by The Activation of Carbonic Anhydrase Ii and Iv Isoenzyme
99
Original articles
MEDICAL CONNECTIONS • NUMBER 2 (38) • JUNE 2015
cărora rezultă ionul de H+ care se cuplează în lumenul
produce nu numai prin histamină, ci și prin gastrină
gastric cu ionul Cl- rezultând HCl. Până în prezent au
[13]. Mai mult, studii recente efectuate prin cristalografie
fost formulate două teorii asupra eliberării ionului de H+:
cu raze X și investigații spectroscopice, au confirmat
teoria lui Code, care consideră histamina mediatorul final
efectul activator direct al histaminei asupra AC, efect
comun al celor trei stimuli secretori gastrici și teoria lui
descris de Prof. Pușcaș cu peste 20 ani în urmă [7].
Grossman-Konturek, sau teoria receptorilor, în care toți
Activarea AC IV din membrana celulei parietale
cei trei secretagogi stimulează celula parietală direct și
produsă de cei trei secretagogi, precum și lipsa acestui
totodată fiecare dintre ei potențează efectul celuilalt [8].
efect activator pe aceași izoenzimă din rinichi, arată o
Studii anterioare in vivo și in vitro au arătat că
specificitate de organ pentru AC IV, respectiv cea din
histamina, gastrina și acetilcolina stimulează activitatea
stomac și cea din rinichi
[8]. Prin urmare, aceste
anhidrazei carbonice IV gastrice printr-o relație directă
rezultate dovedesc implicarea AC IV de membrană în
de tipul doză-răspuns [7,19]. Un punct important al
procesul formării HCl, respectiv stimulii majori ai
cercetarilor Prof. Pușcaș a fost descoperirea, în 1978, a
secreției gastrice acide
- histamina, gastrina și
faptului că histamina este un activator puternic, direct,
acetilcolina, cresc prin mecansim direct de acțiune
al anhidrazei carbonice din mucoasa gastrică și din
activitatea AC II din citozol și AC IV din membrana
eritrocite [18,19].
celulei parietale, atât in vitro cât și in vivo. Activarea
Teoria Prof. Pușcaș și colaboratorii [8-10] vine să
izoenzimelor AC II și AC IV gastrice este paralelă cu
completeze cele două teorii stabilite până în prezent, și
creșterea secreției gastrice acide.
anume teoria lui Code care consideră histamina ca
mediator final comun implicat în secreția gastrică acidă -
Concluzii
în lumina acestei teorii, atât gastrina cât și acetilcolina ar
elibera
histamină
prin
stimularea
celulelor
Rezultatele arată că toți secretagogii majori ai secreției
enterocromafine, histamina la rândul ei ar iniția formarea
gastrice acide sunt activatori puternici ai AC II din
de HCl prin cuplarea ei cu receptorii H2 ai celulei
hematii, enzima care reflectă activitatea aceleași enzime
parietale și respectiv teoria receptorilor formulată de
din mucoasa gastrică. Efectul activator asupra anhidrazei
Grossmansi-Konturek [20] care postulează că receptorii
carbonice se produce în paralel cu creșterea debitului de
H2 specifici de pe membrana celulei parietale, receptorii
acid clorhidric din stomac. Aceste date dovedesc o
de gastrină și cei de acetilcolină se cuplează cu toți stimuli
corelație directă între efectul activator asupra anhidrazei
majori ai secreției gastrice acide, respectiv histamina,
carbonice și cel de stimulare a secreției gastrice acide. Cu
gastrina și acetilcolina [8,21]. Prin această cuplare stimul-
cât efectul de activare al enzimei este mai puternic, cu atât
receptor, este inițiată formarea acidului clorhidric în
mai mult crește stimularea secreției acide. Rezultatele duc
celulele parietale. Conform teoriei Ph-lui, histamina,
la concluzia implicării directe a anhidrazei carbonice în
gastrina și acetilcolina au un efect dual asupra celulei
mecanismul secreției gastrice acide.
parietale: cel cunoscut, adică de legare de receptorii lor
Conflicte de interese: autorii declară că nu sunt
specifici, precum și al doilea efect, acela de activare a AC
conflicte de interese.
IV [10]. Rezultatele sugerează că activarea AC IV prin
eliberarea de H+ produce schimbări de pH indispensabile
legării histaminei, gastrinei și acetilcolinei de receptorii
Referințe
lor specifici de membrană. În acest caz, histamina - calea
finală comună conform teoriei lui Code, sau teoria celor
1. Hewett-Emmett D. Evolution and distribution of the
trei receptori emisă de Grossman-Konturek, are ca
carbonic anhydrase gene families. In: Te Carbonic
element comun AC IV din membrana celulei parietale
Anhydrases
- New Horizons. Chegwidden W.R.,
conform teoriei pH-lui. Acest concept dual privind
Edwards Y, Carter N, eds., Birkhauser Verlag, Basel,
transmiterea semnalelor în celulă este valabil, conform
2000:29-78.
acelorași rezultate, în tot sistemul secretor, vascular și
2. Supuran CT. Carbonic anhydrases: novel therapeutic
renal [9]. În 1978, un punct important al cercetărilor
applications for inhibitors and activators. Nat Rev
colectivului Prof. Pușcaș privind mecanismul secreției
Drug Discov 2008;7(2):168-81.
gastrice acide l-a constituit descoperirea că histamina este
3. Supuran CT, Scozzafava A. Activation of carbonic
un activator puternic și direct al AC din mucoasa gastrică,
anhydrase isozymes. EXS 2000;(90):197-219.
din eritrocite și a celei purificate [8].
4. Lindskog S, Silverman DN. Te catalytic mechanism
În continuare, cercetările efectuate au dovedit că
of
mammalian carbonic anhydrases.
EXS
activarea AC II prin mecanism direct de acțiune se
2000,(90):175-95.
100
Vlad et al
MEDICAL CONNECTIONS • NUMBER 2 (38) • JUNE 2015
Original articles
5.
Supuran CT, Manole G, Manzatu I. Carbonic
anhydrase enzyme in humans (in vitro and in vivo
anhydrase inhibitors.12. Lanthanide complexes with
experiments). J Pharmacol Exp Ter 1999,290(2):530-
acetazolamide as dual inhibitors. Rev Roum Chim
4.
1992;37:739-44.
14.
Khalifah RG. Te carbon dioxide hydration activity of
6.
Pușcaș I, Supuran CT. Carbonic anhydrase is an
carbonic anhydrase. I. Stop-flow kinetic studies on the
important physiological modulator. Te pH Teory. In:
native human isoenzymes B and C. J Biol Chem
Carbonic Anhydrase and Modulation of Physiologic and
1971;246(8):2561-73.
Pathologic Processes in the Organism. Helicon Publ.
15.
Pușcaș I, Coltau M. Prostaglandins with vasodilating
House, Timișoara, România, 1994:147-96.
effects inhibit carbonic anhydrase while vasoconstrictive
7.
Briganti F, Mangani S, Orioli P, Scozzafava A,
prostaglandins and leukotriens B4 and C4 increase CA
Vernaglione G, Supuran C.T. Carbonic Anhydrase
activity. Int J Clin Pharmacol Ter 1995;33(3):176-
Activators: X-ray Crystallographic and Spectroscopic
81.
Investigations for the Interaction of Isozymes I and II
16.
Lindstrom E, Chen E, Norlen P, Anderson K. Control of
with Histamine. Biochemistry 1997;36:10384-92.
gastric acid secretion: the gastrin-ECL cell-parietal cell axis,
8.
Pușcaș I. Carbonic Anhydrase and Modulation of
In: Comparative Biochemistry and Physiology Part A:
Physiologic and Pathologic Processes in the Organism.
Molecular& Integrative Physiology. 2001;128(3):503-11.
Helicon Publ. House, Timișoara, România, 1994:394.
17.
Pușcaș I, Coltau M. Carbonic anhydrase activators.
9.
Pușcaș I. Carbonic Anhydrase is a modulator of
Part.10: Kinetic studies of isozyme II activation with
vasculary and secretory processes in the organism. Te
pentagastrin. Rev Roum Chim 1996;41(1-2):159-63.
pH theory. Digestion 1998;59 (supl. 3):671.
18.
Pușcaș I, Buzas G. Te role of carbonic anhydrase in
10.
Puşcaş I, Chiu A, Buzaş G, Voicu L, Contrasiu P,
gastric acid secretion. Carbonic anhydrase activators and
Mihalaş G, et al. Elucidation of the mechanism of
inhibitors. In: Progress in the pathophysiology and
gastric acid secretion. Rev Med Interna Neurol Psihiatr
treatment of gastric and duodenal ulcers. Roum Acad
Neurochir
Dermatovenerol
Med Interna
Ed 1990,44-75.
1980;32(3):233-47.
19.
Pușcaș I, Supuran CT, Coltau M, Puscas C. Carbonic
11.
Robert A, Lancaster C, Davis JP, Kolbasa KP, Nezamis
anhydrase activators. Part.9. Kinetic parameters for
JE. Ulcer formation and cytoprotection by acetazolamide.
isozyme II activation by histamine prove a noncompetitive
Eur J Pharmacol 1985,118(3):193-201.
type of interaction. Rev Roum 1994;39:115-9.
12.
Puşcaş I. Treatment of gastroduodenal ulcers with
20.
Konturek SJ, Grossman MI. Localization of the
carbonic anhydrase inhibitors. Ann N Y Acad Sci
mechanism for inhibition of gastric secretion by acid in
1984;429:587-91.
the intestine. Gastroenterology 1965;49:74-8.
13.
Pușcaș I, Coltau M, Baican M, Domuta G.
21.
Waldum HL, Sandvik AK, Brenna E, Petersen H.
Omeprazole has a dual mechanism of action: it inhibits
Gastrin-histamine sequence in the regulation of gastric
H (+) K (+) ATPase and gastric mucosa carbonic
acid secretion. Gut 1991;32(6):698-701.
The Modification of Gastric Acid Secretion Produced by The Activation of Carbonic Anhydrase Ii and Iv Isoenzyme
101
Te Palace of Post Office, Satu Mare. During the 18th and
19th centuries, there were two stations of the mail carrier
coaches in Satu Mare, located on both sides of the Someş river.
Te building of the new Post Office in Mihai Viteazu street,
was built in 1907, preserving its destination until today
(Palatul Poștei, Satu Mare. În timpul secolelor al XVIII-lea
și al XIX-lea, existau în Satu Mare două stații ale trăsurilor
poștei, situate pe ambele maluri ale Someșului. Clădirea
noului Oficiu Poștal de pe strada Mihai Viteazu a fost
construită în 1907, păstrându-și destinația
până în zilele noastre)
Satu Mare Airport. One of the oldest airports in Romania,
was founded on the 15th october of 1936 by a Royal Decree,
on the place were is today the Samus aeroclub. In 1937, the
construction of the hangar and the aerostation is finalised. In
1938, the first airplane flew on the
Cluj - Satu Mare - Oradea - Cluj route
(Aeroportul Satu Mare. Unul din cele mai vechi aeroporturi
din România, a fost fondat pe 15 octombrie 1936 printr-un
Decret Regal, pe locul unde astăzi este situat aeroclubul
Samus. În 1937 este finalizată construcția hangarului și a
terminalului. În 1938, primul avion a zburat pe ruta
Cluj - Satu Mare - Oradea - Cluj)
Original articles
STUDIUL PARAMETRILOR ELECTROFIZIOLOGICI ÎN SPONDILOZA
CERVICALĂ
Cecilia Avram1, Alexandru Pop2, Daniela Motoc1, Daniel Raducan1, Irina Alic Orasan3, Ramona Burlacu1
1Departamentul de Fiziologie, Universitatea de Vest „Vasile Goldiș”Arad, 2Departamentul Ortopedie și Traumatologie,
Universitatea de Vest „Vasile Goldiș” Arad, 3Departamentul de Farmacologie, Universitatea de Vest „Vasile Goldiș” Arad
Adresa pentru corespondență:
Dr. Avram Cecilia Roberta
Str. Ștefan Augustin Doinaș nr. 47, bl. L4, Sc. A, Arad, România
E-mail: avramcici02@yahoo.com
Primit: 01.06.2015
Acceptat: 25.06.2015
Med Con June 2015 Vol 10, No 2, 103-108
Rezumat
Cuvinte cheie: spondiloza, electromiografie,
patologieneurologică, hemipareza
Spondiloza este considerată astăzi o boală a
întregului organism, condiţionată de modificări
Introducere
morfopatologice care trebuie interpretate dinamic şi
care se exprimă prin manifestări particulare la nivelul
Afecțiunile coloanei vertebrale pot apărea la
coloanei vertebrale. Electromiografia (EMGS) este un
diferite niveluri ale coloanei vertebrale: cervicală (C1 la
instrument de diagnosticare care evaluează modificări
C7), dorsală (T1 la T12), lombară (L1la L5) și sacrală.
musculare sau nervoase. Scopul studiului este de a
Cea mai des întâlnită este spondiloza cervicală, o
demonstra c ă d ia gn o st i cul s po n di lo zei c er v i ca le
afecţiune degenerativă a vertebrelor şi discurilor
se pune nu numai radiologic ci și prin
intervertebrale. Clinic se manifestă prin dureri în zona
electromiografie. Grupul de studiu cuprinde 71 de
cefei şi umerilor, asociate sau nu cu simptome
persoane. Tuturor pacienților studiaţi li s-a efectuat
neurologice datorate compresiunilor nervoase. Apariția
EMGS din muşchii dorsali ai gâtului, respectiv trapez.
bolilor coloanei vertebrale poate fi grabită de
După introducerea EMG brută în calculator, prin
traumatisme ale coloanei, poziții incorecte ale coloanei
prelucrarea ei matematică au rezultat 11 parametri. Se
în timpul activității, căratul greutăților prea mari,
remarcă diferenţe foarte mari între valorile parametrilor,
osteoporoza, cifoza, scolioza, etc
[1]. Acestea pot
mai ales ai celor de timp, între subiecţii cu patologie
conduce în timp la hernie de disc, sciatică, stenoză
unilaterală, sau bilaterală şi subiecţii martori (sănătoşi)
spinală și spondiloză. În cazurile în care articulațiile de
sau cu patologie neurologică. În studiul efectuat am
la nivelul coloanei vertebrale tind să se inflameze, poate
observat că predomină sexul feminin, cu
2/3 din
să apară spondilita anchilozantă [2].
subiecţi, deşi aşa cum rezultă din literatură, spondiloza
Spondiloza este considerată astăzi o boală a
predomină la bărbaţi, femeile fiind parţial protejate
întregului organism, condiţionată de modificări
hormonal. Considerăm că EMGS înregistrate de noi
morfopatologice care trebuie interpretate dinamic şi
sunt explorări obiective care ne dau posibilitatea
care se exprimă prin manifestări particulare la nivelul
departajării obiective între sănătos şi bolnav.
coloanei vertebrale [3].
Blood Assessment of Some Anti-Inflammatory Cytokines in Psoriatic Arthritis
103
Original articles
MEDICAL CONNECTIONS • NUMBER 2 (38) • JUNE 2015
Maladia cu modificările ei locale osoase şi articulare
medii, sau pareză de plex brahial. Cuprinde 16 pacienți,
se poate constitui prin influenţa cauzelor predispozante
6 bărbaţi şi 10 femei, cu vârsta medie de 53 ani la
şi a celor favorizante, menţinându-se într-o stare latentă,
bărbaţi, 56,2 ani la femei. În acest grup s-au efectuat 32
care poate dura vreme îndelungată, rămânând
înregistrări EMG globale de suprafaţă.
neobservată de bolnav şi descoperită uneori întâmplător,
Grupul martor, subiecți sănătoși, este compus din
cu prilejul unei radiografii făcute cu alt scop [4].
18 subiecţi, 15 femei și 3 bărbați cu vârsta medie de
Există o discordanţă frecventă, binecunoscută,
40,33 ani pentru bărbaţi, respectiv 36,26 de ani pentru
dintre aspectele radiologice şi cele clinice, care se explică
femei. În acest grup s-au efectuat 18 înregistrări EMG
prin mecanismele de adaptare a organismului cu
globale de suprafaţă.
prezenţa leziunii.
Grupul pacienților cu suferinţe subiective, conform
Modificările radioimagistice importante pot fi
declaraţiilor personale, compus din
16 pacienți,
13
observate în cazuri cu tulburări clinice minore şi
femei și 3 bărbați cu vârsta medie 40,5 de ani la bărbaţi,
dimpotrivă, fenomene clinice severe pot fi prezente fără
47,5 de ani la femei. Posibil ca unii dintre ei să fi avut o
ca radiografia să semnaleze vreo deformare osoasă sau
parte bolnavă, dar ei au declarat că suferinţa lor este
articulară [5].
bilaterală. În acest grup s-au efectuat
32 înregistrări
Electromiografia
(EMG) este un instrument de
EMG globale de suprafaţă.
diagnosticare care evaluează modificări musculare sau
Grupul pacienților cu spondiloză cervicală,
nervoase. Acesta utilizează electrozi de suprafață pentru a
unilaterală
(partea afectată) și
(partea sănătoasă) se
evalua capacitatea neuronilor motori de a transmite
compune din 21 pacienți, 13 bărbaţi şi 8 femei. În acest
semnale electrice și electrozi ac pentru evaluarea activității
grup s-au efectuat pe partea afectată
42 înregistrări
musculare în repaus și în contractație. Electromiografia
EMG globale de suprafaţă și
21 înregistrări EMG
globalăde suprafață
(EMGS) reprezintă înregistrarea
globale de suprafaţă pe partea sănătoasă.
potenţialelor de acţiune generate de fibrele musculare, în
De remarcat că în acestă grupă cu patologie
stare de repaus (atunci când apar potenţiale spontane, în
evidentă, predomină sexul masculin. Acesta este cel mai
patologie), în contracţia musculară voluntară şi eventual
important cercetării noastre, deoarece pe înregistrările
după stimularea directă a muşchiului sau indirectă a
EMGS la aceeaşi persoană am putut depista diferenţele
fibrelor nervoase care inervează muşchiul în cauză. EMGS
evidente dintre partea afectată şi cea sănătoasă.
este importantă în fiziologie şi medicina muncii, sau în
Electromiografia prin metoda globală de suprafaţă
recuperare şi psihofiziologie, pentru a detecta care grupe
poate fi superioară celei unitare, care cu ajutorul acelor
musculare sunt antrenate într-o anumită activitate, efort
culege doar potenţiale de unitate motorie
(PUM)
fizic, sportiv sau de muncă (alergare, ridicare, aruncare,
dintr-o zonă limitată în jurul vârfului acului şi nu din
săritură, etc) [6,7,8].
întregul (sau o mare parte din) muşchi; prin metoda
În această lucrare am utilizat înregistrări EMG
invazivă se obţine morfologia precisă a PUM-ului de
globale de suprafaţă. Nu am utilizat metoda invazivă,
activitate ale uneia sau câtorva unităţi motorii recrutate
prin intermediul electrozilor aciculari Adrian Bronk,
în contracţie slabă, prezente în jurul vârfului acului
deoarece nu este etic a supune subiecţi sănătoşi unei
[9,10].
examinări inutile.
Tehnica de înregistrare a EMG globale (EMGS)
Scopul studiului este de a demonstra că diagnosticul
Tuturor pacienților studiaţi li s-a efectuat EMGS
spondilozei cervicale se pune nu numai radiologic ci și
din muşchii dorsali ai gâtului, respectiv trapez (musculus
prin electromiografie (EMG). Aceasta pune în evidenţă
trapezius). Pentru aceasta, s-au aplicat pe muşchiul
compresiunea unei rădăcini a coloanei cervicale,
trapez echidistant, între spinele vertebrelor cervicale şi
permițând decelarea unor potenţiale iritative chiar în
acromion, doi electrozi din argint clorurat de formă
formele asimptomatice neurologic. Metoda are valoare
dreptunghiulară, fiecare cu o suprafaţă de aproximativ
deosebită în localizarea nivelului leziunii.
0,5 cm2, ei fiind fixaţi pe o plăcuţă de plastic (pentru ca
toate condiţiile de înregistrare să fie identice la toţi
Material și metode
subiecţii) respectiv distanţa dintre electrozi de
aproximativ 1 cm [11].
Grupul de studiu cuprinde
71 de persoane.
Electrodul de masă a fost pus pe antebraţ. Înainte
Repartiţia pe sexe este de 25 bărbaţi (35,22%) şi 46
de aplicarea electrozilor s-a făcut degresarea tegumentelor
femei (64,78%).
cu amestec de alcool-eter în părţi egale, apoi s-a aplicat
Grupul pacienților cu patologie neurologică, este
pe electrozi o pastă bună conducătoare de electricitate,
reprezentat de pacienți suferind de hemipareze uşoare şi
izotonă, după care electrozii au fost aplicaţi pe piele în
104
Ciacli et al
MEDICAL CONNECTIONS • NUMBER 2 (38) • JUNE 2015
Original articles
zona degresată. Placa de plastic pe care erau montaţi
• frecvenţa medie (Fav, măsurată în Hz),
electrozii a fost fixată pe pielea din jur cu benzi de
• frecvenţa mediană (Fmed, măsurată în Hz),
leucoplast [11].
• densitate maximă de putere (Smax, măsurată în
S-au făcut înregistrări succesive ale unor contracţii
mV2/ms),
maximale, mai întâi în partea stângă, apoi în partea
• frecvenţa la care apare densitatea maximă de
dreaptă. În timpul înregistrării subiectul execută o
putere (Fsmax, măsurată în Hz).
contracţie maximală a grupului de muşchi respectiv,
Ordinea celor
11 parametri este cea pe care o
timp de câteva zeci de secunde, în care EMGS globală
afişează automat calculatorul pe două ecrane succesive şi
obţinută este stocată pe un calculator.
nu este ordinea pe care o vom utiliza noi ulterior.
Potenţialele biologice derivate de pe pielea de
Calculatorul prelucra fragmente de EMG cu durată de
deasupra muşchiului în contracţie au fost amplificate
410 ms, din 5 în 5 secunde, deci prelucra EMG pe 410
biologic pentru EMG, care era reglat la o constantă de
ms, făcând apoi o pauză de 4590 de milisecunde, apoi
timp (filtrul trece sus) de 100 ms (aproximativ 0,ls), iar
ciclul era reluat. Prelucrând 410 ms în fiecare secundă
filtrul de frecvenţă înaltă (filtrul trece jos) la 20 KHz.
(deci
410 ms prelucrat,
510 ms pauză neprelucrat)
Bolnavii stăteau comod pe scaun în condiţii de
deoarece achiziţionarea pe perioade foarte scurte de
confort termic, semiobscuritate, lipsă de zgomot, fără
timp EMGS ne-a obligat să prelucrăm câte 410 ms la
stress-uri psihice, fără consum de alcool sau medicamente
fiecare secundă. Cei
11 parametri plus o deviaţie
în ultimele ore, care ar putea influenţa activitatea
standard pe care nu am utilizat-o, erau afişaţi într-un
musculară; fără senzaţie de foame şi sete. Înregistrările
prim ecran împreună cu 2 trasee, EMG - 7 dintre ei, iar
s-au făcut practic la aceeaşi oră din zi (12-13), pentru a
pe al doilea ecran, împreună cu spectrul de frecvenţă
respecta şi condiţiile egale din punct de vedere al
obţinut prin analiză transformată Fourier rapidă (F.F.T.)
ritmului circadian. S-a avut grijă, aşa cum s-a mai arătat,
- încă 4 parametri. Programul de calcul făcea şi o trasare
ca lotul martor să aibe vârste sensibil egale cu cele ale
a evoluţiei în timp a celor 11 parametri ai EMG pe alte
loturilor de bolnavi înregistraţi, deşi nu s-a reuşit în
două ecrane pentru primii 7 parametri şi apoi pentru
totalitate.
următorii 4 parametri. Graficele cu evoluţie în timp ale
Aparatura utilizată
parametrilor sunt necesare în cazul analizei îndelungate
Pentru înregistrarea şi prelucrarea digitală a EMGS
a unei EMGS până la instalarea oboselii totale. În
a fost utilizat un electromiograf marca MEDICOR tip
lucrarea noastră am înregistrat doar câteva zeci de
MG440 cu 4 canale. EMG astfel amplificată a fost
secunde EMGS din timpul unei contracţii voluntare
achiziţionată cu ajutorul unei plăci de achiziţie
maximale, ceea ce nu a mai necesitat şi trasarea în timp
reprezentată de placa de sunet standard pentru toate
a evoluţiei parametrilor.
calculatoarele moderne. Aceasta eşantiona EMG cu
Valorile parametrilor EMG de suprafaţă de la
2.500 de eşantioane pe secundă. Apoi aceeaşi placă a
loturile martor, bilateral şi cu patologii neurologice sunt
efectuat conversia analog/digitală pe 12 biți, iar EMG
valori medii dreapta-stânga. Valoarea fiecărui parametru
astfel digitalizată a fost introdusă într-un calculator.
din dreapta a fost adunată cu cea obţinută în stânga şi
EMG achiziţionată de calculator a fost prelucrată cu
apoi s-a făcut media acestora. Este normal la cele 3 loturi
ajutorul unui program original dedicat analizei automate
amintite martor, bilateral și cu patologie neurologică,
a EMG. După introducerea EMG brută în calculator,
deoarece nu avem nimic lateralizat, astfel că în ambele
prin prelucrarea ei matematică au rezultat 11 parametri:
laturi avem valori asemănătoare, fapt care ne-a
• amplitudinea maximă (Amax, măsurată în mV),
îndreptăţit să calculăm mediile acestor valori din dreapta
• valoarea medie redresată a semnalului (VMR,
+ stânga. Doar datele pacienților cu patologie unilaterală
măsurată în mV),
au fost diferit prelucrate. Nu s-a mai făcut medie dreapta
• valoarea medie pătratică a semnalului (RMS,
+ stânga, ci înregistrările din partea afectată au fost
măsurată în mV),
separate de cele din partea sănătoasă, iar valorile obţinute
• integrala semnalului redresat (ISR, măsurată în
în partea afectată au fost prelucrate separat de cele din
mV ms),
partea sănătoasă. Am obţinut astfel două grupe de valori
• aria medie/amplitudinea medie (Raa, măsurată
disticte, practic două grupe separate de valori, chiar dacă
în ms),
proveneau de la acelaşi lot de bolnavi, respectiv lotul cu
• numărul de puncte de întoarcere
(NPI,
patologie unilaterală. De remarcat că programul de
măsurată în Hz),
calcul fiind perfect, obţine valori ale parametrilor strict
• număr de treceri prin zero (NTZ, măsurată în
identice pe ambele canale ale PC, care bineînţeles
Hz),
prelucrează în paralel aceeaşi EMGS de 410ms.
Blood Assessment of Some Anti-Inflammatory Cytokines in Psoriatic Arthritis
105
Original articles
MEDICAL CONNECTIONS • NUMBER 2 (38) • JUNE 2015
Prelucrarea statistică
patologie unilaterală, sau bilaterală şi subiecţii martori
Valorile brute obţinute au fost prelucrate într-o
(sănătoşi) sau cu patologie neurologică.
primă fază calculându-se media, deviaţia standard,
În ceea ce priveşte parametrii de frecvenţă, se poate
valoarea maximă şi respectiv minimă a şirului de
remarca că EMGS culeasă din partea afectată a
valori şi coeficienţii de variaţie procentuală. Cu
subiecţilor cu patologie unilaterală are frecvenţa mediană
ajutorul valorilor mediei şi ale deviaţiei standard s-au
sensibil mai mică, urmează apoi lotul cu patologie
făcut teste de significanţă, pentru a se vedea dacă
neurologică, iar partea sănătoasă şi cei cu patologie
diferenţele dintre şirurile de valori sunt sau nu
bilaterală au valori practic identice. Cât priveşte Fsmax,
asigurate statistic. Significanţa a fost asigurată fie prin
în mod paradoxal valoarea cea mai mică o are în partea
testul Kruskal-Wallis sau Wilkinson (pentru şiruri de
sănătoasă a lotului cu patologie unilaterală, apoi în
valori anormale, negaussiene), fie prin testul t-student
partea bolnavă, dar cu valori evident mai mici decât la
(pentru şiruri de valori normal gaussiene). Ulterior
lotul martor. Numărul de puncte de întoarcere (Npi)
s-au determinat coeficienţii de corelaţie
„r” prin
este ca şi în cazul frecvenţei mediane sau medii, cel mai
formula lui Pearson între toţi cei
11 parametri
mic la cei cu patologie unilaterală, partea bolnavă.
obţinuţi prin înregistrarea EMG
globală plus
Numărul de treceri prin zero (Ntz) este mai scăzut tot la
parametrul vârstă [12].
partea afectată, dar este destul de scăzut şi în partea
sănătoasă.
Rezultate
Cât priveşte raportul amplitudine medie/arie medie
(Raa), aici partea bolnavă mai ales, dar şi în oarecare
Tabelul I prezintă valorile medii ale celor
11
măsură şi partea sănătoasă au valori mai mari decât lotul
parametri electrofiziologici studiați pe muşchii dorsali ai
martor. Raa este un parametru care pe măsura instalării
gâtului, respectiv trapez (musculus trapezius) în grupele
oboselii creşte ca valoare, în timp ce toţi ceilalţi
10
de pacienți studiate.
parametri electrofiziologici clasici scad. Deci o creştere a
Se remarcă diferenţe foarte mari între valorile
Raa în partea bolnavă este în consens cu scăderea tuturor
parametrilor, mai ales ai celor de timp, între subiecţii cu
celorlaţi parametri amintiţi.
Tabelul I. Valorile medii ale parametrilor electrofiziologici studiați pe muşchii dorsali ai gâtului,
respectiv trapez în grupele de pacienți studiate
Partea
Partea
Martor
Bilat
Unilat afec­
sănă-
Neuro
tată toasă
Nr MeanDev.
Std.C.V.%NrMean
Std.C.V.%NrMean
Std.C.V.%Mean
Std.C.V.%NrMean
Std.C.V.%
Fmed
18
170,31 28,57
16,98
16
169,2
29,24
17,38
21
143,12
31,11
21,73
160,9
67,90
42,46
16
147,79 37,68 25,51
Fav
18
205,13 37,40
18,38
16
200,17 37,89
18,92
21
190,12
48,19
25,26
207,9
87,50
42,30
16
201,73 57,21 28,25
Fsmax
18
149,52 35,81
24,12
16
146,80 35,89
25,45
21
220,20
24,73
11,26 246,81 32,97
13,50
16
142,94 41,74 29,30
NPI
18
243,97 30,61
12,66
16
235,67 38,79
17,45
21
0,506
0,159
31,06
0,271
0,5
111,57
16
241,97 28,38 11,78
NTZ
18
150,08 24,57
16,60
16
156,6
33,28
22,37
21
0,389
0,133
33,95
0,159
0,106
66,10
16
143,78 23,66 16,43
Raa
18
1,894
0,269
14,91
16
1,81
0,280
15,60
21
27,48
17,99
65,61
4,97
5,9
105,10
16
1,881
0,353 18,68
Amax
18
2,9
0,97
36,18
16
3,40
1,60
46,31
21
134,08
20,08
14,96 139,46 21,34
15,16
16
2,3
1,27
59,56
RMS
18
0,37
0,127
36,71
16
0,47
0,197
43,57
21
3,81
1,21
32,20
1,56
1,17
72,40
16
0,275
0,185 66,91
VMR
18
0,270
0,104
38,82
16
0,327
0,157
47,71
21
2,11
0,346
17,99
1,99
0,293
14,98
16
0,227
0,140 61,77
ISR
18
100,70 38,67
39,31
16
133,70 59,09
44,26
21
159
48,79
31,87
60,35
38,39
63,69
16
85,71
52,69 61,55
Smax
18
11,9
8,80
75,61
16
21,51
18,79
87,34
21
127,55
40,24
32,53 113,98 38,68
34,92
16
8,7
7,9
93,99
Varsta
18
36,96
12
31,77
16
46,5
12,37
27,78
21
51,16
12,15
24,76
51,10
12,15
24,76
16
56
14,96 28,02
106
Ciacli et al
MEDICAL CONNECTIONS • NUMBER 2 (38) • JUNE 2015
Original articles
Discuții
Cum separarea bolnavilor în loturile arătate s-a
făcut numai pe baza unor declaraţii verbale, a unor
În studiul efectuat am observat că predomină sexul
impresii, senzaţii subiective, suntem obligaţi să ne
feminin, cu 2/3 din subiecţi, deşi aşa cum rezultă din
limităm la aceste declaraţii, să le luăm drept reale
literatură, spondiloza predomină la bărbaţi, femeile
deoarece aceştia nu posedau semne obiective evidente de
fiind parţial protejate hormonal.
departajare.
Analiza repartiţiei pe decade de vârstă a tuturor
Considerăm că doar EMGS înregistrate de noi sunt
subiecţilor din lotul total indică o predominanţă a
explorări obiective care ne dau posibilitatea departajării
vârstelor medii (cele două decade 40-50 şi 50-59 ani),
obiective între sănătos şi bolnav.
vârstele tinere şi foarte înaintate sunt reprezentate de un
Totuşi, cu toate aceste uşoare imperfecţiuni,
număr mai mic de cazuri.
EMGS se dovedeşte un indicator valoros al patologiei
Smax este parametrul cel mai sensibil care indică
cervicale.
cele mai ample modificări în cazul instalării oboselii, a
diferenţei între bărbaţi şi femei, dintre tineri şi bătrâni,
dintre sportivi şi neantrenaţi, dintre mâna dreaptă şi
Referințe
mâna stângă
[13,14]. Putem remarca modificări
importante localizate strict la parametrii de timp şi
1.
Ramani PS. Textbook of Cervical Spondylosis. Jaypee
dintre acestea, cele mai mari fiind la Smax. Toţi aceşti
Brothers Medical Publishers (P) Ltd., 2004.
parametri de timp au valori crescute, unii dintre ei de
2.
Yarbrough CK, Murphy RK, Ray WZ, Stewart TJ.
câteva ori faţă de normal
(martor). Parametrii de
Te natural history and clinical presentation of cervical
frecvenţă indică diferenţe mici şi în marea majoritate a
spondylotic
myelopathy.
AdvOrthop
cazurilor valorile acestora sunt ceva mai mici (însă cu
2012;2012:480643.
doar câteva procente faţă de lotul martor), în partea
3.
Matache IG. Spondilozacervicală, EdituraMedicală,
afectată a lotului unilateral şi la lotul bilateral.
București, 1970.
Cât priveşte diferenţele de vârstă, se remarcă lotul
4.
Epstein N. Posterior approaches in the management
martor cu vârsta medie cea mai mică, sub 40 de ani, cel
of cervical spondylosis and ossification of the posterior
cu patologie bilaterală de aproape 50 de ani, cel cu
longitudinal ligament. Surg Neurol.
2002 ;58(3-
patologie unilaterală, puţin peste
50 de ani, cel cu
4):194-207.
patologie neurologică cu câţiva ani mai în vârstă, fiind
5.
Caruso G, Eisen A, Stålberg E, et al. Clinical EMG
cel mai vârstnic lot. Teoretic, ar fi trebuit ca lotul cu
and glossary of terms most commonly used by clinical
patologie bilaterală să se suprapună perfect pe valorile
electromyographers. Te International Federation of
părţii afectate a lotului cu patologie unilaterală. Pe de
Clinical Neurophysiology, Elctroencephalography
altă parte, partea sănătoasă a lotului cu patologie
and clinical Neurophysiology 52(Suppl):189-98.
unilaterală ar fi trebuit să se suprapună exact pe valorile
6.
Arseni C, Panoza G. Patologievertebro-cervicală. Ed.
lotului martor
(ale lotului cu subiecţi sănătoşi).
Didactică și Pedagogică, București, 1981.
Modificările sunt în aceste sensuri, dar nu strict identice
7.
Ono K, Dvořák J, Edward Joseph Dunn E J. Cervical
între partea sănătoasă şi lotul martor, între partea
Spondylosis and Similar Disorders
(1st Edition),
bolnavă şi lotul bilateral.
Hardcover,1997.
Diferenţele se datorează probabil în cazul bolnavilor
8.
Neştianu V, Tărâţă M, Bălşianu F. A new method for
cu patologie bilaterală faptului că valorile parametrilor
quantitative
analysis
of
myoelectric
spikes
obţinuţi sunt în mare majoritate intermediare între lotul
synchronization.
Neurol
Psychiatr
(Bucur)
martor, sănătos şi partea afectată a lotului cu patologie
1981;19(4):283-8.
unilaterală. La bolnavii cu patologie unilaterală
9.
Khan MR, McInnes A, Hughes SP. Electrophysiological
diferenţele este posibil că se datorează faptului că unii
studies in cervical spondylosis. J Spinal Disord
dintre ei ar fi avut totuşi şi o uşoară patologie în partea
1989;2(3):163-9.
opusă, pe care nu au exprimat-o, considerând-o
10.
Dimitrova N, Dimitrov G. Distance-dependent effects
neimportantă. De asemeni, nu suntem absolut siguri că
of anatomicul and physiological parameters on EMG
lotul martor de subiecţi considerați de noi sănătoşi,
signals, in Hermes, HJ, Merletti R, Freriks B. (Eds.),
format din bolnavi internaţi în Clinica de Neurologie
European Activities on Surface Electro Myography,
dar fără patologie la membrele superioare și în zona
Proceedings of the first general SENIAM workshop,
cervicală, erau absolut indemni din punct de vedere al
Torino, Italy,
1996, Roessing Research and
spondilozei cervicale.
Development.
Blood Assessment of Some Anti-Inflammatory Cytokines in Psoriatic Arthritis
107
Original articles
MEDICAL CONNECTIONS • NUMBER 2 (38) • JUNE 2015
11. Godaux E. Electromyographie-Semeiologie
et
13. Cepoi V. Osteoartroza intervertebrală. Curierul
physiopathologie. Masson, Paris, 1989;298-300.
Medical 1999;7-9,43-47.
12. Rao RD, Currier BL, Albert TJ, Bono CM, Marawar
14. IoanMiron. Importanţa corelării electromiogramei
SV, Poelstra KA, Eck JC. Degenerative cervical
(emg) cu mecanograma în kinetoterapie. Analele UVT-
spondylosis: clinical syndromes, pathogenesis, and
Seria EFS 2005;7.
management. J Bone Joint Surg Am 2007;89:1360-78.
108
Ciacli et al
GENERAL REVIEW
REPOZIȚIONAREA UTILIZĂRII MEDICAMENTELOR: CÂTEVA
EXEMPLE PENTRU NOI APLICAȚII ALE UNOR MEDICAMENTE
CUNOSCUTE
Golan Bubis1, Carmen Neagu2, Edward Ram3, Lea Rath Wolfson4
1Facultatea de Biologie, Universitatea Ebraică, Ierusalim, Israel, 2Baza de Tratament Clermont, Covasna, România,
3Departamentele de Chirurgie și 4Patologie, Spitalul Hasharon, Petah-Tikva, afiliat Facultății de Medicină Sackler,
Universitatea din Tel Aviv, Israel
Adresa pentru corespondență:
Golan Bubis
Email: bubisgolan@gmail.com
Primit: 25.05.2015
Acceptat: 15.06.2015
Med Con June 2015 Vol 10, No 2, 109-111
Rezumat
Un avantaj semnificativ al repoziționării
medicamentelor față de dezvoltarea tradițională de
Repoziționarea utilizării unui medicament reprezintă
medicamente este faptul că, deoarece medicamentul
utilizarea unui medicament dezvoltat pentru o boală, în
repoziționat a trecut deja un număr de teste de toxicitate
scopul tratamentului unei alte boli. Are avantaje față de
și alte teste, siguranța lui este cunoscută, iar riscul de
dezvoltarea tradițională de medicamente prin ocolirea
eșec din motive de toxicologie adversă este redus. Multe
testelor de toxicitate
(care au fost deja făcute pentru
medicamente eșuează în timpul dezvoltării și acest lucru
indicația inițială), prin urmare, există o rată de eșec mai
este cel mai important motiv pentru costurile ridicate
mică în timpul dezvoltării, este mai puțin costisitoare și are
ale cercetării și dezvoltării în domeniul farmaceutic. În
un timp mai scurt de aducere pe piață a medicamentului.
plus, medicamentele repoziționate pot evita o mare
Prezentăm un scurt istoric al descoperirii de noi indicații
parte din costul inițial și din timpul necesar pentru a
pentru următoarele medicamente: Colchicina pentru febra
aduce un medicament pe piață.
mediteraneană familială, Difflusinalul pentru neuropatia
O analiză pe 68 de medicamente estimează că este
amiloidă familială, Talidomida pentru lepră și mielomul
nevoie, în medie, de 15 ani și 800 de milioane de dolari
multiplu, Sildenafilul pentru disfuncția erectilă și
pentru a aduce un singur medicament pe piață [2]. În
Minoxidilul pentru pierderea părului și chelie. La multe
comparație, timpul pentru intrare pe piață pentru
dintre aceste medicamente cantitatea comercializată pentru
medicamentele repoziționate ar putea fi scurtat între trei și
noi indicații a depășit cu mult indicațiile inițiale.
șapte ani, iar costurile reduse la doar 8,4 milioane de dolari
Cuvinte cheie:
medicament,
Colchicină,
pentru a le lansa. Ratele de eșec pentru un medicament
Difflusinal, Talidomidă, Sildenafil, Minoxidil, indicație,
tradițional intrat în faza II și III de studii clinice sunt de
reorientare
aproximativ 90% și respectiv 50%, în timp ce ratele scad la
75% și 35% pentru medicamentele repoziționate [3].
Repoziționarea medicamentului, cunoscută de
În luna mai
2012, Centrul Național pentru
asemenea sub numele de reorientarea scopului
Dezvoltarea Științelor Translaționale (National Center
medicamentului, este utilizarea medicamentelor
for Advancing Translational Sciences - NCATS) a lansat
cunoscute și ale compușilor lor pentru noi indicații [1].
un program de colaborare care se potrivește cercetării
Drug Repurposing: Some Examples for New Applications of Known Drugs
109
GENERAL REVIEW
MEDICAL CONNECTIONS • NUMBER 2 (38) • JUNE 2015
finanțate de NIH, cu o selecție de agenți farmaceutici
țărilor. Cu toate acestea, în 1965 profesorul Sheskin
pentru a ajuta oamenii de știință să exploreze noi
raportează beneficiul Talidomidei în tratamentul leprei
tratamente pentru pacienți. Programul pentru
[9,10], iar în 1998, Talidomida a fost aprobat de Food
Descoperirea Utilizării de Noi Terapeutici pentru
and Drug Administration (FDA) pentru tratamentul
Molecule Existente (Discovering New Terapeutic Uses
leprei și ulterior pentru mielomul multiplu. Studiile
for Existing Molecules Program) vizează îmbunătățirea
sunt în curs de desfășurare pentru a evalua eficacitatea
procesului complex și consumator de timp pentru
talidomidei în tratamentul altor boli. Talidomida inhibă
dezvoltarea de noi tratamente și cure pentru boli, prin
angiogeneza și ar putea fi utilizată pentru tratamentul
găsirea de noi utilizări pentru medicamente care au fost
bolilor care sunt dependente de angiogeneză. Inhibarea
deja aprobate pentru alte boli. Acest subiect este atât de
angiogenezei este unul dintre mecanismele de acțiune
important, încât o revistă internațională, Reorientarea,
propuse pentru proprietățile teratogene ale talidomidei.
Salvarea și Repoziționarea Medicamentului
(Drug
Deci, chiar și un medicament care a cauzat atât de multe
Repurposing, Rescue, and Repositioning), este dedicată
tragedii ar putea fi benefic altor pacienți.
cercetării originale în domeniul noilor utilizări și
Din punct de vedere istoric, repoziționarea
inovarea medicamentelor. Există, de asemenea, o
medicamentelor a survenit prin descoperiri
Conferință anuală de reorientare, repoziționare și salvare
întâmplătoare în stadiul avansat al studiilor clinice, sau
a medicamentului”, ultima având loc în Chicago IL
post-aprobare. Exemplul clasic este Sildenafilul, care a
USA, între 27-28 mai 2015.
fost proiectat de compania de medicamente Pfizer
Unul dintre cele mai vechi medicamente reorientate
pentru dilatarea vaselor de sânge ale inimii și tratamentul
este Colchicina, un cunoscut agent anti-inflamator și
anginei pectorale, însă studiile pe oameni au fost
anti-gutos
[4], care a fost utilizat ulterior pentru
dezamăgitoare. Totuși, voluntarii au raportat multe
tratamentul febrei familiale mediteraneene (FFM) [5].
erecții, ca efect secundar neobișnuit [11]. Medicamentul
FFM este o afecțiune inflamatorie genetică. Simptomele
a fost apoi reorientat pentru tratamentul disfuncției
includ atacuri de dureri articulare, dureri abdominale și
erectile și a ajutat de atunci milioane de oameni. Mai
febră. Principala complicație este depunerea de amiloid
târziu, medicamentul s-a dovedit a fi eficace și pentru
în țesuturi, în special în rinichi, cauzând insuficiență
hipertensiunea pulmonară [12,13].
renală. Ca și guta, FFM este tot o boală inflamatorie
Minoxidilul a fost dezvoltat ca un medicament
care afectează articulațiile, de aceea utilizarea Colchicinei
antihipertensiv și a obținut aprobarea FDA pentru
a fost încercată pe pacienți cu FFM, demonstrând
tratamentul hipertensiunii arteriale. Într-un studiu de
prevenirea atacurilor menționate și depunerea de
eficacitate, Chidsey și colab. au observat creșterea
amiloid. Akar și colab. [6] au investigat 650 de pacienți
neașteptată a părului pe fețele și umerii unor subiecți
cu FFM tratați preventiv cu colchicină și au constatat că
femei. Un subiect de sex masculin a înregistrat o creștere
rata generală de supraviețuire a pacienților nu a fost
a părului pe partea capului având chelie. Creșterea a fost
semnificativ diferită față de populația generală din
atât de vizibilă, încât frizerul i-a spus „băiete, mai bine
Turcia similară ca vârstă și sex [6], în timp ce înainte de
află ce iei pentru hipertensiunea arterială!” [14]. Au fost
era Colchicinei mulți tineri mureau de amiloidoza FFM
efectuate mai multe cercetări privind cele mai bune
[7].
modalități pentru a utiliza Minoxidilul pentru chelie,
Un alt tip de amiloidoză, neuropatia familială
iar FDA l-a aprobat în cele din urmă, în 1988, ca
amiloidă ATTR, a fost recent tratată cu Difflusinal, un
medicament anti-chelie.
agent antiinflamator nesteroidian. După 2 ani, a fost
În concluzie: dezvoltarea unui medicament de novo
determinată o rată redusă de progresie a insuficienței
este o acțiune de lungă durată și costisitoare. Schimbarea
neurologice și o păstrare a calității vieții în grupul tratat,
scopului unui medicament este mult mai rentabilă.
comparativ cu grupul placebo [8].
Repoziționarea medicamentului a deschis o nouă sursă
Un alt medicament binecunoscut, care a fost
de venituri, astfel, schimbarea scopului unui medicament
reorientat, este Talidomida, comercializat pentru prima
este tentantă și are potențialul de a accelera dezvoltarea
dată la sfârșitul anilor 1950 ca un sedativ și apoi utilizat
de medicamente.
pentru tratamentul simptomelor de greață la femeile
gravide. În câțiva ani de la utilizarea pe scară largă a
Talidomidei în Europa, Australia și Japonia, aproximativ
Referințe
10.000 de copii s-au născut cu focomelie (malformație a
membrelor) și alte malformații congenitale, ceea ce a
1. Sleigh SH, Barton CL. Repurposing Strategies for
dus în 1961 la interdicția Talidomidei în majoritatea
Terapeutics. Pharm Med 2010;24 (3):151-9.
110
Bubis et al
MEDICAL CONNECTIONS • NUMBER 2 (38) • JUNE 2015
GENERAL REVIEW
2. Chong CR, Sullivan DJ Jr. New uses for old drugs.
9.
Sheskin J. Talidomide in lepra reaction. Int J
Nature 2007; 448(7154):645-6.
Dermatol 1975;14(8):575-6.
3. Lawrence E. Drug Repositioning
- New Uses for
10.
Kinnings SL, Liu N, Buchmeier N, Tonge PJ, Xie L,
Existing Drugs Save Time and oney. Rx Observer.com.
Fink HA, et al. Sildenafil for male erectile dysfunction:
2014;5-29.
a systematic review and meta-analysis. Arch Intern
4. Edward F. Hartung. History of the Use of Colchicum
Med 2002;162(12):1349-60.
and related Medicaments in Gout. Ann Rheum Dis
11.
Ghofrani HA, Osterloh IH, Grimminger F. Sildenafil:
1954;13(3):190-200.
From angina to erectile dysfunction to pulmonary
5. Goldfinger SE. Colchicine for familial Mediterranean
hypertension and beyond . Nat Rev Drug Discov
fever. N Engl J Med 1972;287(25):1302.
2006;5(8):689-702.
6. Akar S, Yuksel F, Tunca M, Soysal O, Solmaz D,
12.
Rubin LJ, Badesch DB, Fleming TR, Galiè N,
Gerdan V, et al. Familial Mediterranean fever: risk
Simonneau G, Ghofrani HA, et al. Long-term
factors, causes of death, and prognosis in the colchicine
treatment with sildenafil citrate in pulmonary arterial
era. Medicine (Baltimore) 2012;91(3):131-6.
hypertension: the SUPER-2 study group. Chest
7. Berk JL, Suhr OB, Obici L, Sekijima Y, Zeldenrust
2011;140(5):1274-83.
SR, Yamashita T, et al. Repurposing Diflunisal for
13.
Gottlieb TB, Katz FH, Chidsey CA 3rd. Combined
Familial Amyloid Polyneuropathy A Randomized
therapy with vasodilator drugs and beta-adrenergic
Clinical Trial. JAMA 2013;310(24):2658-67.
blockade in hypertension. A comparative study of
8. Sheskin J. Talidomide in the treatment of lepra
minoxidil
and
hydralazine.
Circulation
reaction. Clin Pharmacol Ter 1965;6:303.
1972;45(3):571-82.
Traducere: dr Călin Bumbuluț
Drug Repurposing: Some Examples for New Applications of Known Drugs
111
ZILELE MEDICALE SĂTMĂRENE EDIŢIA A XII-a, 15-17 octombrie 2015
AL TREILEA ANUNȚ
Joi 15 Octombrie 2015
09:00 - 09:30
- Primirea participanţilor. Validarea participării. Înscrieri. Înmânarea documentelor manifestării.
09:30
- Deschiderea oficială
10:00 - 17:00
- Sesiune de comunicări lucrări ştiinţifice cu pauze: pentru cafea şi pentru prânz
Vineri 16 Octombrie 2015
09:00 - 16:00
- Sesiune de comunicări lucrări ştiinţifice cu pauze: pentru cafea şi pentru prânz
Sâmbătă 17 Octombrie 2015
09:00 - 16:00
- Sesiune de comunicări lucrări ştiinţifice şi Secţiunea de Istorie medicală sătmăreană cu pauze:
pentru cafea şi pentru prânz. Înmânarea certificatelor de participare. Înmânarea diplomelor de
excelenţă pe baza voturilor participanţilor.
Informaţii generale
Conferinţă regională, cu participare internaţională
Locaţie: Restaurant Romantic, str. Careiului nr 63
Organizator: COLEGIUL MEDICILOR SATU MARE
Parteneri: ASOCIAŢIA MEDICILOR DE FAMILIE SATU MARE, CENTRUL MEDICAL RABIN -
UNIVERSITATEA TEL AVIV ISRAEL, UNIVERSITATEA „TITU MAIORESCU” BUCUREŞTI,
UNIVERSITATEA DE VEST „VASILE GOLDIŞ” ARAD - FILIALA SATU MARE
Preşedintele Comitetului Ştiinţific: Prof. Univ. Dr. Rumelia Koren
ÎNSCRIERE
Puteţi să vă înscrieţi:
- personal la sediul Colegiului Medicilor Satu Mare
- prin poştă, pe adresa: Colegiul Medicilor Satu Mare, P-ţa Eroilor Revoluţiei nr. 23, cod poştal 440055
- prin fax la numărul: 0361-408164, e-mail: colmedsm@gmail.com
Înregistrarea va fi validată doar după dovada plăţii taxei de participare.
TAXA DE PARTICIPARE
- Medici, specialişti, primari - 60 lei
Până la 31.08.2015
- Medici rezidenţi, studenţi, pensionari - gratuit
- Medici, specialişti, primari - 70 lei
După 31.08.2015 şi pe loc
- Medici rezidenţi, pensionari - 20 lei
- se poate plăti în contul Colegiului Medicilor Satu Mare: RO21BTRL03101205K39262XX, deschis la Banca
Transilvania Satu Mare, cu menţionarea: taxă participare 15-17.10.2015 şi numele participantului
- se poate achita direct la sediul Colegiului Medicilor Satu Mare
Taxa de participare include: mapa cu documentele manifestării, accesul la sesiunile de lucru, coffee-break-uri,
bufetul suedez pentru fiecare zi.
Pentru rezervări cazare până la data de 30.09.2015: tel 0261-710456, e-mail: colmedsm@gmail.com
LUCRĂRI
Termenul pentru predare a rezumatelor este 1 septembrie 2015.
Comitetul ştiinţific îşi rezervă dreptul de a accepta sau respinge lucrările propuse.
Lucrările participanţilor vor fi sub formă de prezentare în format Power Point şi vor fi susţinute oral timp de 10 minute.
Termenul limită de predare a lucrărilor în format Power Point este 15 septembrie 2015.
lucrări in extenso
Lucrările in extenso vor fi publicate în revista „Conexiuni Medicale” nr. 4/2015, cu condiţia să fie înaintate
conform standardelor de publicare (www.conexiunimedicale.ro) până la data de 30 septembrie 2015, ca fişier ataşat
la adresa de e-mail bumbulutcalin@yahoo.com.
Se acceptă doar lucrări nepublicate, autorii asumându-şi integral răspunderea conţinutului.
GENERAL REVIEW
MODULAREA GENETICĂ A TGF-β ÎN BOALA ARTROZICĂ
Claudiu Ilea¹, Dan Lucaciu²
¹Departamentul de Ortopedie, Spitalul Municipal Sighetu-Marmației, ²Clinica de Ortopedie, Universitatea de Medicină
și Farmacie „Iuliu Hațieganu” Cluj-Napoca, România
Adresa pentru corespondență:
Ilea Claudiu
Spitalul Municipal Sighetu-Marmației
Str. Avram Iancu 22, 435500, Sighetu-Marmației, România
E-mail: cd_ilea@yahoo.com
Primit: 01.05.2015
Acceptat: 30.05.2015
Med Con June 2015 Vol 10, No 2, 113-116
Rezumat
Cuvinte cheie: Boală artrozică, TGF-β, Asporină,
GDF5, SMAD3
Boala artrozică (BA), o boală articulară degenerativă,
este cea mai frecventă afecțiune articulară a persoanelor în
Boala artrozică (BA) este o boală degenerativă a
vârstă, generatoare de importante costuri economice și
articulațiilor sinoviale caracterizată de degradarea
sociale în țarile dezvoltate. Aceasta este o afecțiune
cartilajului articular, proces ce conduce la alterarea
complexă, în etiologia căreia au fost incriminați numeroși
funcției normale a tuturor țesuturilor articulare [1]. BA
factori de mediu
(obezitatea, sexul feminin, vârsta
apare caracteristic în a cincea decadă de viață, fiind o
înaintată), precum și factori genetici. Comparativ cu alte
cauză majoră de morbiditate care duce la dizabilitate
afecțiuni complexe, cunoștințele noastre cu privire la
fizică și presupune costuri importante de tratament,
bazele moleculare și genetice ale BA sunt încă puține. În
culminând cu artroplastia totală la pacienții vârstnici.
ultimii ani, o puternică contribuție genetică în etiologia
Modificările articulare sunt reprezentate de degradarea
BA primare a fost observată în numeroase studii. Calea de
cartilajului articular, formarea de osteofite, scleroza
semnalizare a factorului de creștere și transformare beta
osului subcondral și îngustarea spațiului articular,
(TGF-β) este cunoscută ca având un rol important în
acestea asociind diferite grade de inflamație sinovială.
homeostazia țesutului cartilaginos, iar genele care codifică
Articulațiile cele mai frecvent afectate sunt articulațiile
proteine active în această cale au reprezentat subiectul a
mâinii, șoldului, genunchiului, prima articulație
numeroase și detaliate studii genetice. Important este
metatarsofalangiană și articulațiile interapofizare ale
faptul că au fost raportate multe succese în acest sens, iar
coloanei vertebrale cervicale și lombare. BA poate să se
noi ne vom concentra asupra a trei din cele mai
dezvolte la nivelul unei articulații cu anatomie normală
importante: Asporina (ASPN), Factorul de Creștere si
- BA primară- sau pe articulații care au suferit injurii
Diferențiere 5 (GDF5) și SMAD3. Întelegerea bazelor
anterioare, sau defecte de dezvoltare precum luxația
moleculare și genetice ale acestei boli comune va clarifica
articulară congenitală - BA secundară [2].
mecanismele biologice incriminate în inițierea și progresia
Numeroși
factori
incluzând
vârsta,
acesteia, fapt ce ar putea duce la conceperea de noi
supraponderalitatea, sexul feminin și activitațile care
strategii terapeutice împotriva BA.
presupun efort fizic intens au fost asociați cu inițierea și
Genetic Modulation of Tgf-β in Osteoarthritis
113
GENERAL REVIEW
MEDICAL CONNECTIONS • NUMBER 2 (38) • JUNE 2015
progresia BA [3]. În plus față de aceștia, în ultimii 60 de
in vitro, exprimarea ASPN scade în cursul diferențierii
ani s-a demonstrat că BA are o puternică componentă
cartilaginoase, sugerând faptul că ASPN este asociată cu
genetică. Studii epidemiologice pe gemeni au
diferențierea celulelor cartilaginoase și osoase [8,11].
demonstrat o puternică transmitere ereditară a BA,
Într-un studiu din 2007, cercetătorii au observat
pentru artroza mâinii aceasta fiind estimată la 65%, în
repetarea unui triplet de nucleotide la nivelul celui de-al
timp ce pentru artroza genunchiului și șoldului a fost
doilea exon al genei ASPN care codifică o regiune
estimată la
40%, respectiv
60% [4]. Câteva gene
polimorfică formată din repetiții de reziduuri de acid
implicate în procesele de dezvoltare și menținere ale
aspartic la capătul N-terminal al proteinei [10]. Acest
cartilajului articular au fost asociate cu predispoziția
polimorfism de repetiție, numit polimorfism de repetiții
pentru apariția și progresia BA [5]. Genele candidate au
D (după codul cu o literă corespunzătoare pentru acid
fost grupate în trei mari categorii: 1) gene care codifică
aspartic), are 10 alele care codifică 10-19 reziduuri D,
componente structurale ale matricei extracelulare
alela D14 fiind cea mai des întâlnită la indivizii cu
cartilaginoase (MEC), 2) gene care codifică molecule
artroză de genunchi și șold, frecvența ei crescând odată
inflamatorii și
3) gene care codifică modulatori
cu severitatea bolii [16]. S-a mai arătat că alela D13
catabolici/anabolici. Dintre aceste trei categorii, cele
conferă protecție față de BA pentru populația japoneză
mai multe date aparțin modulatorilor catabolici/
[10] și grupul etnic chinez Han [17], fără a avea un rol
anabolici, membrii superfamiliei TGF-β prezentând un
important în etiologia BA la populațiile de origine
interes aparte [5]. Această trecere în revistă se va focaliza
caucaziană
[11,18,19], în timp ce alela D15 a fost
pe datele cu privire la cele mai cunoscute gene care
asociată cu un risc crescut pentru gonartroză în populația
codifică proteine implicate activ în calea de semnalizare
din Grecia [20]. O metaanaliză privind populațiile din
TGF-β.
Asia confirmă asocierea între polimorfismele de repetiții
D ale genei ASPN și BA [21].
Asporina
Prin urmare, aceste studii funcționale pot furniza
un model plauzibil privind modul în care polimorfismele
Asporina (ASPN) este o macromoleculă a MEC din
de repetiții D ale genei ASPN influențează
familia proteoglicanilor mici bogați în leucină (Small
susceptibilitatea de a dezvolta BA [22]. Asporina inhibă
Leucine-Rich Proteoglicans - SLRP), un subgrup al
calea de semnalizare TGF-β, modulând astfel indirect
superfamiliei Leucine-Rich Repeat din MEC. Membrii
sinteza unor componente esențiale ale MEC la nivelul
familiei SLRP au fost clasificați în trei grupuri, bazate pe
cartilajului articular. Această inhibiție este exercitată mai
similarități ale secvenței de aminoacizi, distribuția
puternic de către alela D14, ducând la sinteza în
reziduurilor de cisteină la capătul N-terminal și structura
cantitate insuficienteă a acestor proteine și prin urmare
genei. [4]. Asporina este membru al clasei I SLRP și
la un cartilaj compromis structural, alela D13 având un
diferă de ceilalți membrii de clasă I
(decorina și
efect inhibitor mult mai redus, rezultând o structură a
dermatanul) prin regiunea cu repetiție de acid aspartic
cartilajului mult mai rezistentă.
(D) de la capătul N-terminal [4,6,8].
ASPN este implicată în formarea MEC ca un
GDF5
regulator negativ al căii de semnalizare TGF-β/Smad
[9,10,11,12]. Toate izoformele TGF-β (β1, β2, β3)
O genă recent asociată cu BA este GDF5 (Factorul
induc exprimarea ASPN în toate celulele condrocitare;
de Creștere și Diferențiere 5), localizată în cromozomul
TGF-β1 este cel mai abundent la nivelul MEC, reglând
20q11. Cunoscută ca proteina morfogenetică derivată 1
producția, proliferarea și diferențierea condrocitelor și
a cartilajului, GDF5 este o moleculă de semnalizare
precursorilor acestora [13,14]. Asporina inhibă calea de
extracelulară care participă la dezvoltarea, menținerea și
semnalizare TGF-β/Smad prin colocalizare cu TGF-β1
repararea osului, cartilajului și altor țesuturi ale
pe suprafața celulară, unde inhibă legarea acestuia de
articulațiilor sinoviale [22,23]. GDF5 este un membru
receptorul de tip
2. TGF-β1 stimulează exprimarea
al superfamiliei TGF înrudit cu proteinele morfogenetice
asporinei, sugerând faptul că asporina împreună cu
ale osului
(BMPs), cu rol în inducerea formării
TGF-β1 formează un sistem de reglare de tip feedback
cartilajului și osului și în stimularea sintezei de novo a
[12]. Gena pentru asporina umana (ASPN) localizată în
agrecanului
[24]. Mutațiile la nivelul genei GDF5
cromozomul 9q22 are 26 kb si conține opt exoni [6,8].
cauzează alterări ale formării scheletului atât la oameni
La om, ARNm al ASPN este exprimat în mai multe
[25], cât și la șoareci [26].
țesuturi, având nivele crescute în cartilajul articular,
Într-un studiu caz-martor efectuat în Japonia [27],
aortă și uter [14]. Folosind un model de condrogeneză
în care au fost identificate mai multe polimorfisme la
114
Ilea et al
MEDICAL CONNECTIONS • NUMBER 2 (38) • JUNE 2015
GENERAL REVIEW
nivelul GDF5, s-a observat asocierea BA cu un
semnalul la nucleu și astfel inițiază, amplifică sau inhibă
polimorfism mononucleotidic
(Single Nucleotide
transcrierea genelor.
Polymorphism - SNP) comun - rs143383, rezultat din
Este important de menționat că două din aceste trei
tranziția T-C localizată în regiunea 5’ netradusă (5’-
componente ale căii de semnalizare TGF-β prezintă
UTR) a genei. S-a mai demonstrat că SNP-ul rs143383
alele asociate cu BA: ASPN și GDG5 pentru prima
este asociat cu coxartroza și gonartroza în populații
componentă și SMAD3 pentru cea de-a treia. Va fi
asiatice
[27] și cu gonartroza la populația europeană
interesant de văzut dacă studiile viitoare vor evidenția
[28]. Mai mult, studii funcționale sugerează faptul că
alele asociate cu BA în genele care codifică receptori
polimorfismul rs143383 poate influența susceptibilitatea
celulari de suprafață, completându-se astfel setul de gene
de a dezvolta BA - alela T mediază reducerea transcrierii
împlicate în BA.
GDF5 comparativ cu alela C [27,29].
În ansamblu, asocierea BA cu polimorfismul
rs143383 reprezintă la ora actuală una din cele mai
Referințe
convingătoare descoperiri ale numeroaselor studii
genetice privind BA raportate până acum.
1.
Lawrence RC, Helmick CG, Arnett FC et al. Estimates
of the prevalence of arthritis and selected musculoskeletal
SMAD3
disorders in the United States. Arthritis Rheum
1998;41(5):778-99.
Genele din familia SMAD codifică proteine care
2.
Altman R, Asch E, Bloch D, et al. Development of
controlează activitatea anumitor gene, precum și
criteria for the classification and reporting of
procesele de creștere și diviziune celulară (proliferarea
osteoarthritis. Arthritis Rheum 1986;29(8):1039-49.
celulară). Proteinele care îndeplinesc aceste funcții, ca
3.
Felson DT, Lawrence RC, Dieppe PA, et al.
parte a căii de semnalizare TGF-β, transmit semnale din
Osteoarthritis: New insights. Part
1: the disease risk
afara celulei la nucleu. Procesul de semnalizare începe
factors. Ann Intern Med 2000;133(8):635-46.
odată cu legarea TGF-β de un receptor situat la suprafața
4.
Spector TD, Mac Gregor AJ. Risk factors for
celulei, care apoi activează un grup de proteine SMAD
osteoarthritis:
genetics.
Osteoarthritis Cartilage
(SMAD1, SMAD2, SMAD3, SMAD5 și SMAD8),
2004;12:S39-44.
numite R-SMAD. Aceste proteine R-SMADs formează
5.
Loughlin J. Genetic indicators and susceptibility to
apoi complexe cu o altă proteină SMAD (SMAD4)
osteoarthritis. Br J Sports Med 2011;45(4):278-82.
numite mediator comun SMAD, sau co-SMAD. Odată
6.
Henri SP, Takanosu M, Boyd TC, et al. Expression
formate aceste complexe proteice sunt transportate în
pattern and gene characterization of asporin. A newly
nucleu, unde se vor lega de regiuni specifice ale AND-
discovered member of the leucine-rich repeat protein
ului și vor controla activitatea anumitor gene implicate
family. J Biol Chem 2001;276(15):12212-21.
în proliferarea celulară [30].
7.
Lorenzo P, Aspberg A, Onnerford P, Bayliss MT,
Numeroase studii au investigat rolul genei SMAD3
Neame PJ, Heinegard D. Identification and
(15q22) în BA și au demonstrat că reducerea activității
characterization of asporin. a novel member of the
proteinei SMAD3 determină un fenotip artrozic. Atât
leucine-rich repeat protein family closely related to
studiul efectuat pe populația europeană din Marea
decorin
and
biglycan.
J
Biol
Chem
Britanie cu artroză localizată la nivelul șoldului și
2001;276(15):12201-11.
genunchiului [31], precum și cel efectuat pe populația
8.
Ikegawa S. Expression, regulation and function of
din nordul Chinei [32] cu BA localizată la mâini și
asporin, a susceptibility gene in common bone and joint
genunchi au indicat faptul că polimorfismul
disease. Curr Med Chem 2008;15(7):724-28.
mononucleotidic rs12901499 al genei SMAD3 este
9.
Kou I, Nakajima M, Ikegawa S. Binding characteristics
implicat în patogeneza BA.
of the osteoarthritis-associated protein aspirin. J Bone
Calea de semnalizare TGF-β constă într-o cascadă
Miner Metab 2010;28(4):395-402.
de semnalizare celulară cu componente secvențiale
10.
Kou I, Nakajima M, Iegawa S. Expression and
standard: molecule extracelulare mici care declanșează
regulation of the osteoarthritis-associated protein asporin.
semnalul
(adesea interacționând cu moleculele
J Biol Chem 2007;282(44):32193-99.
structurale ale MEC), receptori celulari de suprafață de
11.
Kizawa H, Kou I, Iida A, et al. An aspartic acid repeat
care se leagă aceste molecule mici și care transmit
polymorphism in asporin inhibits chondrogenesis and
semnalul spre interiorul celulei și molecule intracelulare
increases susceptibility to osteoarthritis. Nat Genet
care, printr-o serie complexă de interacțiuni, transmit
2005;37(2):138-44.
Genetic Modulation of Tgf-β in Osteoarthritis
115
GENERAL REVIEW
MEDICAL CONNECTIONS • NUMBER 2 (38) • JUNE 2015
12.
Nakajima M, Kizawa H, Saitoh M, Kou I, Miyazono
23.
Francis-West PH, Abdelfattah A, Chen P, et al.
K, Ikegawa S. Mechanisms for asporin function and
Mechanisms of GDF5 action during skeletal
regulation in articular cartilage. J Biol Chem
development. Development 1999;126(6):1305-15.
2007;282(44):32185-92.
24.
Erlacher I, Mc Cartney J, Pie E, et al. Cartilage-
13.
Denker AE, Nicoll SB, Tuan RS. Formation of cartilage-
derivated morphogenetic proteins and osteogenic
like spheroids by micromass cultures of murine
protein-1 differentially regulate osteogenesis. J Bone
C3H10T1/2 cells upon treatment with transforming
Miner Res 1998;13(3):383-92.
growth factor-beta 1. Differentiation 1995;59(1):25-34.
25.
Vaes RB, Rivadeneira F, Kerkhof JM, et al. Genetic
14.
Solchaga LA, Penick KJ, Welter JF. Chondrogenic
variation in the GDF5 region is associated with
differentiation of bone marrow-derived mesenchymal
osteoarthritis, height, hip axis length and fracture risk: the
stem cells: tips and tricks. Methods Mol Biol
Rotterdam study. Ann Rheum Dis 2009;68(11):1754-
2011;698:253-278.
60.
15.
Yamada S, Tomoeda M, Ozaway Y, et al. PLAP-1/
26.
Daans M, Luyten FP, Lories RJ. GDF5 deficiency in
asporin, a novel negative regulator of periodontal ligament
mice is associated with instability-driven joint damage,
mineralization. J Biol Chem 2007;282(32):23070-80.
gait and subchondral bone changes. Ann Rheum Dis
16.
Iida A, Kizawa H, Nakamura Y. Ikegawa S. High-
2011;70(1):208-13.
resolution SNP map of ASPN, a susceptibility gene for
27.
Miyamoto Y, Mabuchi A, Shi D, et al. A functional
osteoarthritis. J Hum Genet 2006;51(2):151-4.
polymorphism in the 5’-UTR of GDF5 is associated
17.
Jiang Q, Shi D, Yi L, et al. Replication of the association
with susceptibility to osteoarthritis. Nat Genet
of the aspartic acid repeat polymorphism in the asporin
2007;39:529-33.
gene with knee-osteoarthritis susceptibility in Han
28.
Evanghelou E, Chapman K, Meulenbelt I, et al.
Chinese. J Hum Genet 2006;51(12):1068-72.
Large-scale analysis of association between GDF5 and
18.
Rodriguez-Lopez J, Pombo-Suarez M, Liz M, Gomez-
FRZB variants and osteoarthritis of the hip, knee and
Reino JJ, Gonzalez A. Lack of association of a variable
hand. Arthritis Rheum 2009;60(6):1710-21.
number of aspartic acid residues in the asporin gene with
29.
Southam L, Rodriguez-Lopez J, Wilkins JM, et al. An
osteoarthritis susceptibility: case-control studies in
SPN in the
5’-UTR of GDF5 is associated with
Spanish Caucasians. Arthritis Res Ter 2006;8(3):R55.
osteoarthritis susceptibility in Europeans and with in
19.
Mustafa Z, Dowling B, Chapman, Sinsheimer JS,
vivo differences in allelic expression in articular cartilage.
Carr A, Loughlin J. Investigated the aspartic acid (D)
Hum Mol Genet 2007;16(18): 2226-32.
repeat of asporin as a risk factor for osteoarthritis in a U
30.
Yang X, Chen L, Xu X, Li C, Huang C, Deng CX.
K Caucasian population. Arthritis Rheum
TGF-β/Smad3 signals repress
chondrocyte
2005;52(11):3502-6.
hypertrophic differentiation and are required for
20.
Kaliakatsos M, Tzetis M, Kanavakis E, et al. Asporin
maintaining articular cartilage. J Cell Biol
and knee osteoarthritis in patients of Greek origin.
2001;153(1):35-46.
Osteoarthritis Cartilage 2006;14(6):609-11.
31.
Valdes AM, Spector TD, Tamm A, et al. Genetic
21.
Naamura T, Shi D, Tzetis M, et al. Meta-analysis of
variation in the SMAD3 gene is associated with hip and
association between the ASPN D-repeat and osteoarthritis.
knee osteoarthritis. Arthritis Rheum 2010;62(8):2347-
Hum Mol Genet 2007;16(14):1676-81.
52.
22.
Loughlin J. Knee osteoarthritis, lumbar disk
32.
Jiang L, Tao Y, Wang Y et al. A SMAD3 gene
degeneration and developmental dysplasia of the hip -
polymorphism is related with osteoarthritis in a
an emerging genetic overlap. Arthritis Res Ter
Northeast Chinese population. Rheumatol Int
2011;13(3):108.
2013;33(7):1763-8.
116
Ilea et al
GENERAL REVIEW
PREVALENȚA LEZIUNILOR MUCOASEI ORALE LA COPII. TRECERE
ÎN REVISTĂ A DATELOR DIN LITERATURĂ
Filip-George Boeru1, Ioanina Părlătescu1, Lelia Mihai2, Carmen Gheorghe1, Şerban Ţovaru1
1Disciplina Patologie Orală, Facultatea de Medicină Dentară, Universitatea de Medicină și Farmacie „Carol Davila”,
București, 2Disciplina Patologie Orală, Universitatea de Medicină „Titu Maiorescu”, București
Adresa pentru corespondență:
Dr. Filip-George Boeru
Facultatea de Medicina Dentară, Universitatea de Medicină și Farmacie „Carol Davila”
Str. Eforiei, nr.4-6, et 3, camera 18, București
Email: filipboeru@gmail.com
Primit: 01.05.2015
Acceptat: 10.06.2015
Med Con June 2015 Vol 10, No 2, 117-120
Rezumat
Patologia mucoasei orale a copiilor este deosebit de
vastă și diferită față de cea a adulților. Indiferent de
Scopul lucrării este de a evalua datele existente în
etiologie, fie că este o variantă a normalului sau o leziune
literatura de specialitate privind prevalența leziunilor
determinată de obiceiuri vicioase sau anomalii
mucoasei orale la copii, în diferite zone de pe glob.
ortodontice, traumatisme, infecții sau manifestări bucale
Am selectat din PubMed 16 articole care analizează
ale bolilor generale, toate modificările observate impun
aceste leziuni, pe care le-am încadrat în următoarele
necesitatea unui diagnostic şi tratament. Mucoasa orală
categorii: infecția candidozică, herpes simplex, afte
este o barieră pentru germeni și totodată o oglindă a
cronice recidivante, limba geografică, leziunile
întregii sănătăți a pacientului. Prezenţa unor leziuni la
traumatice. Acestea sunt cele mai comune leziuni orale
acest nivel reprezintă o provocare pentru medicul
întâlnite la copii. Articolele selectate reprezentau diferite
dentist, orientat adesea spre alte patologii. De asemenea,
zone geografice, pentru a putea să ne formam o imagine
colaborarea dificilă a copilului în timpul examinării
de ansamblu asupra distribuției leziunilor orale la copii
poate ridica probleme de diagnostic.
la nivel mondial. Studiile selectate au avut un lot de
Modificările observate pe mucoasa orală la copii
minim 800 de persoane. Leziunile de mucoasă orală la
variază ca frecvență în funcție de metodologia folosită și
copii sunt estimate la un procent mediu de 24,5%. În
zona geografică unde s-a efectuat studiul, procentele
concluzie, există diferențe între valorile regăsite în
fiind între 25-50% (incluzând şi variantele normale ale
populația adultă și în cea a copiilor. Rezultatele publicate
mucoasei) [1]. Numeroase studii epidemiologice arată
diferă ca metodologie, aspect care face dificilă evaluarea
diferențe mari între diferitele zone ale globului, datorită
și compararea acestora la nivel global.
atât metodologiei alese, criteriilor de diagnostic clinic,
În literatură nu am găsit niciun astfel de studiu în
obiceiurilor locale
(mestecatul tutunului), stilului de
țările Europei de Est, de aceea considerăm necesară
viață și rasă [2], cât și statusului economic.
inițierea unui studiu similar în zona noastră geografică.
Este important de luat în considerație faptul că
Cuvinte cheie: leziunile mucoasei orale, copii,
aceste leziuni apar pe un organism în plină schimbare
prevalență, frecvență
fiziologică, că această patologie se află la intersecția între
Prevalence of Oral Mucosal Lesions in Children. Review of Literature
117
GENERAL REVIEW
MEDICAL CONNECTIONS • NUMBER 2 (38) • JUNE 2015
Tabelul I. Prevalența leziunilor orale la copii în diferite zone ale globului
Populația
Vârsta
Inf.
Herpes
Afte-cr.
Limba
Lez.
Autori
Lot
Fără leziuni
studiată
(ani)
fung.
Simpl.
recidiv.
geogr.
traum.
Criveli3
Argentina
846
5,20%
10,87%
2,95%
1,41%
61%
1988
Sedano18
Mexic 2003-
32.022
4,3%
1,98%
74,8%
1989
2007
Kleinman5
USA
39.206
5-17
0,01%
0,78%
1,23%
0,60%
0,09%
95,9%
1994
Arendorf19
Africa de Sud
1.051
<7
0,8%
1,6%
2,5%
67,1%
1996
Bessa15
Brazilia
1.211
0-12
0,91%
1,15%
1,57%
9,08%
73%
2004
Shulman11
USA 1988-
10.030
2-17
0,78%
1,23%
0,6%
90,8%
2005
1994
Parlak7
Turcia
993
13-16
0,1%
2,9%
3,6%
2,3%
73,8%
2006
Majorana6
Italia 1997-
10.128
0-12
8,2%
3,98%
4,27%
3,15%
5,14%
71,1%
2010
2007
Ambika8
India
1.003
4-14
0,8%
0,1%
1,4%
5,49%
35,89%
2011
Jahanbani1
Iran
1.020
12-15
0,4%
0,8%
0,5%
72%
2012
medicină dentară, pediatrie și dermatologie și de multe
Infectiile fungice sunt generate de diverse specii de
ori este neglijată.
Candida, fungi din flora normală a mucoaselor corpului
Scopul prezentei lucrări este evaluarea prevalenței
uman. Factorii care determină perturbarea echilibrului
leziunilor mucoasei orale a copilului în literatura
sunt medicamentoși (antibiotice, corticosteroizi), scăderea
medicală din diferite zone pe glob (infecția candidozică,
imunității ( HIV), în malignități, tulburări endocrine, etc.
herpes simplex, afte cronice recidivante, limba
Clasificarea infecțiile fungice orale cuprinde forme
geografică, leziunile traumatice) (Tabelul I).
acute (pseudomembranoasă şi atrofică) și forma cronică
Folosind baza de date PubMed (mai 2015), dintr-
(hiperplazică şi atrofică). Frecvența infecțiilor fungice la
un total de 221 de articole care au cuvintele cheie
copiii fără afecțiuni generale asociate infecției cu candida
„prevalence oral lesions, children, review”, am selectat
variază între 0,01%[5] și 8,57% [6], iar la nou-născuți
un număr de 16 articole. Acestea au fost publicate între
prevalența este mult crescută, ajungând până la 37% [4].
anii 1988 [3] și 2014 [4]. Criteriile de selecție au fost:
Cheilita angulară este o inflamație cronică a
numărul de pacienți care au compus lotul minim de
comisurilor labilale, în care se găsesc frecvente colonii de
800 persoane, încadrarea leziunilor în formatul propus
Candida, uneori asociate și cu stafilococus aureus. Unele
(infecția candidozică, herpes simplex, afte cronice
studii arată o puternică legătură între copiii care prezintă
recidivante, limba geografică, leziunile traumatice),
cheilită angulară și anemie [7].
reprezentarea fiecărui continent.
Prevalența cheilitei angulare este între 0,7% [8] și
Articolele alese prezentau studii efectuate în India,
6,5% din cazuri [1].
Irak, USA, Africa de Sud, Italia, Taiwan, Brazilia,
Infecții virale cu manifestare pe mucoasele orale,
Argentina, Turcia și Mexic. Datorită diferențelor
produse în special de virusurile herpes simplex, varicelo-
metodologice și criteriilor clinice de diagnostic am
zosterian, Epstein-Barr, Coxsackie, Paramyxovirus,
întâlnit o prevalență diferită a leziunilor de mucoasă în
Papilloma [9].
diversele zone geografice analizate.
Virusul Herpes Simplex este un virus cu 2 tipuri de
Numărul de pacienți examinați în studiile selectate
ADN. Tipul I este regăsit în sfera orală, unde generează
a fost între 846 [3] și 39.206 [5], fiind efectuate în școli,
infecție primară sau secundară recidivantă
(datorită
clinici universitare în cadrul secțiilor de patologie orală,
posibilității de cantonare a virususului pe traiectul
atât în cadrul consultațiilor pedodontice, cât și în
nervos sau ganglionar), iar tipul II este regăsit în special
populația generală.
în zona genitală.
118
Boeru et al
MEDICAL CONNECTIONS • NUMBER 2 (38) • JUNE 2015
GENERAL REVIEW
Infecția primară apare de obicei în copilărie, sau în
Leziuni traumatice pot fi produse de factori mecanici,
perioada de adult tânăr. În prima parte a copilăriei, infecția
chimici, termici, de diferite aparate ortodontice sau
virală primară poate trece neobservată. Manifestările nu
obiceiuri vicioase
(Moriscatio Buccarum). În ceea ce
diferă însă în funcție de perioada de apariție [10].
privește diferențele de prevalență regăsite în studiile
Prevalența găsită pentru infecția virală variază de la
selectate, acestea sunt foarte mari datorită încadrării diferite
0,4% [9] la 1,42% [11] și chiar până la 6,9% din cazuri
a ceea ce înseamnă sau nu leziune traumatică, între 0,09%
[6]. Crivelli și colaboratorii arată că infecția virală cu
[5] și 12,17% [17]. Se constată o scădere a prevalenței
Herpes Simplex ar avea legătură cu nivelul de trai, astfel
traumatismelor o dată cu înaintarea în vârstă a copiilor [2].
la grupul pacienților cu nivel crescut de trai se găsește o
Cele mai dese zone anatomice în care sunt implicate
valoare de 1%, pe când la grupul celor cu nivel socio-
traumatismele sunt mucoasa jugală și buza inferioară [8].
economic redus se găsește o valoare de 10% [3]. Sistemul
imunitar deficitar poate fi considerat ca un factor
Concluzii
predispozant pentru infecții recurente cu Hepers
Simplex [6].
Examinarea leziunilor mucoasei orale la copii
Aftele cronice recidivante reprezintă cea mai des
prezintă o prevalență diferită și o patologie aparte față de
întâlnită ulcerație din cavitatea bucală. Din punct de
cea a adulților. După cum se poate observa din Tabelul
vedere clinic, aftele se pot clasifica în: afte minore
I, răspândirea leziunilor de mucoasă orală la nivel
(diametrul maxim al leziunii ulceroase nu depășește 1
mondial este diferită. Se observă diferențe în ceea ce
cm și se vindecă în decurs de o săptămână fără a lăsa
privește frecvența pacienţilor fără leziuni, de la 35,89%
cicatrici), afte majore (cu diametru mai mare de 1 cm, se
[8] până la 95.9% [5].
includ și aftele atipice la pacienți cu imunodepresie) și
Din punct de vedere al distribuției geografice, în
aftele herpetiforme (cu dimensiuni reduse de doar câțiva
Italia
[16] întâlnim cea mai mare prevalență pentru
mm, dar cu leziuni multiple, în număr de peste 10)
infecțiile fungice, iar în Argentina [3] pentru infecțiile
[12]. Primul episod aftos apare cu frecvență mare în
virale cu Herpes Simplex și ulcerațiile determinate de
adolescență, între 11-20 de ani, la 46% dintre pacienți,
aftele cronice recidivante. În India
[8], răspândirea
urmat de perioada adultului tânăr, între 21 și 30 de ani,
majoritară a leziunilor mucoasei orale la copii este
în 24 % din cazuri și doar în 14% din cazuri apare
determinată de leziunile traumatice. În literatura
înainte de vârsta de
10 ani [13]. Prevalența aftelor
studiată nu am găsit studii despre prevalența acestor
variază între 0,67% și 10,87% [8]. În ceea ce privește
leziuni în Sud-Estul Europei. În viitor se impune
legătura dintre nivelul de trai ridicat și frecvența mai
realizarea unui studiu asupra acestei patologii și în
mare a leziunilor aftoase, nu există o părere unanimă,
această zonă geografică, datorită diferențelor mari
fiind studii care confirmă această ipoteză [14] și studii
observate la nivel mondial.
care o infirmă [15]. Cert este faptul că se regăsesc în
Răspândirea leziunilor este diferită în studiile citate
procent crescut la copiii care prezintă tulburări
datorită unor criterii de diagnostic diferite și a
imunitare, malabsorbție, malnutriție, etc [6].
metodologiei de lucru. O parte din studiile selectate au
Limba geografică
(glosita migratorie) reprezintă o
luat în calcul variantele normalului, în timp ce altele le-au
variantă a normalului în care mucoasa linguală capătă
încadrat ca și mucoase fără leziuni, de aici apărând
un aspect de hartă, datorită alternanțelor zonelor de
diferențele între procentul final al mucoaselor fără leziuni
atrofie și depapilare cu cele de hiperplazie a papilelor
și cel cu manifestări patologice. De asemenea, în ceea ce
filiforme. Glosita migratorie poate să apară la vârste
privesc leziunile traumatice, sunt studii care împart
fragede, fapt ce determină îngrijorarea părinților,
această categorie în ulcerații traumatice fără a încadra și
datorită aspectului spectaculos al leziunii cât și al
keratozele traumatice în aceeași categorie. Sexul, rasa,
posibilei manifestării la nivel oral al psoriazisului sub
obiceiurile, stilul de viață și bolile generale modifică la
forma unei glosite migratorii [16]. În ceea ce privește
rândul lor aceste procente, astfel încât este greu a
prevalența, aceasta diferă în funcție de zona geografică
uniformiza rezultatele și a ajunge la o concluzie unanimă,
unde s-a efectuat studiul și de metodologie, între 0,6%
fiind necesară o evaluare a fiecărei categorii de populație.
[5] și
9,08% [15]. Pentru pacienții cu diferite boli
generale se constată o frecvență mult crescută, 40,6%
[4]. Au fost raportate cazuri în care limba apare complet
Referințe
depapilată (1% la băieți și 1,4% la fete) ceea ce, în lipsa
oricărei alte afecțiuni
(anemii, lichen plan), poate fi
1. Jahanbani J, Morse DE, Alinejad H. Prevalence of
considerată ca o tulburare de nutriție [8].
Oral Lesions and Normal Variants of the Oral Mucosa
Prevalence of Oral Mucosal Lesions in Children. Review of Literature
119
GENERAL REVIEW
MEDICAL CONNECTIONS • NUMBER 2 (38) • JUNE 2015
in 12 to 15-year-old Students in Tehran, Iran. Arch
11.
Shulman JD. Prevalence of oral mucosal lesions in
Iran Med 2012;15(3):142-5.
children and youths in the USA. Int J Paediatr Dent
2.
Rioboo-Crespo MR, Planells-del Pozo P, Rioboo-
2005;15(2):89-97.
García R. Epidemiology of the most common oral
12.
Țovaru Ș, Țovaru M, Costache M, Demarossi F.
mucosal diseases in children. Med Oral Patol Oral Cir
Medicină și Patologie Orală. vol I, ed. Qmed
Bucal 2005;10:376-87.
Publishing București, 2008.
3.
Crivelli MR, Aguas S, Quarrancino C, Bazerque P.
13.
Gándara P, Somoza JM, García A, Gándara JM.
Influence of the socioeconomic estatus on oral mucosa
Estomatitis aftosa recidivante. Diagnóstico y actualización
lesion prevalence in schoolchildren. Community Dent
terapéutica. Gaceta Dental 2002;130:64-72.
Oral Epidemiol 1988;16:58-60.
14.
Colaci R, Sfasciotti G. Most common oral mucosal lesions
4.
Pinto, Christel M. Haberland. Pediatric Soft Tissue
in children: Prevalence and differential diagnosis.
Oral Lesions Dent Clin N Am 2014;(58),437-53.
Webmed Central Dentristy 2013;4(12):WMC004483.
5.
Kleiman DV, Swango PA, Pndborg JJ. Epidemiology
15.
Bessa CFN, Santos PBJ, Aguilar MCF, Do Carmo
of mucosal lesions in United States schoolchildren: 1986-
MAV. Prevalence of oral mucosal alterations in children
1987.
Community Dent Oral Epidemiol
from 0 to 12 years old. J Oral Pathol Med 2004;33:17-
1994;22:243-53.
32.
6.
Majorana A. Oral mucosal lesions in children from 0 to
16.
Canaan TJ, Meechan SC. Variations of structure and
12 years old: ten years’ experience Oral Surg Oral Med
appearance of the oral mucosa. Dent Clin North Am
Oral Pathol Oral Radiol Endod 2010;110:e13-e18.
2005;49:1-14.
7.
Parlak AH, Koybasi S, Yavuz T, et al. Prevalence of oral
17.
García-Pola MJ, García JM, González M. Estudio
lesions in 13- to 16-year old students in Duzce, Turkey.
epidemológico de la patología de la mucosa oral en la
Oral Dis 2006;12(6):553-8.
población infantil de
6 años de Oviedo
(España).
8.
Ambika L, Vaishali Keluskar. Prevalence of oral
Medicina Oral 2002;7:184-91.
mucosal lesions and variations in Indian public school
18.
Sedano HO et al. Clinical orodental abnormalities in
children Sci. vol.10 n.4 Piracicaba Oct./Dec 2011.
Mexican children. Oral Surg Oral Med Oral Pathol
9.
Field A, Longman L, Tyldesley W. Tyldesley’s Oral
1989;68:300-11.
Medicine, 5th edition Oxford University Press 2004.
19.
Arendorf TM, van der Ross R. Oral soft tissue lesions
10.
Țovaru Ș, Părlătescu I, Țovaru M, Cionca L. Primary
in a black pre-school South African population.
herpetic gingivostomatitis in children and adults.
Community Dent Oral Epidemiol 1996;24(4):296-
Quintessence Int 2009;40:119-24.
7.
120
Boeru et al
CASE PRESENTATION
SUSPICIUNE DE TUBERCULOZĂ OCULARĂ CONCOMITENTĂ
TUBERCULOZEI ARTICULAȚIEI PUMNULUI DREPT. PREZENTARE
DE CAZ
1Șerban Dragosloveanu, 2Christiana Celea, 3Cristian Celea
1Spitalul Clinic de Ortopedie-Traumatologie și TBC osteoarticular Foișor, 2Spitalul Clinic de Urgențe Oftalmologice
București, 3Spitalul Clinic de Urgență Prof. Dr. Agrippa Ionescu, Bucuresti, Romania
Adresa pentru corespondență:
Christiana Celea,
Str. Bruxelles, nr. 15, Sector 1, Bucuresti, Romania
Email: christianacelea@gmail.com
Primit: 01.05.2015
Acceptat: 30.05.2015
Med Con June 2015 Vol 10, No 2, 121-124
Rezumat
începerea tratamentului sistemic, pacienta ajungând la o
acuitate vizuală a ochiului stâng de
1 (20/20) fără
O pacientă în vârstă de 34 de ani, asistentă medicală,
corecție.
se prezintă la o consultație oftalmologică acuzând durere
Concluzii: Tuberculoza se poate prezenta cu o
și „încetoșarea” vederii la ochiul stâng (OS) de aproximativ
paletă largă de manifestări clinice, putând afecta diferite
2 săptămâni. Examenul oftalmologic relevă o acuitate
organe. Tuberculoza oculară este un diagnostic solicitant,
vizuală a ochiului stâng
(VOS) de 0,6 (12/20) fără
necesitând investigații amănunțite inter-disciplinare.
corecție, nu corectează (fc nc), keratită interstițială, semne
Cuvinte cheie: tuberculom coroidian, keratita
de inflamație vitreană și în cadranul infero-nazal două
intesrtițială,
tuberculoză
oculară,
tuberculoză
mase coroidiene, care la examinarea ecografică prezintă
ostearticulară, durere cronică a articulației pumnului
un aspect chistic. În afara acuzelor oftalmologice, pacienta
menționează o durere intensă, mai veche a articulației
Introducere
pumnului drept. Până la efectuarea consulturilor adicente
solicitate, i se administrează tratament local steroidian. La
Tuberculoza oculară
(TBO) este o patologie cu
consultul ortopedic se ridică suspiciunea de tuberculoză
localizare extrapulmonară ce prezintă manifestări
osteoarticulară, confirmată de biopsie. Pacienta este
variabile [1]. Aceasta poate afecta aproape orice țesut
tratată chirurgical ortopedic (artrodeză de pumn drept cu
ocular, ducând la o varietate de manifestări clinice care
placă și șuruburi). Pe baza diagnosticului ortopedic și a
pot afecta acuitatea vizuală. TB oculară poate duce la
investigațiilor adiacente, se ridică suspiciunea de
deficiențe de vedere prelungite, mai frecvent la pacienții
tuberculoză oculară (uveită tuberculoasă cu tuberculoame
cu uveită posterioară sau panuveită [2]. Există o mare
coroidiene). Tratamentul oftalmologic local a constat în
varietate de manifestări clinice care afectează aproape
colir antiinflamator steroidian timp de 6 luni. Tratamentul
fiecare țesut ocular. Acestea includ uveita anterioară,
sistemic a fost administrarea de tuberculostatice timp de
uveita intermediară, vasculita retiniană, coroidita
12 luni.
serpiginoasă multifocală, tuberculom coroidian, abces
Consultațiile periodice remarcă faptul că
subretinian, sclerita sau chiar nevrita optica
[3].
manifestările oculare au regresat total după 3 luni de la
Tuberculoza oculară poate avea ca rezultat tulburări
Ocular Tuberculosis Suspicion Accompanying Positive Osteoarticular Tuberculosis in a Young Patient
121
CASE PRESENTATION
MEDICAL CONNECTIONS • NUMBER 2 (38) • JUNE 2015
vizuale prelungite sau chiar ireversibile, mai ales în cazul
nu prezintă modificări patologice. Polul anterior al
pacienților care se prezintă cu uveită posterioară sau
ochiului stâng (PAOS) prezintă hiperemie conjunctivală,
panuveită [2].
cornee cu aspect de keratită interstițială, fără alte semne
Totuși, diagnosticul este frecvent întârziat deoarece
de inflamație în camera anterioară
(CA), iris trofic,
manifestările clinice pot sugera o multitudine de alte
reflex fotomotor (RFM) prezent, cristalin transparent.
patologii oculare infecțioase sau ne-infecțioase,
Examinarea fundului de ochi stâng (FOS) relevă
diagnosticul diferențial fiind dificil [4]. De aceea, uveita
prezența unui vitros încărcat, predominant în zona
tuberculoasă este o formă de uveită subdiagnosticată, cu
infero-nazală, unde vizualizarea este slabă, dar permite
atât mai mult cu cât semnele și simptomele pulmonare
observarea a două mase coroidiene (de aproximativ 1,5
sunt absente uneori. Totuși, această lipsă nu ar trebui să
si
4 diametre discale fiecare), cu exudat subretinian și
elimine diagnosticul prezumptiv.
retina atașată (Figura 1).
Într-o eră cu patologii ale imunității scăzute, uveita
La examenul ecografic al ochiului stâng, vitrosul
tuberculoasă devine mai prevalentă, necesitând o atenție
apare încărcat și prezintă două chisturi (abcese?), fără
deosebită a clinicianului în momentul în care
calcificări sau alte imagini patologice.
manifestarile oculare apar independent de cele sistemice
La examenul angiofluorografic al ochiului stâng, în
[5].
faza inițială este descrisă o hiperfluorescență marginală
Plecând de la aceste date, prezentăm un caz rar de
cu o hipofluorescență a leziunii. Către ultima fază a
uveită tuberculoasă cu tuberculoame coroidiene.
examinării leziunea devine omogen hiperfluorescentă.
La ochiul drept ecografia și angiofluorografia sunt
Prezentare de caz
normale.
În această fază a investigațiilor se presupune o
O pacientă în vârstă de 34 de ani, se prezintă la o
leziune inflamatorie, neexcluzând posibilitatea unui
consultația oftalmologică acuzând înroșirea ochiului,
carcinom chistic coroidian (deși foarte rar întâlnit).
durere și „încetoșarea” vederii la OS de aproximativ 2
Pacientei i-au fost explicate suspiciunile, moment în
săptămâni, cu scăderea sesizabilă a acuității vizuale de
care ne-a menționat și o durere cronică la nivelul
aproximativ 3 zile. Menționează că este asistentă medicală
pumnului drept, care a debutat în urmă cu mai mult
și lucrează într-o secție de oto-rino-laringologie. În trecut
timp (nu a putut preciza cu exactitate), pentru care nu a
nu a mai solicitat o consultație oftalmologică, considerând
urmat niciun tratament.
că este o inflamație ușoară care va trece de la sine. Starea
Pacienta a fost investigată umoral: hemoleucograma-
generală este bună, nu menționează nimic patologic, fără
hematocrit 38% (N=37-47%), hemoglobina 13,2 g/dl
intervenții chirurgicale anterioare, iar antecedente heredo-
(N=12,5-16 g/dl), leucocite 9,3 (N=4-10,5), neutrofile
colaterale sunt nesemnificative.
4,7 (N=1,5-6,6), limfocite 6,7 (N=1,3-6), monocite 0,98
La examenul obiectiv se constată la ochiul drept o
(N<1), eozinofile 0,45 (N<0,7), bazofile 0,87 (N<0,1),
acuitate vizuală (VOD) de 1 (20/20) fără corecție (fc) și
trombocite 340 (N=150-450), VSH 35 mm/h (N<25
la ochiul stâng o acuitate vizuală (VOS) de 0,6 (12/20)
mm/h la femei sub 50 ani), proteina C reactivă 12 mg/l
fără corecție, nu corectează
(fc nc), ambele tensiuni
(N<10 mg/l), coagulare- fibrinogen 411 (N=200-400),
intraoculare (TAO) fiind 17-18 mmHg.
timp sângerare 3 (N=1-4), INR 2,5 (N=2-3), proteine
Polul anterior al ochiului drept (PAOD) este de
totale 6,8 (N=6,6-8,7), acid uric 4,6 mg/dl (N<5,7 mg/
aspect normal. Fundul de ochi al ochiului drept (FOD)
dl), uree 37 mg/dl (N<43 mg/dl), bilirubina totală 0.,93
mg/dl (N<1,2 mg/dl), creatinina 0,78 mg/dl (N<1 mg/
dl), glucoza serică 79 mg/dl (N=60-99 mg/dl), colesterol
165 mg/dl (N<200 mg/dl), enzimele hepatice- TGO 27
U/L (N<35 U/L), TGP 32 U/L (N<35 U/L), Ag Hbs
negativ, Ac HCV negativ, HIV negativ, VDRL negativ,
TPHA negativ, Ac anti-toxoplasma IgM negativ, IgG
pozitiv. Examen de urină- densitate
1017 (N=1015-
1022), ph
5,1
(N=4,8-7,4), leucocite negativ, nitriți
negativ, proteine
8 mg/dl
(N<10 mg/dl), glucoză
nedectabilă, corpi cetonici negativ, urobilinogen negativ,
Figura 1. Aspectul fundului de ochi stâng (FOS) - zona
bilirubina negativ, eritrocite negativ.
infero-nazală prezintă vitros încărcat, două mase coroidiene
Radiografie pulmonară: fără modificări patologice
cu exudat subretinian și retina atașată, vizualizare dificilă
datorită inflamației vitreene
evidențiabile radiologic.
122
Dragosloveanu et al
MEDICAL CONNECTIONS • NUMBER 2 (38) • JUNE 2015
CASE PRESENTATION
Rezultatele menționate anterior susțin diagnosticul
de tuberculoză oculară cu uveită tuberculoasă și
tuberculoame coroidiene, pacienta fiind deja pe
tratament local steroidian la ochiul stâng și tratament
sistemic tuberculostatic indicat de medicul ortoped
(pentru
12 luni)
-
6 luni izoniazidă, rifampicină,
pirazinamidă și etambutol (HRZE), 6 luni izoniazidă,
rifampicină (HR).
După 3 luni de la începerea tratamentului pacienta
revine la control și prezintă acuitatea vizuală la ochiul
stâng
(VOS) de 1 (20/20) dificil fără corecție, pol
anterior ochiul stâng (PAOS) - de aspect normal, fără
semne de inflamație, fundul de ochi stâng (FOS) - de
aspect normal, nu prezintă semne vitreene de inflamație,
lipsa celor două mase coroidiene, dar prezintă cicatrici
Figura 2. Aspect după tratamentul chirurgical ortopedic,
pigmentate infero-nazal, zona care fusese afectată ințial.
artrodeză de pumn drept cu placă și șuruburi
Tratamentul antiinflamator steroidian sub formă de
colir a mai fost continuat timp de o lună și apoi sistat.
Ecografie abdominală și pelvină: organe în limite
normale, calcul renal drept de aproximativ 4 mm, fără
Discuții
alte modificări patologice abdominale și pelvine.
Până la aflarea rezultatelor și revenirea la control,
Tuberculoza oculară apare de obicei la pacienții
pacienta a primit tratament antiinflamator steroidian
aparent sănătoși și poate evolua până la leziuni
sub forma de colir.
ireparabile, care scad important acuitatea vizuală [6].
Consultul ortopedic constată că pacienta prezintă
Manifestările oculare pot varia de la implicarea
dureri intense la nivelul pumnului drept, cu evoluție
pleoapelor sau anexelor până la celulita orbitală,
lentă. Clinic nu se observă semnele clasice de osteoartrită
limfadenopatie perioculară, granulom conjunctival,
bacilară, nu prezintă temperatură locală crescută sau
sclerită, iridociclită, vitrită, pars planita, coroidită sau
eritem.
chiar nevrită optică [7].
În urma examenului clinic și radiologic medicul
Pe de altă parte, o manifestare oculară poate demasca
ortoped ridică suspiciunea de tuberculoză osoasă a
o tuberculoză multisistemică, pulmonară sau
articulației pumnului drept, cu indicația de intervenție
extrapulmonară. Un diagnostic superficial poate omite
chirurgicală în scop diagnostic (biopsic).
anumite zone de afectare TBC, clasificarea bolii devenind
Examenul histopatologic descrie un țesut osos cu
greșită, iar tratamentul ales fiind indecvat. Programul
granuloame necrozante, colorația Ziehl-Neelsen pentru
DOTS nu menționează tuberculoza oculară de sine
bacilul Koch pozitivă. Cultura Lowenstein-Jensen
stătătoare, decizia tratamentului oftalmologic fiind dificilă
pozitivă pentru Mycobacterium tuberculosis, sugestiv
în cazul neasocierii cu alte manifestări sistemice (probabil
de tuberculoză osteo-articulară. Testul la tuberculină
cea mai indicată fiind tratarea tuberculozei oftalmologice
este pozitiv, examinare PCR
(rezultat pozitiv) și
ca o tuberculoză extrapulmonară).
quantiFERON- TBC test (>0,40 UI/ml). Toate acestea
Există doar câteva cazuri raportate de tuberculom
susțin diagnosticul de tuberculoză osteoarticulară.
coroidian care se prezintă cu sau fără diseminare
Intervenția chirurgicală ortopedică a constat în
sistemică.
artrodeză de pumn drept cu placă și șuruburi (Figura 2).
Diagnosticul diferențial este foarte important într-o
Evoluție postoperatorie favorabilă. Se administreză
asemenea examinare, fiind necesar diagnosticul
imediat tratamentului tuberculostatic, indicat timp de
diferențial cu melanomul coroidian în cazul căruia de
12 luni.
obicei se practică enucleerea [9].
La examenul oftalmologic efectuat după intervenția
Diagnosticul de tuberculoză oculară este prezumptiv
chirurgicală s-a constatat o acuitate vizuală la ochiul stâng
și depinde de alte manifestări descrise de pacient sau de
nemodificată: VOS=0,6
(12/20) fără corecție, nu
consultații interdisciplinare menite să identifice alte
corectează și aspectul de pol anterior și fund de ochi stâng
zone de diseminare TBC. Tuberculoza extrapulmonară
neschimbate. S-a propus o injecție intravitreană cu
este la rândul ei greu de diagnosticat, necesitând metode
Triamcinolon în scop antiinflamator dar pacienta a refuzat.
de diagnostic invazive.
Ocular Tuberculosis Suspicion Accompanying Positive Osteoarticular Tuberculosis in a Young Patient
123
CASE PRESENTATION
MEDICAL CONNECTIONS • NUMBER 2 (38) • JUNE 2015
În cazul prezentat de noi, la stabilirea diagnosticului
3.
Gupta V, Gupta A, Rao NA. Intraocular tuberculosis-
corect am coroborat istoricul de expunere (pozitiv în
an update. Surv Ophthalmol 2007;4:561-87.
cazul unei asistente medicale), examinarea clinică,
4.
Patel SS, Saraiya NV, Tessler HH, Goldstein DA.
examenul histopatologic, testul pozitiv la tuberculină,
Mycobacterial ocular inflammation: delay in diagnosis
radiografia pulmonară, PCR și quantiFERON- TBC
and other factors impacting morbidity. JAMA
test, metode de lucru compatibile în literatură [10,11].
Ophthalmol 2013;4:752-58.
Diagnosticul final în astfel de cazuri este dificil dar
5.
Oluleye TS. Tuberculous uveitis. J Multidiscip Healthc
nu imposibil. Tratamentul totodată este o încercare,
2013;6:41-3.
necesitând consult interdisciplinar [8].
6.
Sahu GN, Mishra N, Bhutia RC et al. Manifestations
Această lucrare a beneficiat de suport financiar prin
in ocular tuberculosis. Ind J Tub 1998;45:153.
proiectul „CERO - PROFIL DE CARIERĂ: CERCETĂTOR
7.
7. Sheu SJ, Shyu JS, Chen LM et al. Ocular
ROMÂN”, contract nr. POSDRU/159/1.5/S/135760,
manifestations
of
tuberculosis.
Ophthalmology
proiect cofinanțat din Fondul Social European prin Programul
2001;108(9):1580-5.
Operațional Sectorial Dezvoltarea Resurselor Umane 2007-
8.
8. World Health Organization (WHO). Treatment of
2013.
Tuberculosis: Guidelines for National Programmes, 3rd
edition.
WHO/CDS/TB2003.313
Geneva,
Switzerland: WHO, 2003.
Referințe
9.
9. Shields CL, Jerry A, Hakan Demirci et al. Ocular
tuberculosis masquerading as ocular tumors. Survey of
1. Gupta V, Shoughy SS, Mahajan S, Khairallah M,
ophthalmology 2004;49(1):78-89.
Rosenbaum JT, Curi A, Tabbara KF. Clinics of ocular
10.
10. Rao NA, Gupta V, Gupta A. Intraocular
tuberculosis. Ocul Immunol Inflamm 2015;23(1):14-
tuberculosis-An Update. Survey of Ophthalmology
24.
2007;52(6): 561-87.
2. Basu S, Monira S, Modi RR, Choudhury N, Mohan
11.
11. Albini TA, Rao NA, Karakousis PC. Interferon-ã
N, Padhi TR, et al. Degree, duration, and causes of visual
Release Assays in the Diagnosis of Tuberculous Uveitis.
impairment in eyes affected with ocular tuberculosis. J
American Journal of Ophthalmology 2008;146:486-
Ophthalmic Inflamm Infect 2014;4(1):3.
8.
124
Dragosloveanu et al
HISTORY OF MEDICINE
ISTORII MEDICALE ÎN MEMORIILE REGINEI MARIA A ROMÂNIEI (2)
Călin Bumbuluţ1, Andrei Bumbuluţ2, Rumelia Koren3
1SCM dr Bumbuluţ-dr Balaj, Satu Mare, România, 2Facultatea de Medicină, Universitatea de Medicină şi Farmacie
Iuliu Haţieganu, Cluj Napoca, România, 3Departmentul de Patologie, Spitalul Hasharon, Petah Tikva şi Facultatea de
Medicină Sackler, Universitatea Tel-Aviv, Israel
Adresa pentru corespondenţă:
Dr. Bumbuluţ Călin
Satu Mare, str. Bobocului UK 30-440258
Email: bumbulutcalin@yahoo.com
Primit: 25.08.2014
Acceptat: 15.09.2014
Med Con June 2015 Vol 10, No 2, 125-130
Rezumat
săgetări de durere. Mi se spuse că şi aceasta era în legătură
cu „drăguţul de prinţ moştenitor ce avea să sosească” (nn.
Maria, regină a României născută Maria Alexandra
Principele Carol, viitorul Rege Carol al II-lea) şi se credea
Victoria de Saxa-Coburg şi Gotha (29 octombrie 1875,
că această idee îmi va micşora durerile, ceea ce nu se
Eastwell Park, Kent, Anglia - 18 iulie 1938, castelul
întâmplă nicidecum. Însă cu prilejul durerilor de dinţi
Pelişor-Sinaia, Regatul României), a fost prinţesă a
întră în viaţa mea dr Young. Doctorul Young era supus
Marii Britanii şi Irlandei şi consoarta regelui Ferdinand.
englez, dar american din naştere (…) Meşteşugul lui era
Memoriile sale reprezintă o sursă importantă pentru
mare, însă nu fără durere pentru cei care se foloseau de el
informaţii inclusiv medicale, dar şi o literatură
(…) Îmi chinui falca de sus şi cea de jos şi-mi scoase patru
surprinzătoare, ceea ce vădeşte un talent scriitoricesc.
dinţi, zicând că am prea mulţi pentru micul spaţiu ce le
Demersul nostru vizează o incursiune în informaţiile
era rezervat (…). Una din spusele lui mi-a rămas neştearsă
medicale cuprinse în memoriile Reginei Maria a
României, după cunoştinţele noastre fiind primul de
acest fel.
Cuvinte cheie: Regina Maria, medicină, febră
tifoidă, Ion Cantacuzino, Christea Buicliu, Wilhelm și
Mite Kremnitz
Continuăm incursiunea în Memoriile Reginei
Maria, volumul al II-lea, oprindu-ne asupra unor istorii
medicale şi nu numai, conotaţiile culturale şi sociale ale
acestora aducând în atenție nume importante ale
sfârşitului de secol XIX şi începutului de secol XX.
Simt că trebuie să amintesc aici o fiinţă plină de
bunătate care în acele timpuri mi-a ieşit în cale. Sufeream
de dureri de dinţi în mod crâncen, eram toată numai
Figura 1. Regina Maria în 1902
Ocular Tuberculosis Suspicion Accompanying Positive Osteoarticular Tuberculosis in a Young Patient
125
HISTORY OF MEDICINE
MEDICAL CONNECTIONS • NUMBER 2 (38) • JUNE 2015
pentru totdeauna (...) Mă găsise plângând din cauza unor
veşti primite într-o scrisoare de acasă, îmi curgeau lacrimile
ca o ploaie de primăvară. „Şterge-ţi ochii, zise dr Young,
acesta n-are să fie ultima dezamăgire din viaţa dumitale!”
Acest scurt rezumat al situaţiei, rostit fără zâmbet sau
încruntare, dădea pe de-a-ntregul măsura omului.
Prietenia noastră dăinui şi după ce nu am mai avut nevoie
să-mi îngrijească dinţii. Şi astăzi păstrez cu adevărată
preţuire amintirea doctorului Young, care trăi până în
primul an al Marelui Război” [1, p 41,42].
„(...) Elisabeta se grăbi însă şi sosi la 11 octombrie,
înainte să poată veni mama, aşa că nu fură lângă mine în
ceasul greu decât Aunty Elisabeta (nn. Regina Elisabeta) şi
Figura 2. Ion Cantacuzino în 1902 (stânga) și la maturitate
un doctor român. Mai târziu, doctorul Cantacuzino şi cu
mine ne împrietenirăm temeinic, dar pe atunci era pentru
mine un străin şi îl priveam cu ochi plini de teamă” [1, p
de afecţiuni, după cum vom vedea şi din tragedia
65].
pierderii ultimului născut, Mircea: „Rar s-a întâmplat să
Ion Cantacuzino (25 noiembrie 1863-14 ianuarie
fiu bolnavă, deoarece am o minunată putere de viaţă, însă
1934) urmează studii liceale precum şi cele superioare
de câte ori mi se întâmpla, nu mă puteam opri de a privi
de filosofie, ştiinţe naturale şi medicină la Paris. În 1895
boala ca pe o umilire, ca o decădere. Te simţi dată pe mâna
obţine titlul de Doctor în Medicină cu teza: „Recherches
altora şi în voia lor; bolnavilor niciodată nu li se spune
sur le mode de destruction du vibrion cholérique dans
adevărul: din ziua în când te afli într-un pat de bolnav ai
l’organisme» («Cercetări asupra modului de distrugere a
trecut graniţele normale; ţi se fac toate chefurile, dar
vibrionului holeric în organism»). După terminarea
domnesc alţii în locul tău şi gândesc pentru tine; starea ta
studiilor, lucrează în Institutul Pasteur din Paris ca
orizontală, în contrast cu cea verticală a omului ce stă în
asistent al lui Ilia Ilici Mecinikov în domeniul
picioare şi se apleacă asupra ta, e prin ea însăşi o înfrângere,
mecanismelor imunitare ale organismului. Întors în
o scădere a personalităţii tale, o inferioritate pe care eşti
ţară, este numit profesor de Medicină experimentală la
nevoit s-o suporţi. Niciodată nu mi-a plăcut să-mi predau
Facultatea de Medicină din Bucureşti (1901) şi Director
voinţa în mâna altora, neştiind unde se va opri această
general al Serviciului Sanitar din România (1907). Cu
predare” [1, p 67,68].
sprijinul Regelui Ferdinand I, care-i oferă un teren pe
Boala principelui moştenitor, viitorul Rege
malul Dâmboviţei, Ioan Cantacuzino finalizează cel mai
Ferdinand, crează o vie emoţie în societatea sfârşitului
mare proiect al său: Institutul de Seruri şi Vaccinuri,
secolului al XIX-lea, prin implicaţiile dramatice pentru
devenit activ începând cu anul 1921. Cantacuzino a
Regatul României ale unui eventual deces, dar şi ale
cercetat imunizarea activă împotriva dizenteriei, febrei
lungii perioade de boală: „În vara aceluiaşi an, 1897,
tifoide, dar a fost preocupat şi de etiologia şi patologia
început atât de vesel, am avut de trecut printr-o groaznică
scarlatinei. În
1926, munca sa a devenit atât de
îngrijorare: soţul meu se îmbolnăvi de o formă virulentă a
performantă, încât România a fost a doua ţară din lume
frigurilor tifoide şi era cât pe ce să-l pierdem. A fost în mai
după Franţa care a introdus, fără să importe, bacilul
multe rânduri în pragul morţii, căci boala s-a agravat din
Calmette-Guérin pentru vaccinarea profilactică a nou-
primele zile prin diferite complicaţii serioase, declarându-
născuţilor împotriva tuberculozei. Ca discipol al lui
se la urmă o dublă pneumonie care era aproape să-i pună
Mecinikov şi-a dedicat o parte a cercetărilor sale
capăt zilelor. Mi-aduc aminte cum l-au menţinut în viaţă
fagocitelor, mijloacelor de apărare ale organismului
prin injecţii de apă sărată în doze mari, care-l chinuiră,
împotriva agenţilor patogeni, precum şi în problema
dar îl scăpară. Nu mai ştiu exact câtă vreme a ţinut boala,
imunităţii, inventând noţiunea de imunitate de contact.
dar mi s-a părut nesfârşit de lungă (...). Trei doctori erau
În timpul celui de al doilea Război Balcanic, a fost
mereu în jurul lor: dr. Jean Cantacuzino, dr. Buicliu şi dr.
numit şeful acţiunii de combatere a epidemiei de holeră
Kremnitz; acesta era german, avea o barbă lungă castanie,
din Armata Română staţionată în Dobrogea, îndeplinind
era un om foarte deştept şi prieten personal al regelui şi
aceaşi poziţie şi în timpul Primului Război Mondial,
reginei. Pe atunci mă pricepeam puţin la boli şi nu eram
pentru combaterea tifosului.
bună de nimic ca infirmieră (...)” [1, p 136, 137].
Regina Maria arată o deplină înţelegere a omului
Cel care avea să devină unul dintre promotorii
bolnav, familia ei fiind supusă repetat încercărilor date
Şcolii Româneşti de Neurologie Psihiatrică profesorul
126
Dragosloveanu et al
MEDICAL CONNECTIONS • NUMBER 2 (38) • JUNE 2015
HISTORY OF MEDICINE
Christea Buicliu s-a născut la Roman la 7 decembrie
1857, într-o veche familie armenească. A urmat în Iaşi
studiile secundare, iar apoi în
1875 pleacă la Paris
pentru a studia medicina. Termină în 1883 Facultatea
de Medicină şi apoi se întoarce acasă. La Bucureşti
profesează ca medic primar la Spitalul Brâncovenesc, iar
în 1886 la Clinica Medicală a Facultăţii de Medicină.
Christea Buicliu este adeptul reformelor în Facultatea de
Medicină şi în sistemul sanitar românesc. Colaborează
strâns în acest sens cu Victor Babeş, de care îl leagă o
prietenie sinceră. A fost numit Efor al Spitalelor şi
devine unul dintre întemeietorii Şcolii Româneşti de
Neuropsihiatrie. A scris zeci de lucrări şi articole în
Figura 3. Heinrich Adolf von Bardeleben
domeniu, printre care un „Tratat de terapeutică” în şase
(1 martie 1819 - 24 septembrie 1895)
volume, „Istorie şi ipnotism”, „Polinevrite arsenicale”
sau „Lecţiuni clinice asupra semiologiei cardiace”. Prof.
Dr. Christea Buicliu s-a stins prematur din viaţă la 57 de
ani la 9 august 1916 şi se odihneşte la Roman în oraşul
său natal.
„Nu voi uita niciodată noaptea groaznică în care am
fost chemată la patul soţului meu, căci doctorii credeau că
se apropie sfârşitul (...) Nando zăcea pe spate, era atât de
slab încât trupul lui părea una cu cearceaful. Avea faţa
lividă şi răsufla cu greutate; ochii îi erau mari, deschişi,
sticloşi (...) Îi apucai uşor degetele cu ale mele; ale lui erau
ude de năduşeală, năduşeala curgea de pe el, mâinile
noastre unite zăceau într-o mică baltă de apă. Auzisem
adesea vorbindu-se despre „năduşeala morţii”, acum ştiam
Figura 4. Titu Maiorescu în tinerețe 1882 (stânga)
şi eu ce înseamnă!” [1, p 139].
și la maturitate
„Aripa morţii nu atinsese casa noastră, dar
convalescenţa prinţului fu lungă şi grea; în mai multe
rânduri, căzu iar pradă bolii şi marele dr. Leiden fu chemat
prinţului, muri pe neaşteptate într-o dimineaţă din pricina
în consultaţie. Românii, cu toate că au doctori cât se poate
opririi inimii. (...) După moartea doctorului Kremnitz,
de buni, au obiceiul să cheme în ajutor medici străini. S-a
intră în viaţa noastră doctorul Romalo, care fu doctorul
trimis deci după Leiden, în urma stăruinţelor tuturor. Nu
nostru până la sfârşitul zilelor lui” [1, p 141,142].
pot spune că mi-a plăcut; aceşti oameni mari, chemaţi în
Odată cu doctorul Kremnitz, își face apariția pe
cazuri urgente, îmi par întotdeauna cam nepăsători; ei nu
scena mondenă și culturală a României sfârșitului de
pot avea pentru bolnavi aceleaşi sentimente ca aceia care
secol XIX Mite Kremnitz, născută Marie Charlotte von
au tremurat pentru viaţa lor de-a lungul grelelor ceasuri de
Bardeleben, fiica celebrului chirurg Heinrich Adolf von
îngrijorare. (...) A fost o mare uşurare pentru noi că ne-am
Bardeleben. Și-a petrecut copilăria în Greifswald,
putut duce bolnavul în aerul de munte proaspăt şi întăritor,
Londra și începând cu 1868, în Berlin. În 1872, la 20 de
(nn la Sinaia) dar mai zăcu încă în pat timp de vreo şase
ani, Mite se căsătoreşte cu Wilhelm Kremnitz.
săptămâni, palid, istovit, cu o barbă castanie, îngrozitor de
O întâmplare din viața lui Titu Maiorescu îl va lega
schimbat, cu faţa suptă şi galbenă precum ceara, cu găuri
definitiv de familia Kremnitz: în drum spre Paris, va face
în obraji şi mâini ca de schelet. Mie îmi părea aproape un
un popas la Berlin, în octombrie 1859. Vizitând familia
străin” [1, p 140].
Kremnitz îi oferă „câteva suveniruri gastronomice” pe
Un eveniment care survine în timpul convalescenței
care le-a adus, cum zice el „din Orient”. În a treisprezecea
prințului moștenitor ne oferă ocazia aducerii în atenție a
zi de şedere în Berlin se întâmplă neprevăzutul: chiar în
unui nume important nu numai în lumea medicală, dar
ziua plecării spre Paris, pe întuneric, cade într-o groapă
și a vieții artistice:
„O întâmplare tragică şi cu totul
pe o stradă berlineză şi îşi luxează glezna, fiind nevoit să
neaşteptată se ivi în casa noastră (...): dr. Kremnitz, care
stea la pat. Kremnitzii îl instalează într-o cameră din
trebuia să rămână la noi până la deplina însănătoşire a
casa lor şi-l îngrijesc, chemându-i și un medic. Titu
Ocular Tuberculosis Suspicion Accompanying Positive Osteoarticular Tuberculosis in a Young Patient
127
HISTORY OF MEDICINE
MEDICAL CONNECTIONS • NUMBER 2 (38) • JUNE 2015
Maiorescu a fost o vreme profesorul de limba franceză al
celor patru copii ai familiei Kremnitz printre care și
viitoarea lui soție, Clara. Într-o scrisoare din noiembrie
1859, de la Paris, îşi motivează ulterioarele decizii: „În
Berlin am petrecut, timp de trei săptămâni, categoric cea
mai fericită epocă a vieţii mele. Zi de zi m-am aflat în
sânul familiei cancelarului de justiţie Kremnitz, deci zi de
zi cu Clara. Din fericire, mi-am scrântit piciorul şi a
trebuit să zac după aceea opt zile la pat [...] pe scurt, mă
căsătoresc cu Clara”.
Din căsătoria cu Clara Kremnitz, Titu Maiorescu a
avut doi copii: o fată, Livia, şi un băiat, Liviu.
Figura 6. Mite Kremnitz și celebrul caiet roșu
La invitaţia lui Titu Maiorescu, Mite şi Wilhelm
Kremnitz fac în 1873 o vizită în România, la Iaşi, iar în
ianuarie 1875 cei doi se stabilesc la Bucureşti. Wilhelm
materiale, îi oferă Mitei Kremnitz lecţii particulare de
Kremnitz îşi deschide un cabinet medical, devine medic
română. Mihai Eminescu devine un obișnuit al familiei
secundar şi apoi, din 1889, medic primar la Spitalul
Kremnitz, fiind invitat în fiecare an să îşi petreacă
Brâncovenesc [2]. În cursul Războiului de Independenţă
sărbătorile de Crăciun aici. Se vedeau acasă la Maiorescu,
doctorul Kremnitz coordoneză un spital militar instalat
la cenaclul Junimea și nu o dată, la Palatul Regal, unde
în Gara Cotroceni. Devine din ce în ce mai cunoscut şi
regina îl invita pe Eminescu în pofida relației reci pe care
ajunge medic al familiei regale a României, urmând
acesta o avea cu regele Carol, pe care îl critica sever în
calea mentorului şi socrului său care era foarte apreciat
articolele sale din Timpul.
de Kaiserul Wilhelm I şi care a fost medicul împăratului
Strănepotul Mitei Kremnitz, Georg, donează
Frederic al III-lea al Germaniei.
Bibliotecii Centrale Universitare din Cluj celebrul „caiet
În epocă, circula o celebră anecdotă a lui Caragiale,
roșu”, care conține poeziile transcrise de Eminescu
care în zilele noastre fără cunoașterea personajului, ar fi
pentru Mite, oferit în 4 ianuarie 1879 cadou pentru
de neînțeles:
Ce legătură este între o sofa și doctorul
ziua ei de naștere. Manuscrisul conține cinci poezii în
Kremnitz? Niciuna, domnilor, niciuna! După cum știți
transcrierea poetului la care se adaugă încă patru copiate
sofaua este un pat olog, iar doctorul Kremnitz, de asemenea,
în același caiet de către Mite [4].
un patolog”.
Mite Kremnitz a tradus poeziile lui Eminescu
Legăturile familiale cu Maiorescu, apropierea de
„Dorinţa”, „Peste vârfuri” și se pare că şi „Luceafărul” în
familia regală, Mite Kremnitz fiind domnă de companie a
limba germană, a publicat o culegere de basme
reginei Elisabeta, şi talentul literar al Mitei le-au facilitat
româneşti, iar din germană a tradus poeme şi proze ale
intrarea în lumea intelectuală a Bucureştiului. Mite
reginei Carmen Sylva. A scris piese de teatru şi romane
Kremnitz a participat la reuniunile literare ale Junimii
împreună cu Regina Elisabeta pe care le-au semnat cu
unde i-a cunoscut pe Eminescu, Iacob Negruzzi, Ion
pseudonimul Ditto und Idem. A colaborat cu regele
Slavici, Nicolae Gane, Teodor Rosetti şi Petre Carp [3].
Carol I al României la redactarea Memoriilor acestuia, în
Eminescu venise la Bucureşti ca redactor la ziarul
colecția donată de strănepotul Mitei existând și un mare
Timpul. Pentru că poetul se confrunta cu mari dificultăţi
număr de fișe, se pare scrise chiar de Carol I.
Wilhelm şi Mite Kremnitz au avut doi fii: Georg-
Titus, născut în 1876 la Bucureşti şi Emanuel (Manoli),
născut în 1885 la Peleş [5]. Despre cei doi copii ai Mitei
s-a afirmat că ar fi fost concepuţi cu Titu Maiorescu
(Georg), respectiv cu regele Carol I
(Emanuel). De
asemenea se spune că numele de botez al lui Maiorescu,
Titu, a ţinut să i-l pună în forma latinizată, cum semna
el de multe ori, „Titus”, copilului său, nelegitim, Georg
[6].
Wilhelm Kremnitz moare la 31 iulie 1897 la Peleş
fiind înmormântat pe domeniul regal, în apropiere de
cascada Urlătoarea, ulterior mormântul fiind mutat în
Figura 5. Mihai Eminescu în ultima fotografie cunoscută
(stânga) și la maturitate (dreapta)
parcul localităţii.
128
Dragosloveanu et al
MEDICAL CONNECTIONS • NUMBER 2 (38) • JUNE 2015
HISTORY OF MEDICINE
la moartea sa”. Deşi viaţa în România îi era asigurată,
având această rentă anuală acordată de regele Carol I -
echivalentul a peste 111.000 lei în zilele noastre - după
moartea soţului ei Mite Kremnitz preferă să se întoarcă
la Berlin considerând că posibilităţile de a acorda o bună
educaţie fiilor săi sunt mai favorabile în Imperiul
German. Este interesantă de asemenea legătura
ulterioară a fiilor Mitei cu România, Georg-Titus
urmând o şcoală de ofiţeri, iar Emanuel studii medicale.
Cei doi sunt înrolaţi în Armata Imperială şi intră în
România în 1918 cu trupele de ocupaţie ale Puterilor
Centrale. Georg-Titus Kremnitz, ofiţer al Statului Major
Figura 7. Mormântul lui Wilhelm Kremnitz
al armatei germane, face parte din delegaţia care îi
propune lui Titu Maiorescu, care, culmea ironiei, se
Conform Reginei Maria, Mite, pe care Regina de
pare că era și tatăl lui natural, să formeze un guvern de
altfel nici nu o numeşte pe nume ci doar ca soţia
ocupaţie, antidinastic, propunere refuzată de acesta. Pe
doctorului Kremnitz, a scris cartea
„La Curtea din
de altă parte, el a permis totuși recuperarea manuscriselor
Ragusa”, în care povesteşte parodiind viaţa de la Curtea
Fondului de Slavistică al Bibliotecii Academiei,
Regală a României, spre deziluzia Reginei Maria, unul
din motivele pentru care prezenţa ei este semnalată în
treacăt şi cu superficialitate în memoriile Reginei: „Se făcu
mare vâlvă când sosi din străinătate doamna Kremnitz la
înmormântarea soțului ei. Cu toate că Aunty (nn. Regina
Elisabeta) avea destule motive să n-o iubească, o primi ca pe
o persoană din familie. Aceste două femei se asemănau în
chip ciudat. Amândouă erau scriitoare, amândouă aveau
părul cărunt, tăiat scurt, ochii adânciți în orbite și
îngândurați (…) Cu câțiva ani înainte scriseseră o carte
împreună în formă de scrisori schimbate între două prietene.
Colaborarea fusese interesantă și fără îndoială le unise pentru
un timp în aceeași însuflețire, dar acestea se întâmplaseră
înainte de vremea mea și știam că, acum, Aunty nu mai
avea în inimă dragostea pentru doamna Kremnitz. Ruptura
Figura 8. Elisabeta cu fiica sa Maria (în familie Itty,
se făcuse mi se pare când Unchiul (nn. Regele Carol I) îi
1870 - 1874). Fotografie de la 1873
propusese doamnei Kremnitz să-i ajute la scrierea Memoriilor
lui, în loc de a-i cere aceasta lui Aunty, ea însăși poetă și
scriitoare. (…) Mai târziu, înnăscuta ei josnicie ieși mai tare
la iveală când se răzbună în chip nedemn împotriva ființei
regale, care fusese odată colaboratoarea ei, scriind un roman
prost și totodată cam vulgar cu titlul La Curtea din Ragusa,
în care, schimbând numele persoanelor și locurilor, povestea
în formă de parodie ciudățeniile lui Aunty și făcea o descriere
răutăcioasă a curții și a obiceiurilor ei. Doamna Kremnitz,
bineînțeles, sub un nume schimbat, joacă în acel roman rolul
unei femei inteligente care e consolatoarea regelui și îndreaptă
greșelile făcute de regină. E o carte vrednică de tot disprețul
[1, p 142,143].
În codicilul testamentului din
1899, scris în
decembrie 1911, Carol I menționează: „Fiii doctorului
Figura 9. Fotografia de logodnă din anul 1869: Elisabeta de
Kremnitz vor primi fiecare patruzeci mii lei ca dar și vor
Wied, Domnitorul Carol I. al României (născut Prinţ de
da din această sumă patru mii lei mumei lor, a cărei pensie
Hohenzollern-Sigmaringen), Principesa-mamă Marie de
de douăsprezece mii lei, dată până acum, va fi plătită până
Wied, Principele Wilhelm de Wied (fratele Elisabetei)
Ocular Tuberculosis Suspicion Accompanying Positive Osteoarticular Tuberculosis in a Young Patient
129
HISTORY OF MEDICINE
MEDICAL CONNECTIONS • NUMBER 2 (38) • JUNE 2015
documente rechiziţionate de armata bulgară şi în curs de
3. Todescu V. Mite Kremnitz şi Junimea, Annales
a fi transportate peste Dunăre [7]. De asemeni, căpitanul
Universitatis Apulensis Series Philologica, v. 2, 2006.
Emanuel Kremnitz, presupusul fiu al lui Carol I, deşi a
4. Hângănuț R. Povestea „Caietului Roșu” manuscrisul
fost un timp şeful cenzurii, este cel care a salvat, în 1916,
eminescian aflat în posesia BCU, Transilvania Reporter,
arhiva lui B. P. Hașdeu de la Câmpina.
15 ianuarie 2014.
Bolnavă, Mite Kremnitz s-a stins din viaţă la data de
5. Kremnitz G. Mite Kremnitz und ihre rolle in den
18 iulie 1916. Este eroina romanului biografic al lui
deutsch-rumäniscgen Beziehungen, in Rumänien und
Eugen Lovinescu, „Mite”.
Europa: Transversale: Kolloquium der Humboldt-
Universität zu Berlin in Zusammenarbeit mit dem
Rumänischen Kulturinstitut Titu Maiorescu, Maren
Referinţe
Huberty&Michèle Mattusch Editors, Humboldt-
Universität Berlin, Frank & Timme GmbH, 2009,
1. Maria, Regina României. Povestea vieţii mele, Ed.
pp. 121-34.
RAO, Bucureşti, 2013, Vol II, pag 41-2, 65,67, 136-
6. Popescu-Cadem, Titu Maiorescu în faţa instanţei
7, 139, 140, 141-143.
documentelor, Bucureşti, Biblioteca Bucureştilor,
2. Nuţă I. Prefaţa la romanele Mite şi Bălăuca de Eugen
2004, pp 24-8.
Lovinescu, vol. 20 din Colecţia Eminesciana, Editura
7. Tăbăraş S, Eroi
„mărunţi”, Revista Luceafărul,
2,
Junimea, 1980.
2009.
130
Dragosloveanu et al
GUIDANCE FOR DRAWING UP
STANDARDE DE REDACTARE
Scop
materiale care ar putea să îi identifice. Dacă formularele
Revista Conexiuni Medicale publică lucrări de
de accept nu prevăd acest lucru vă rugăm să rugăm
cercetare care contribuie la progresul din toate domeniile
obţineţi acordul, sau îndepărtaţi posibilitatea de
medicinei. Revista publică de asemenea reviste generale,
identificare. O declaraţie în acest sens trebuie inclusă în
editoriale şi scurte comunicări pe domenii specifice.
secţiunea „Metode” a lucrării.
Prezentările de caz sunt acceptate dacă prezintă interes
crescut şi sunt bine investigate. Scrisorile către editor, în
Aprobarea Comitetului de Etică
special cele care prezintă o opinie privind un articol
Precizaţi la secţiunea „Metode” faptul că desfăşuraţi
publicat anterior sau care prezintă noi date, sunt de
studii asupra subiecţilor umani cu aprobarea Spitalului,
asemenea binevenite. Adresa web a revistei este http://
Comitetului de Etică al Universităţii, etc. În mod
www.conexiunimedicale.ro. Revista este publicată
similar, confirmaţi dacă experimentele asupra animalelor
trimestrial, articolele sunt acceptate în limba engleză sau
corespund standardelor etice.
română, având cel puţin traducerea în limba engleză a
rezumatului şi cuvintelor cheie. Lucrările pot fi trimise
Asumarea dreptului de copyright
pe adresa: dr. Bumbuluţ Călin, editor şef adjunct,
Lucrările acceptate pentru publicare au implicit
Conexiuni Medicale, P-ţa. Eroilor Revoluţiei nr. 23,
drepturile de copyright cedate către editor. Autorii pot
cod 440055, Satu Mare, România. Tel./Fax: +40-261-
utiliza materiale din lucrările lor în alte articole proprii,
710456, e-mail: bumbulutcalin@yahoo.com.
după obţinerea acceeptului editorului.
Republicarea articolelor
Propunerea pentru publicare
Vă rugăm să confirmaţi că lucrarea dumneavoastră
Toate manuscrisele propuse pentru publicare în
nu a mai fost publicată în forma prezentată sau într-o
Conexiuni Medicale vor fi în format compatibil pentru
formă asemănătoare, sau că nu a fost acceptată pentru
efectuarea recenziei online. Revista acceptă manuscrise
publicare într-o altă revistă.
propuse în formă electronică, în format Word (text,
figuri şi tabele). Nu trimiteţi lucrări în format PDF.
Conflicte de interese
Acceptăm lucrări care nu depăşesc 3.500 de cuvinte
Rugăm autorii să declare posibilele conflicte de
pentru articole originale, 2.500 pentru prezentări de
interese, inclusiv cele de natură financiară. Dacă nu
caz, 2.000 pentru prezentări de imagini clinice, 500
există conflicte de interese, vă rugăm să precizaţi acest
pentru scrisori către editor şi 4.500 de cuvinte pentru
lucru. Sursele de finanţare trebuie precizate în lucrarea
reviste generale. Autorii NU vor trimite prin poştă sub
dumneavoastră.
formă de hârtie propunerea pentru publicare, decât
dacă este vorba de scrisori sau dacă se solicită astfel din
Permiterea de a reproduce materiale
partea redacţiei. Dacă nu există altă opţiune decât
publicate anterior
trimiterea prin poştă, vă rugăm să expediaţi şi versiunea
Vă rugăm să ne trimiteţi o copie a acceptului de
electronică CD-ROM pe adresa redacţiei: Conexiuni
reproducere (de exemplu al ilustraţiilor) de la deţinătorul
Medicale, P-ţa. Eroilor Revoluţiei nr. 23, cod 440055,
dreptului de copyright.
Satu Mare, România. Utilizaţi text la două rânduri şi
includeţi următoarele secţiuni: pagina de titlu,
Formularele de accept ale pacienţilor
rezumatul şi cuvintele cheie, textul, mulţumiri,
Protecţia drepturilor pacienţilor este esenţială; vă
referinţe, tabele şi figuri. Paginile vor fi numerotate
rugăm să ne trimiteţi formularele de accept ale
consecutiv, începând cu pagina de titlu, numerele
pacienţilor sau subiecţilor studiului dumneavoastră,
arabe fiind plasate în colţul din dreapta sus al fiecărei
prin care aceştia permit publicarea fotografiilor sau altor
pagini.
131
GUIDANCE FOR DRAWING UP
MEDICAL CONNECTIONS • NUMBER 2 (38) • JUNE 2015
Prezentarea lucrării
Nu recomandăm utilizarea excesivă a abrevierilor. Folosiţi
Pagina de titlu
metode de calcul statistic standardizate. Nominalizaţi
Cuprinde titlul întreg şi titlul scurt format din
medicamentele şi substanţele chimice utilizând numele
maxim 45 de caractere, numele şi prenumele fiecărui
generic
(dacă sunt menţionate mărcile înregistrate, se
autor; dacă lucrarea aparţine unui departament sau unei
furnizează numele producătorului şi oraşul).
instituţii, va fi menţionat numele acestuia în întregime.
Mulţumiri
De asemenea numele, e-mail-ul şi adresa autorului
Vor fi adresate celor care au adus contribuţii
împuternicit pentru corespondenţă, sursele de finanţare
importante la studiu.
sau suport utilizate sub forma burselor, echipamentelor,
Referinţe
medicamentelor, sau orice combinaţie a acestora.
Vor fi numerotate între paranteze drepte cu
Rezumatul
numerale arabe, succesiv în ordinea în care sunt
Pagina a doua va cuprinde rezumatul cu minim 200
menţionate în text. Referinţele vor include numele
de cuvinte; nu utilizaţi abrevieri, note de subsol, sau
autorilor până la al şaselea autor, dacă sunt mai mulţi,
referinţe.
enumeraţi primii trei şi apoi adăugaţi „et al”. Referinţele
Introducere în temă şi scopuri
vor include titlul complet şi sursa informaţiei; numele
Descrieţi importanţa studiului şi obiectivul
revistelor va fi abreviat conform Index Medicus (http://
(obiectivele) precise ale cercetării sau întrebarea
www.nlm.nih.gov/tsd/serials/terms_cond.html); nu se
(întrebările) pe care le ridică studiul.
acceptă mai mult de 90-100 referinţe; pentru scrisori
Metode
către redacţie se acceptă
5-6 referinţe. Folosiţi ca şi
Includeţi informaţii privind următoarele aspecte ale
referinţe cât mai puţine rezumate. Comunicările
studiului dacă sunt utilizate: proiectul
- descrieţi
personale şi lucrările nepublicate nu vor fi menţionate la
elementele de bază ale studiului, de exemplu studiu
referinţe şi vor apare în text între paranteze. Lucrările
controlat randomizat, studiu cross-secţional, de cohortă,
nepublicate dar aflate în curs de publicare vor fi incluse
de urmărire, serii de cazuri, etc; procedura - specificaţi
în referinţe cu menţiunea „in press” între paranteze,
dacă a fost desfăşurat în sistem de îngrijire primar sau
lângă numele revistei implicate.
terţiar, în ambulator sau spital, în comunitate, etc;
a) Articole:
participanţi - indicaţi numărul subiecţilor şi cum au
[1] Otvos L Jr, Shao WH, Vanniasinghe AS, Amon
fost selectaţi, recrutaţi şi desemnaţi pentru intervenţie;
MA, Holub MC, Kovalsykz I, et al. Toward understanding
intervenţia
- metoda de administrare şi durata
the role of leptin and leptin receptor antagonism in
intervenţiei.
preclinical models of rheumatoid arthritis. Peptides
Rezultate
2011;32:1567-74.
Prezentaţi principalele rezultate ale studiului,
b) Lucrări publicate numai cu numerele DOI:
inclusiv intervalurile de confidenţă sau valorile p.
[2] Chaldakov GN, Beltowsky J, Ghenev PI, Fiore
Concluzii
M, Panayotov P, Rancic G, et al. Adipoparacrinology -
Enunţaţi doar concluziile susţinute direct de dovezi,
vascular periadventitial adipose tissue (tunica adiposa) as
precum şi importanţa descoperirilor. Revistele generale
an example. Cell Biol Int
2011;doi:
10.1042/
şi prezentările de caz vor include un rezumat
CBI20110422.
nestructurat.
c) Cărţi sau manuale:
Cuvinte cheie
[3] Gertler A, editor. Leptin and Leptin Antagonists.
Rezumatul va fi urmat de o listă de 3-10 cuvinte
Landes Bioscience, Austin, Texas, USA. 2009.
cheie sau fraze scurte care vor ajuta la indexare. Dacă
d) Capitole de cărţi sau de manuale:
este posibil, utilizaţi termeni proveniţi din lista Index
[4] Jeremy L, Abe PD. Treatment Options in
Medicus cu
262 subiecte medicale/Medical Subject
Superficial (pTa/pT1/CIS) Bladder Cancer. In: Urological
Headings
262
(http://www.nlm.nih.gov/mesh/
cancers in clinical practice, Springer-Verlag, London
meshhome.html).
Limited, 2007:75-102.
Textul
Tabele
Un studiu original va fi divizat în secţiuni denumite
Fiecare tabel va fi numerotat cu numerale romane,
Introducere, Metode, Rezultate şi Discuţii
(incluzând
cu un titlu scurt deasupra, la subsolul lor vor fi trecute
concluziile), după formula „IMRAD”. Articolele lungi
notele
explicative,
menţionându-se abrevierele
pot necesita subsecţiuni (în special la Rezultate şi Discuţii)
nestandardizate utilizate; nominalizaţi valorile statistice
pentru clarificare. Alte tipuri de articole precum prezentări
care variază precum deviaţia standard şi eroarea standard
de caz, reviste generale, editoriale, pot urma alt format.
a medianei. Fiecare tabel va fi citat în text.
132
MEDICAL CONNECTIONS • NUMBER 2 (38) • JUNE 2015
GUIDANCE FOR DRAWING UP
Figuri
acestor sugestii, rugându-i să răspundă la întrebări şi să
Toate graficele, fotografiile, diagramele vor fi
facă necesarele corecţii. Aceste informări sunt făcute în
considerate ca figuri şi vor fi numerotate succesiv în text
cel mult trei luni de la propunerea de publicare.
cu numerale arabe. Dacă o figură a fost publicată
Manuscrisul revizuit de autori va fi reexpediat editorului
anterior, sursa va fi citată cu mulţumiri, menţionându-
în cel mult o lună. La primirea de către editor a versiunii
se permisiunea deţinătorului de copyright. Figurile pot
corectate, însoţită de o scrisoare de răspuns punctuală la
fi reduse, grupate sau şterse la dorinţa editorului.
comentariile recenzorilor, se retrimite manuscrisul
Legenda figurii va fi plasată la subsolul ei; va fi explicată
aceloraşi recenzori, care vor face recomandarea finală
scala utilizată, respectiv metodele de colorare
pentru acceptarea sau respingerea acestuia.
microscopică.
Unităţi de măsură
Abonamente
Măsurătorile lungimii, înălţimii, greutăţii şi
Preţul unui abonament anual pentru 2015 este: 80
volumului vor fi făcute în sistem metric sau multipli
RON individual, 160 RON pentru instituţii, plătiţi în
decimali. Temperaturile vor fi exprimate în grade
contul Colegiului Medicilor Satu Mare RO38 BTRL
Celsius. Tensiunea va fi măsurată în mmHg. Toate
0310
1202 K392
62XX, cod fiscal
9839430, cu
măsurătorile hematologice vor fi exprimate în Sistemul
menţiunea
pentru abonament Conexiuni Medicale”.
Internaţional de Unităţi (SI).
Solicitarea abonării poate fi trimisă prin poştă: P-ţa.
Abrevieri şi simboluri
Eroilor Revoluţiei nr.
23, cod
440055, Satu Mare,
Utilizaţi doar abrevieri standard. Evitaţi abrevierile
România. Tel./Fax: 0261-710456, 0361-408164, sau
în titlu şi rezumat. Cuvântul va preceda abrevierea la
prin e-mail: colmedsm@gmail.com.
prima utilizare în text, cu excepţia unităţilor de măsură
standard.
Publicitate
Cererile pentru spaţiu publicitar vor fi adresate
Retipăriri
redacţiei Conexiuni Medicale. Preţurile (plătite în lei la
Sunt oferite gratuit zece copii ale articolului publicat
cursul BNR) pentru publicitate pe 2014 sunt 200 euro
şi două ale revistei. Dacă sunt necesare mai multe copii,
pagina (A4) color, un număr şi 800 euro patru numere;
sunt disponibile contra cost.
coperta interioară faţă sau spate: 350 euro un număr,
1400 euro patru numere; coperta exterioară spate: 400
Politica editorială
euro un număr, 1600 euro patru numere. Cont bancar:
Apreciem toate contribuţiile în domeniul medicinei.
Colegiul Medicilor Satu Mare, CUI 9839430, Banca
Invităm personalităţi recunoscute cu expertiză şi articole
Transilvania, agenţia Golescu Satu Mare, IBAN: RO38
din diverse domenii să publice reviste generale şi
BTRL 0310 1202 K392 62XX.
editoriale în revista noastră. Acceptăm de asemenea
lucrări originale şi prezentări de caz din toate ţările.
© Copyright Conexiuni Medicale/Medical
Conexiuni Medicale vă oferă o recenzie atentă şi publicarea
Connections, Satu Mare, 2015
imediată după acceptare. Redactorii vor citi primii
Nicio parte a acestei publicaţii nu poate fi reprodusă,
lucrarea, decizând în decurs de 1-3 săptămâni în funcţie
stocată sau transmisă sub orice formă sau prin orice
de nivelul de prioritate: unele sunt trimise imediat
mijloace, fără permisiunea prealabilă în scris a revistei
recenzorilor, unele pot fi respinse, iar unele sunt
Conexiuni Medicale. Permisiunea nu este necesară
returnate autorilor cu sugestii de îmbunătăţire înainte
pentru a copia rezumate sau articole dacă este indicată
de expedierea spre recenzori.
sursa, cu citarea completă a referinţei. Solicitarea
privind permisiunea de a retipări toată revista sau o
Procedura peer-review
parte a ei, va fi adresată editorului prin e-mail:
Conexiuni Medicale practică o evaluare a tuturor
colmedsm@gmail.com
lucrărilor originale de către doi sau trei recenzori
independenţi, din care doi sunt personalităţi
Revista Conexiuni Medicale apare trimestrial prin
internaţionale. Procesul peer-review este esenţial pentru
efortul logistic şi financiar al Colegiului Medicilor
asigurarea calităţii informaţiei ştiinţifice. Recenzorii
Satu Mare şi Asociaţiei Medicilor de Familie Satu
sunt rugaţi să evalueze manuscrisul aplicând aceleaşi
Mare, în cadrul proiectului comun al Centrului de
standarde ca şi pentru reviste internaţionale; comentariile
Documentare şi Educaţie Medicală Continuă Satu
sunt trimise editorului, care va informa autorii asupra
Mare.
133